Corrosion Behavior of Magnesium Potassium Phosphate Cement under Wet–Dry Cycle and Sulfate Attack
Abstract
1. Introduction
2. Materials and Methods
2.1. Raw Materials
2.2. Specimen Preparation
2.3. Environmental Exposure Conditions
2.4. Experimental Methods
2.4.1. Fluidity and Setting Time
2.4.2. Mechanical Testing
2.4.3. Volume Stability
2.4.4. Microanalysis
3. Results and Discussion
3.1. Strength Development
3.2. Strength Retention Coefficient
3.3. Volume Stability
3.4. XRD Analysis
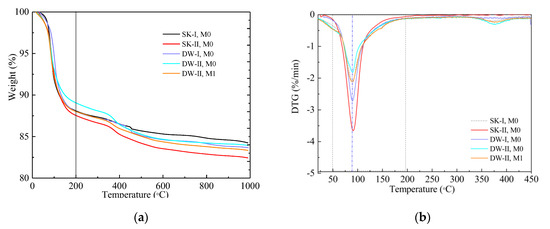
3.5. TG-DTG Analysis
3.6. SEM-EDS Analysis
4. Conclusions
- After 120 dry–wet cycles, the final strengths of the MKPC paste were in the order AC, M0 > SK-II, M0 > DW-I, M0 > SK-I, M0 > DW-II, M1 > DW-II, M0. The dry–wet cycles in water caused less corrosion of the MKPC paste compared to soaking in water, and dry–wet damage played a dominant role when the samples were exposed to the combined action of 5% Na2SO4 sulfate and dry–wet cycles. The analysis by TG-DTG and SEM further showed that the dry–wet cycles led to the dissolution of struvite-K and the formation of more intrinsic micro-cracks.
- All specimens showed volume expansion in the full soak and dry–wet cycle test in the Na2SO4 solution and water environments; the final volume expansion value of the MKPC specimens under four corrosion conditions was in the order DW-II, M0 > SK-II, M0 > DW-II, M1 > SK-I, M0 > DW-I, M0. Under the SK-II conditions, the M0 paste with the highest strength revealed a higher volume expansion. The new needle-like hydrate crystals formed through the dissolution–precipitation of struvite-K may account for the volume expansion.
- Under the same number of dry–wet cycles, the strength test and volume stability test on the M1 paste confirmed that waterglass could effectively increase the durability under dry–wet cycling in the Na2SO4 solution. The micro analysis validated that waterglass can improve the compactness of the microstructure of MPC and prevent the dissolution of struvite-K.
Author Contributions
Funding
Institutional Review Board Statement
Informed Consent Statement
Data Availability Statement
Conflicts of Interest
References
- Li, L.; Shi, J.; Kou, J. Experimental Study on Mechanical Properties of High-Ductility Concrete against Combined Sulfate Attack and Dry–Wet Cycles. Materials 2021, 14, 4035. [Google Scholar] [CrossRef] [PubMed]
- Goncalves, J.; El-Bakkari, M.; Boluk, Y.; Bindiganavile, V. Cellulose nanofibres (CNF) for sulphate resistance in cement based systems. Cem. Concr. Compos. 2019, 99, 100–111. [Google Scholar] [CrossRef]
- Gong, J.; Cao, J.; Wang, Y.-F. Effect of creep on the stress–strain relation of fly-ash slag concrete in marine environments. Struct. Concr. 2019, 20, 1076–1085. [Google Scholar] [CrossRef]
- Ji, R.J.; Li, T.; Yang, J.M.; Xu, J. Sulfate Freeze–Thaw Resistance of Magnesium Potassium Phosphate Cement Mortar according to Hydration Age. Materials 2022, 15, 4192. [Google Scholar] [CrossRef] [PubMed]
- Zhang, L.; Zhang, A.; Wang, Q.; Han, Y.; Li, K.; Gao, X.; Tang, Z. Corrosion resistance of wollastonite modified magnesium phosphate cement paste exposed to freeze-thaw cycles and acid-base corrosion. Case Stud. Constr. Mater. 2020, 13, e00421. [Google Scholar] [CrossRef]
- Wagh, A. Chemically Bonded Phosphate Ceramics: Twenty-First Century Materials with Diverse Applications; Elsevier: Amsterdam, The Netherlands, 2016. [Google Scholar]
- Andrade, A.; Schuiling, R.D. The chemistry of struvite crystallization. Min. J. 2001, 23, 37–46. [Google Scholar]
- Seehra, S.; Gupta, S.; Kumar, S. Rapid setting magnesium phosphate cement for quick repair of concrete pavements—Characterisation and durability aspects. Cem. Concr. Res. 1993, 23, 254–266. [Google Scholar] [CrossRef]
- Yang, Q.; Zhu, B.; Zhang, S.; Wu, X. Properties and applications of magnesia–phosphate cement mortar for rapid repair of concrete. Cem. Concr. Res. 2000, 30, 1807–1813. [Google Scholar] [CrossRef]
- Jiang, H.Y.; Liang, B.; Zhang, L. Investigation of MPB with super early strength for repair of concrete. J. Build. Eng. 2001, 4, 196–198. [Google Scholar]
- Chen, W.; Elkatatny, S.; Murtaza, M.; Mahmoud, A.A. Recent Advances in Magnesia Blended Cement Studies for Geotechnical Well Construction-A Review. Front. Mater. 2021, 8, 447. [Google Scholar] [CrossRef]
- Shi, C.; Yang, J.; Yang, N.; Chang, Y. Effect of waterglass on water stability of potassium magnesium phosphate cement paste. Cem. Concr. Compos. 2014, 53, 83–87. [Google Scholar] [CrossRef]
- Chong, L.; Yang, J.; Shi, C. Effect of curing regime on water resistance of magnesium–potassium phosphate cement. Constr. Build. Mater. 2017, 151, 43–51. [Google Scholar] [CrossRef]
- Li, Y.; Shi, T.; Li, J. Effects of fly ash and quartz sand on water-resistance and salt-resistance of magnesium phosphate cement. Constr. Build. Mater. 2016, 105, 384–390. [Google Scholar] [CrossRef]
- Fan, S.J.; Chen, B. Experimental research of water stability of magnesium alumina phosphate cements mortar. Constr. Build. Mater. 2015, 94, 164–171. [Google Scholar] [CrossRef]
- Zhen, S.; Yang, J.; Zhang, Q.; Wang, Y.Q.; Wang, T.B. Research on Resistance of Magnesia-Phosphate Cement to Chloride Ion Erosion. J. Build. Mater. 2001, 13, 700–704. (In Chinese) [Google Scholar]
- Ding, Z.; Li, Z.; Xing, F. Chemical durability investigation of magnesium phosphor silicate cement. Key. Eng. Mater. 2006, 302, 275–281. [Google Scholar] [CrossRef]
- Yang, J.M.; Zeng, S.C. Experimental research on seawater erosion resistance of magnesium potassium phosphate cement pastes. Constr. Build. Mater. 2018, 183, 534–543. [Google Scholar] [CrossRef]
- Yang, J.M.; Wang, L.M.; Jin, C.; Sheng, D. Effect of fly ash on the corrosion resistance of magnesium potassium phosphate cement paste in sulfate solution. Constr. Build. Mater. 2020, 237, 117639. [Google Scholar] [CrossRef]
- Lahalle, H.; Patapy, C.; Glid, M.; Renaudin, G.; Cyr, M. Microstructural evolution/durability of magnesium phosphate cement paste over time in neutral and basic environments. Cem. Concr. Res. 2019, 122, 42–58. [Google Scholar] [CrossRef]
- Yang, Q.B.; Zhang, S.Q.; Wu, X.L. Deicer-scaling resistance of phosphate cement-based binder for rapid repair of concrete. Cem. Concr. Res. 2002, 32, 165–168. [Google Scholar] [CrossRef]
- Chong, L.L.; Yang, J.M.; Xu, Z.Z.; Xu, X.C.; Xu, X. Freezing and thawing resistance of MKPC paste under different corrosion solutions. Constr. Build. Mater. 2019, 212, 663–674. [Google Scholar] [CrossRef]
- Wang, B.; Lu, K.; Han, C.; Wu, Q. Study on anti-corrosion performance of silica fume modified magnesium potassium phosphate cement-based coating on steel. Case Stud. Constr. Mater. 2022, 17, e01467. [Google Scholar] [CrossRef]
- Wang, D.; Yue, Y.; Xie, Z.; Mi, T.; Yang, S.; McCague, C.; Qian, J.; Bai, Y. Chloride-induced depassivation and corrosion of mild steel in magnesium potassium phosphate cement. Corros. Sci. 2022, 206, 110482. [Google Scholar] [CrossRef]
- Wang, D.; Yue, Y.; Mi, T.; Yang, S.; McCague, C.; Qian, J.; Bai, Y. Effect of magnesia-to-phosphate ratio on the passivation of mild steel in magnesium potassium phosphate cement. Corros. Sci. 2020, 174, 108848. [Google Scholar] [CrossRef]
- Wang, D.; Liu, Z.; Yang, C. Passivation behaviour of mild steel embedded in magnesium potassium phosphate cement-calcium sulphoaluminate cement blended paste. Constr. Build. Mater. 2022, 347, 128537. [Google Scholar] [CrossRef]
- Jun, L.; Yongsheng, J.; Linglei, Z.; Benlin, L. Resistance to sulfate attack of magnesium phosphate cement-coated concrete. Constr. Build. Mater. 2019, 195, 156–164. [Google Scholar] [CrossRef]
- Li, J.; Ji, Y.; Huang, G.; Zhang, L. Microstructure evolution of a magnesium phosphate protective layer on concrete structures in a sulfate environment. Coatings 2018, 8, 140. [Google Scholar] [CrossRef]
- Li, Y.; Shi, T.; Li, Y.; Bai, W.; Lin, H. Damage of magnesium potassium phosphate cement under dry and wet cycles and sulfate attack. Constr. Build. Mater. 2019, 210, 111–117. [Google Scholar] [CrossRef]
- Li, T.; Chen, G.; Yang, J.; Chong, L.; Hu, X. Influence of curing conditions on mechanical properties and microstructure of magnesium potassium phosphate cement. Case Stud. Constr. Mater. 2022, 17, e01264. [Google Scholar] [CrossRef]
- ASTM C1437 2007; Standard Test Method for Flow Hydraulic Cement Mortars. ASTM International: West Conshohocken, PA, USA, 2007.
- ASTM C191-2001a; Standard Test Method for Time of Setting of Hydraulic Cement by Vicat Needle, Using the Vicar Apparatus. ASTM International: West Conshohocken, PA, USA, 2001.
- ASTM C348 2008; Standard Test Method for Flexural Strength of Hydraulic Cement Mortars. ASTM International: West Conshohocken, PA, USA, 2008.
- ASTM C349 2008; Standard Test Method for Compressive Strength of Hydraulic Cement Mortars, Using Portions of Prisms Broken in Flexure. ASTM International: West Conshohocken, PA, USA, 2008.
- Chinese Standard JC/T603–2004; Standard Test Method for Drying Shrinkage of Mortar. ASTM International: West Conshohocken, PA, USA, 2004. Available online: https://www.chinesestandard.net/PDF/English.aspx/JCT603-2004 (accessed on 12 January 2023).
- Shi, J.; Zhao, J.; Chen, H.; Hou, P.; Kawashima, S.; Qin, J.; Zhou, X.; Qian, J.; Cheng, X. Sulfuric acid-resistance performances of magnesium phosphate cements: Macro-properties, mineralogy and microstructure evolutions. Cem. Concr. Res. 2022, 157, 106830. [Google Scholar] [CrossRef]
- Soudée, E.; Péra, J. Influence of magnesia surface on the setting time of magnesia–phosphate cement. Cem. Concr. Res. 2002, 32, 153–157. [Google Scholar] [CrossRef]
- on of Superpave gyratory compaction and its influence on mechanical properties of asphalt mixtures. J. Mater. Civ. Eng. 2022, 35, 04022453. [CrossRef]
- Zhang, S.; Shi, H.-S.; Huang, S.-W.; Zhang, P. Dehydration characteristics of struvite-K pertaining to magnesium potassium phosphate cement system in non-isothermal condition. J. Therm. Anal. Calorim. 2013, 111, 35–40. [Google Scholar] [CrossRef]
- Li, Y.; Shi, T.; Chen, B.; Li, Y. Performance of magnesium phosphate cement at elevated temperatures. Constr. Build. Mater. 2015, 91, 126–132. [Google Scholar] [CrossRef]








| Component | MgO | CaO | SiO2 | Al2O3 | Fe2O3 | Na2O | K2O | Others |
|---|---|---|---|---|---|---|---|---|
| Content/% | 91.85 | 3.14 | 3.68 | 0.17 | 0.87 | - | - | 0.30 |
| Samples | Solid Materials | Liquid Materials | Fluidity (mm) | Initial Setting Time (min) | |||
|---|---|---|---|---|---|---|---|
| MgO | PDP | Retarder (CR/MgO) | Waterglass (WG/MgO) | Water (w/s Ratio) | |||
| M0 | 3.0 | 1 | 12% | 0 | 0.115 | 162 | 20.5 |
| M1 | 3.0 | 0.12 | 12% | 2% | 0.115 | 165 | 22.0 |
| Abbreviation | Fresh Solutions | External Environment | Exposure Period |
|---|---|---|---|
| SK-I | tap water | Full soaking, 20 ± 5 °C | 360 days |
| SK-II | 5.0 wt.% Na2SO4 solution | Full soaking, 20 ± 5 °C | 360 days |
| DW-I | tap water | Dry–wet cycles, 20 ± 5 °C | 360 days (120 cycles) |
| DW-II | 5.0 wt.% Na2SO4 solution | Dry–wet cycles, 20 ± 5 °C |
| Element | Atomic Percentage | ||||
|---|---|---|---|---|---|
| Point A | Area B | Area C | Area D | Area E | |
| O | 60.64 | 55.12 | 70.75 | 68.79 | 55.8 |
| Na | 0.72 | 2.12 | 3.25 | 5.43 | 7.36 |
| Mg | 13.39 | 16.62 | 16.43 | 6.71 | 12.12 |
| Si | - | - | - | - | 1.60 |
| P | 13.23 | 12.34 | 3.54 | 7.05 | 11.07 |
| K | 11.90 | 13.15 | 3.52 | 6.81 | 6.75 |
| S | - | 0.04 | 2.18 | 4.37 | 5.30 |
| CI | 0.12 | 0.61 | 0.23 | 0.87 | - |
Disclaimer/Publisher’s Note: The statements, opinions and data contained in all publications are solely those of the individual author(s) and contributor(s) and not of MDPI and/or the editor(s). MDPI and/or the editor(s) disclaim responsibility for any injury to people or property resulting from any ideas, methods, instructions or products referred to in the content. |
© 2023 by the authors. Licensee MDPI, Basel, Switzerland. This article is an open access article distributed under the terms and conditions of the Creative Commons Attribution (CC BY) license (https://creativecommons.org/licenses/by/4.0/).
Share and Cite
Chong, L.; Yang, J.; Chang, J.; Aierken, A.; Liu, H.; Liang, C.; Tan, D. Corrosion Behavior of Magnesium Potassium Phosphate Cement under Wet–Dry Cycle and Sulfate Attack. Materials 2023, 16, 1101. https://doi.org/10.3390/ma16031101
Chong L, Yang J, Chang J, Aierken A, Liu H, Liang C, Tan D. Corrosion Behavior of Magnesium Potassium Phosphate Cement under Wet–Dry Cycle and Sulfate Attack. Materials. 2023; 16(3):1101. https://doi.org/10.3390/ma16031101
Chicago/Turabian StyleChong, Linlin, Jianming Yang, Jin Chang, Ailifeila Aierken, Hongxia Liu, Chaohuan Liang, and Dongyong Tan. 2023. "Corrosion Behavior of Magnesium Potassium Phosphate Cement under Wet–Dry Cycle and Sulfate Attack" Materials 16, no. 3: 1101. https://doi.org/10.3390/ma16031101
APA StyleChong, L., Yang, J., Chang, J., Aierken, A., Liu, H., Liang, C., & Tan, D. (2023). Corrosion Behavior of Magnesium Potassium Phosphate Cement under Wet–Dry Cycle and Sulfate Attack. Materials, 16(3), 1101. https://doi.org/10.3390/ma16031101

