The Kondo Effect in CexLaLuScY (x = 0.05–1.0) High-Entropy Alloys
Abstract
:1. Introduction
2. Materials Design, Synthesis, and Characterization
3. Results
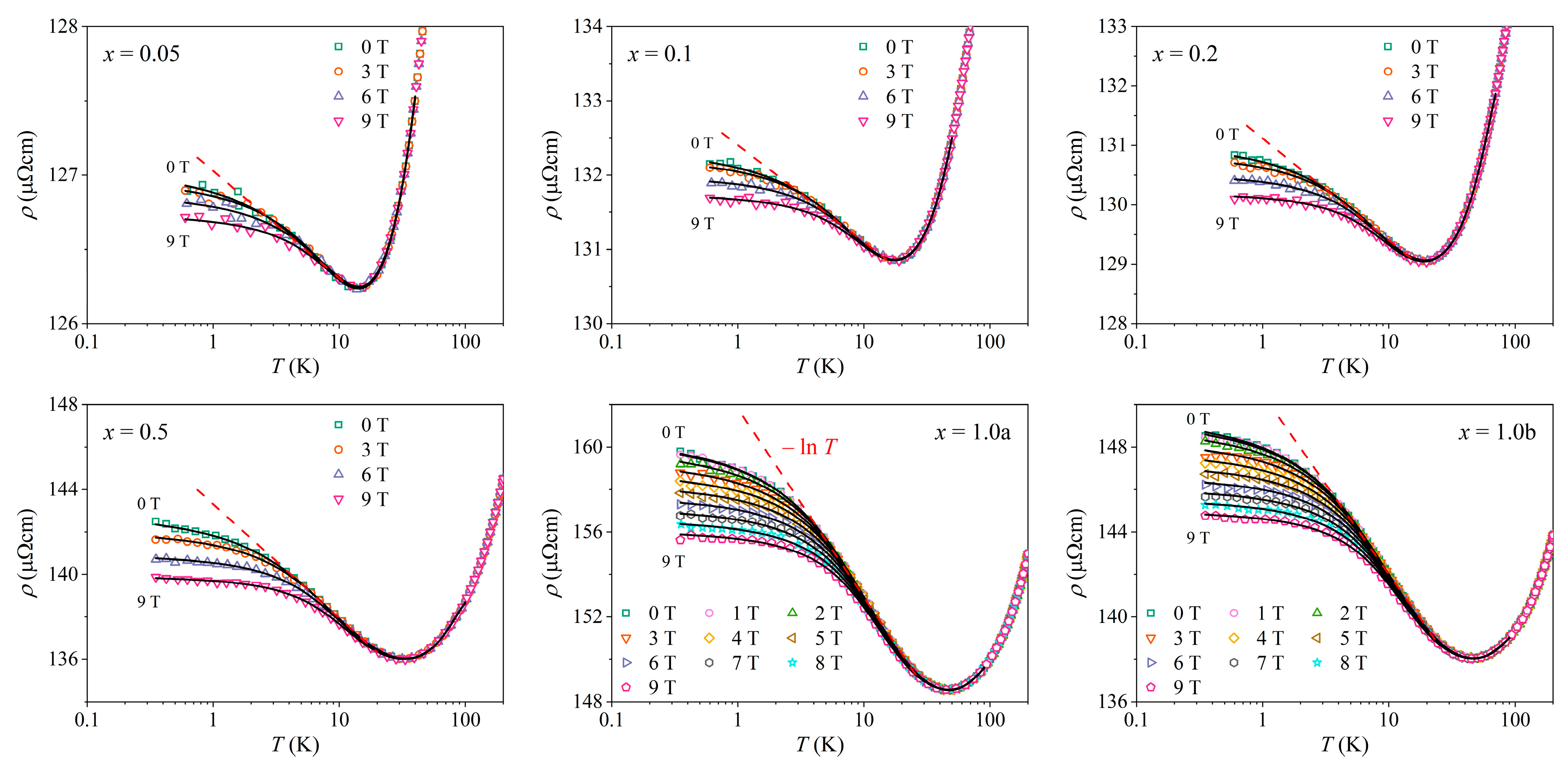
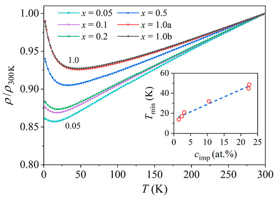
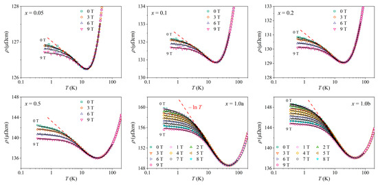
3.1. Electrical Resistivity
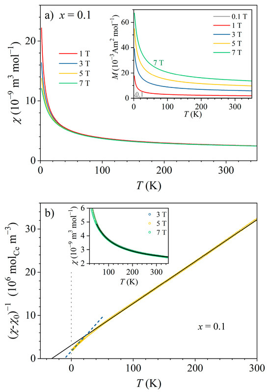
3.2. Magnetic Susceptibility
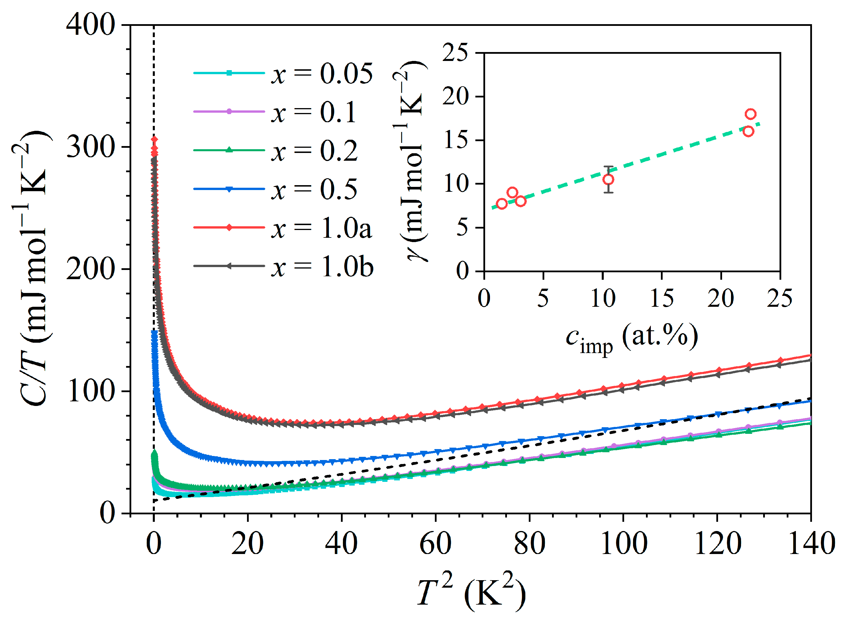
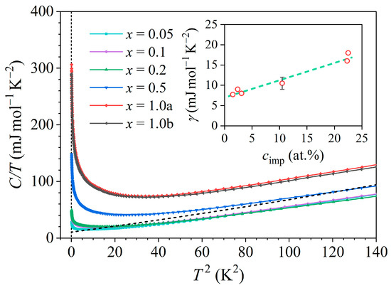
3.3. Specific Heat
4. Discussion
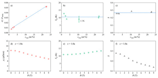
- The prefactor of the Kondo term in the Hamann electrical resistivity formula (Equation (1)) was directly proportional to the Ce impurity concentration such that , as shown in Figure 8a and also predicted theoretically by Equation (2) for the single-impurity systems. The Kondo temperature extracted from the Hamann fits of the zero-field resistivities was, within the experimental precision, independent of the Ce concentration (Figure 8b), suggesting that the magnetic impurities were acting independently in the Kondo effect, hence supporting its single-impurity character. Here, we mention that the Kondo temperature (multiplied by the Boltzmann constant ) is defined as the energy scale, which limits the validity of the original Kondo’s perturbative result [9]. is lower than the temperature of the electrical resistivity minimum , and the temperature range between and is considered the energy range where the exchange interaction between the localized magnetic impurity and the itinerant electrons is perturbatively weak, while at temperatures below , the coupling becomes non-perturbatively strong, resulting in the formation of a Kondo-compensated singlet state of the combined impurity-itinerant electron system.
- The magnetic susceptibility confirms that the investigated alloys were paramagnetic down to the lowest investigated temperature of 1.8 K, without any indication of collective magnetic ordering. Paramagnetism of the localized Ce moments followed the Curie–Weiss law with a relatively small (absolute) Curie–Weiss temperature of about −32 K when determined from the susceptibility data at temperatures 50 K. The negative indicates AFM interactions of the RKKY type between the Ce moments, but the interactions were too weak to induce collective magnetic ordering. The size of the Ce paramagnetic moment in this temperature range was practically identical to the theoretical value for a Ce3+ ion. At low temperatures, the inverse susceptibility data showed a departure from the high-temperature Curie–Weiss prediction and could be analyzed by another Curie–Weiss fit that yielded a reduced (absolute) and reduced effective magnetic moment of the Ce ions. This is compatible with the Kondo effect, where the Ce spins are compensated by the oppositely directed spins of the conduction electrons that reduce the effective moment and consequently the strength of the RKKY interaction between the Ce moments. The compensation was not complete even at the lowest temperature 1.8 K (i.e., 0 at 0), which can be attributed partially to the effect of the external magnetic field in which the experiments were conducted. (The Zeeman interaction can turn over some of the conduction-electron spins coupled by AFM interactions to the Ce spin.) It is also theoretically not a general result that the impurity moment must be completely compensated in the ground state when orbital angular momentum and crystal field terms are included in the single-impurity Kondo models [9]. However, the crystal field can also reduce the magnetic moment at low temperatures, and since the CF energy level scheme for the CexLaLuScY HEAs is not known yet, it is not possible to claim unambiguously the sole Kondo origin of the low-temperature deviation from the high-temperature Curie–Weiss behavior.
- The Pauli paramagnetic spin susceptibility of the conduction electrons scaled linearly with (Figure 10). Such behavior was predicted theoretically by the Kondo models that considered the magnetic impurities as independent. For example, within the non-interacting Anderson model (one of the simplest models that treats magnetic impurities in metals, originally derived for spin 1/2) [9,26], the electronic DOS is written as , where is the DOS of the nonmagnetic host metal, whereas is the change in the DOS due to the magnetic impurities. The origin of the DOS change is localization of the conduction electrons for a time near the impurity due to resonant scattering at the impurity site, which induces a narrow peak in the DOS known as the virtual bound state resonance. In such a state, the conduction electrons spend a relatively larger proportion of time in the region near the impurity, but it is not a bound state because the wave functions become Bloch states far from the impurity. If the resonance occurs within the Fermi-level region, then the impurity contribution to the Pauli paramagnetic susceptibility and the electronic specific heat enhance these two physical quantities. For the noninteracting magnetic impurities, the Pauli susceptibility is written as , where refers to the nonmagnetic host, while is the change in the Pauli susceptibility by the magnetic impurities [9,26], depending linearly on . The linear versus relation shown in Figure 10 supports the single-impurity type of Kondo effect in the CexLaLuScY HEAs.
- The electronic specific heat coefficient increased linearly with the Ce impurity concentration such that (inset in Figure 11). Within the above discussed non-interacting Anderson model [9,26], the coefficient is written as , with describing the nonmagnetic host and being the change introduced by the noninteracting magnetic impurities, depending linearly on . The linear versus relation from Figure 11 supports the single-impurity type Kondo effect in the CexLaLuScY HEAs.
- The magnetic specific heat (calculated per mole of Ce atoms) in a given (fixed) magnetic field was the same for all six samples, indicating that the magnetic specific heat per single magnetic impurity (per single Ce atom) was independent of the Ce concentration . The magnetic specific heat calculated per mole of the alloys then increased linearly with . This is in favor of the single-ion character of the magnetic specific heat, originating either from the single-impurity Kondo effect, the Schottky effect, or both. There was no sign of magnetic ordering induced by the RKKY interaction between the localized Ce moments in the magnetic specific heat down to the lowest investigated temperature.
- (i)
- The first kind of such systems is Kondo lattices [9], denoting chemically ordered crystalline intermetallic compounds with a regular periodic distribution of the magnetic RE elements (in abundant concentrations) on a crystal lattice. Examples include CeAl3, CeAl2, CePd3, RECu (RE = Ce, Yb), and TmS. In these systems, the magnetic 4f electrons are localized at high temperatures, and there is no significant f–f overlap. The electrical resistivity exhibits a minimum with a behavior below the minimum in much the same way as the dilute (single-impurity type) Kondo alloys. But unlike dilute Kondo alloys, instead of reaching a high constant value in the 0 limit, the resistivity of a Kondo lattice passes through a maximum at a characteristic temperature , called the lattice Kondo temperature (which is lower than the Kondo temperature ), below which it drops by one or two orders of magnitude. Below , the RE moments become progressively compensated by the spins of conduction electrons, and at the same time, the magnetic 4f electrons undergo weak delocalization until complete compensation is achieved, forming a coherent state between the 4f-scattering sites. The electronic wave functions are now of a Bloch form, propagating in a medium in which the RE ions are arranged on a translationally periodic sublattice. The scattering of conduction electrons becomes coherent, and the lattice part of the resistivity becomes negligibly small in the 0 limit. The Kondo lattices share this peculiar low-temperature behavior with heavy fermion compounds [9]. A common structural feature of the RE-containing Kondo lattices and HEAs is a periodic crystal lattice (though the lattice is topologically ordered in the former and distorted in the latter), but they differ in the chemical order on the lattice and hence in the distribution of the RE elements. While in the Kondo lattices, the RE ions are located on a translationally periodic sublattice, they are positioned randomly on the lattice sites in the chemically disordered crystalline structure of an HEA. A coherent state between the 4f-scattering sites cannot be achieved in an HEA, and the resistivity does not exhibit a maximum below followed by a drop at 0, but it eventually saturates to a high constant value in much the same manner as it does for the single-impurity Kondo systems.
- (ii)
- The second kind of dense Kondo system relevant for the comparison with HEAs is RE-containing magnetic metallic glasses (MGs) that exhibit the Kondo effect. A common structural property of MGs and HEAs is the random chemical disorder of the constituting elements (hence the random positioning of the 4f-scattering sites in the material), while they differ in the presence of a crystal lattice in the HEAs and its complete absence in the amorphous MGs. The Kondo effect in MGs is still a scarcely investigated field and has been reported thus far for the RE-containing magnetic MGs CexLa65−xAl10Cu20Co5 (x = 10, 20, and 65 at.%) [33], (CuZr)92.5Al7RE0.5 (RE = Ce, Sm), Yb12.5Ca50Zn20Mg17.5, Yb62.5Zn15Mg17.5Cu5, and Sm10Y45Al25Cu20 [34]. A common feature observed in these MGs is a Kondo resistance minimum with behavior below the minimum and a tendency toward saturation to a high constant value in the 0 limit, but there is no indication of a maximum in the resistivity or its drop at 0 like in the Kondo lattices. From this point of view, the investigated CexLaLuScY HEAs behave similarly to those MGs, whereas both are quite different from the Kondo lattices. This is not surprising because a regular periodic sublattice of the magnetic RE elements does not exist either in the MG or HEA structures. One specific feature predicted theoretically for the disordered Kondo systems is the disorder-induced distribution of Kondo temperatures [35,36], which has not been confirmed experimentally for the Kondo MGs as of yet. The same effect might also exist in HEAs, but the resistivity of the investigated CexLaLuScY HEAs could be well fitted within the Hamann model by using a single value without invoking the idea of its distribution.
- (iii)
- The third kind of dense Kondo system to compare with the HEAs is the RE-containing crystalline intermetallic compounds of the chemical formula RE1xRE21−xM, where RE1 is a magnetic rare earth element (mostly Ce and Yb) that is randomly substituted by a nonmagnetic rare earth element RE2 and M is a simple metal. Such systems can be loosely designated as chemically (substitutionally) disordered Kondo lattices, but the analogy with the true Kondo lattices is not particularly felicitous because the magnetic RE1 ions in the former systems are randomly distributed over the rare earth sites on the crystal lattice and do not form a translationally periodic sublattice like they do in the true Kondo lattices. A particularly intriguing feature of these systems is that the interactions between the RE1 magnetic moments were experimentally found to be notably reduced compared with the “normal” magnetic RE compounds, and the systems remained paramagnetic down to the lowest temperatures. Such systems also show the Kondo effect, which can astonishingly be described within the single-impurity picture, despite the concentrated amounts of the magnetic RE1 ions. Examples include the YbxY1−xCuAl system, which shows single-impurity Kondo behavior for x 0.2 [37], CexLa1−xCu6 with the single-impurity behavior for 0 < x < 0.7 [38], and CexLa1−xPb3, where the single-impurity behavior was observed even at a Ce content as high as x 0.8 [39]. The transition from the dense limit to the single-impurity limit in disordered Kondo lattices by varying the concentration of the RE1 element was also studied theoretically [40,41], but the microscopic picture of the phenomenon needs further attention. The substitutionally disordered Kondo lattices and the investigated CexLaLuScY HEAs appear to be closest to each other regarding the appearance of the Kondo effect. In both systems, the interactions between the magnetic RE ions are greatly reduced down to the lowest investigated temperatures such that the Kondo effect is of a single-impurity type, despite the concentrated amounts of the RE atoms. From the structural point of view, there are two common features of the disordered Kondo lattices and the investigated HEAs. The first is the presence of a crystal lattice, which is topologically distorted in both cases due to random substitution of the RE elements with slightly different atomic radii. Secondly, the magnetic RE ions are distributed randomly over the crystallographic RE sites in both systems, with none of them forming a translationally periodic magnetic 4f sublattice. The difference between the two systems is the size of the entropy of mixing . While in the CexLaLuScY, mixing of five elements makes large enough to classify the alloys as HEAs, only two elements are randomly mixed on a particular crystallographic site in the substitutionally disordered Kondo lattices such that does not reach a high enough value to classify the compounds as HEAs (instead, they can be classified as low-entropy alloys). In light of the similarity of the Kondo effect in these two kinds of chemically disordered crystalline systems, the difference in magnitude of the mixing entropy does not seem to play a significant role in the physics of the Kondo problem.
5. Conclusions
6. Methods
Supplementary Materials
Author Contributions
Funding
Institutional Review Board Statement
Informed Consent Statement
Data Availability Statement
Conflicts of Interest
References
- Zhang, Y. History of high-entropy materials. In High-Entropy Materials: A Brief Introduction; Springer: Singapore, 2019; pp. 1–33. [Google Scholar]
- Murthy, B.S.; Yeh, J.-W.; Ranganathan, S. High-Entropy Alloys; Elsevier: Amsterdam, The Netherlands, 2014. [Google Scholar]
- Mizutani, U. Introduction to the Electron Theory of Metals; Cambridge University Press: Cambridge, UK, 2001; pp. 97–102. [Google Scholar]
- Leong, Z.; Wróbel, J.S.; Dudarev, S.L.; Goodall, R.; Todd, I.; Nguyen-Manh, D. The effect of electronic structure on the phases present in high entropy alloys. Sci. Rep. 2017, 7, 39803. [Google Scholar] [CrossRef]
- Ching, W.-Y.; San, S.; Brechtl, J.; Sakidja, R.; Zhang, M.; Liaw, P.K. Fundamental electronic structure and multiatomic bonding in 13 biocompatible high-entropy alloys. NPJ Comput. Mater. 2020, 6, 45. [Google Scholar] [CrossRef]
- Chen, H.-L.; Mao, H.; Chen, Q. Database development and Calphad calculations for high entropy alloys: Challenges, strategies, and tips. Mater. Chem. Phys. 2018, 210, 279–290. [Google Scholar] [CrossRef]
- Tian, F.; Varga, L.K.; Shen, J.; Vitos, L. Calculating elastic constants in high-entropy alloys using the coherent potential approximation: Current issues and errors. Comput. Mater. Sci. 2016, 111, 350–358. [Google Scholar] [CrossRef]
- Huang, S.; Tian, F.; Vitos, L. Elasticity of high-entropy alloys from ab initio theory. J. Mater. Res. 2018, 33, 2938–2953. [Google Scholar] [CrossRef]
- Hewson, A.C. The Kondo Problem to Heavy Fermions; Cambridge University Press: Cambridge, UK, 1993. [Google Scholar]
- Takeuchi, A.; Inoue, A. Classification of bulk metallic glasses by atomic size difference, heat of mixing and period of constituent element and its application to characterization of the main alloying element. Mater. Trans. 2005, 46, 2817–2829. [Google Scholar] [CrossRef]
- Hume-Rothery, W. Factors affecting the stability of metallic phases. In Phase Stability in Metals and Alloys; Rudman, P.S., Stringer, J., Jaffee, R.I., Eds.; McGraw-Hill: New York, NY, USA, 1967; pp. 3–23. [Google Scholar]
- Gates-Rector, S.; Blanton, T. The powder diffraction file: A quality materials characterization database. Powder Diffr. 2019, 34, 352–360. [Google Scholar] [CrossRef]
- Jensen, J.; Mackintosh, A.R. Rare Earth Magnetism; Clarendon Press: Oxford, UK, 1991; p. 17. [Google Scholar]
- Zhang, Y.; Yang, X.; Liaw, P.K. Alloy design and properties optimization of high-entropy alloys. JOM 2012, 64, 830–838. [Google Scholar] [CrossRef]
- Guo, S.; Hu, Q.; Ng, C.; Liu, C.T. More than entropy in high-entropy alloys: Forming solid solutions or amorphous phase. Intermetallics 2013, 41, 96–103. [Google Scholar] [CrossRef]
- Yeh, J.W. Alloy design strategies and future trends in high-entropy alloys. J. Met. 2013, 65, 1759–1771. [Google Scholar] [CrossRef]
- Coelho, A.A. TOPAS and TOPAS-Academic: An optimization program integrating computer algebra and crystallographic objects written in C++. J. Appl. Cryst. 2018, 51, 210–218. [Google Scholar] [CrossRef]
- Hamann, D.R. New solution for exchange scattering in dilute alloys. Phys. Rev. 1967, 158, 570–580. [Google Scholar] [CrossRef]
- Nagaoka, Y. Self-consistent treatment of Kondo’s effect in dilute alloys. Phys. Rev. 1965, 138, A1112–A1120. [Google Scholar] [CrossRef]
- Sütsch, P.; Umlauf, E. Transport properties of (La, Pr)Sn3 alloys at low temperatures. J. Low Temp. Phys. 1981, 42, 11–33. [Google Scholar] [CrossRef]
- Ding, X.; Xing, J.; Li, G.; Balicas, L.; Gofryk, K.; Wen, H.H. Crossover from Kondo to Fermi-liquid behavior induced by high magnetic field in 1T–VTe2 single crystals. Phys. Rev. B 2021, 103, 125115. [Google Scholar] [CrossRef]
- Zeng, H.; Zhou, D.; Liang, G.; Tang, R.; Hang, Z.H.; Hu, Z.; Pei, Z.; Ling, X.S. Kondo effect and superconductivity in niobium with iron impurities. Sci. Rep. 2021, 11, 14256. [Google Scholar] [CrossRef] [PubMed]
- Coey, J.M.D. Magnetism and Magnetic Materials; Cambridge University Press: Cambridge, UK, 2010. [Google Scholar]
- Bain, G.A.; Berry, J.F. Diamagnetic corrections and Pascal’s constants. J. Chem. Educ. 2008, 85, 532–536. [Google Scholar] [CrossRef]
- Tari, A. The Specific Heat of Matter at Low Temperatures; Imperial College Press: London, UK, 2003. [Google Scholar]
- Anderson, P.W. Localized magnetic states in metals. Phys. Rev. 1961, 124, 41–53. [Google Scholar] [CrossRef]
- Coqblin, B.; Schrieffer, J.R. Exchange interaction in alloys with cerium impurities. Phys. Rev. 1969, 185, 847–853. [Google Scholar] [CrossRef]
- Schlottmann, P. Effects of crystal fields on the ground state of a Ce atom. Phys. Rev. B 1984, 30, 1454–1457. [Google Scholar] [CrossRef]
- Okiji, A.; Kawakami, N. Thermodynamics of the Coqblin-Schrieffer model in a crystalline field. J. Magn. Magn. Mater. 1986, 54–57, 327–332. [Google Scholar] [CrossRef]
- Desgranges, H.-U.; Rasul, J.W. Specific heat of a Coqblin-Schrieffer model with crystal fields: New crossover features and scaling properties. Phys. Rev. B 1985, 32, 6100–6103. [Google Scholar] [CrossRef] [PubMed]
- Bloomfield, P.E.; Hamann, D.R. Specific heat of dilute magnetic alloys. Phys. Rev. 1967, 164, 856–865. [Google Scholar] [CrossRef]
- Rajan, V.T.; Lowenstein, J.H.; Andrei, N. Thermodynamics of the Kondo model. Phys. Rev. Lett. 1982, 49, 497–500. [Google Scholar] [CrossRef]
- Tang, M.B.; Bai, H.Y.; Wang, W.H.; Bogdanov, D.; Winzer, K.; Samwer, K.; Egami, T. Heavy-fermion behavior in cerium-based metallic glasses. Phys. Rev. B 2007, 75, 172201. [Google Scholar] [CrossRef]
- Huang, B.; Yang, Y.F.; Wang, W.H. Kondo effect and non-Fermi liquid behavior in metallic glasses containing Yb, Ce, and Sm. J. Appl. Phys. 2013, 113, 163505. [Google Scholar] [CrossRef]
- Dobrosavljević, V.; Kirkpatrick, T.R.; Kotliar, G. Kondo effect in disordered systems. Phys. Rev. Lett. 1992, 69, 1113–1116. [Google Scholar] [CrossRef]
- Miranda, E.; Dobrosavljević, V.; Kotliar, G. Disorder-driven non-Fermi-liquid behavior in Kondo alloys. Phys. Rev. Lett. 1997, 78, 290–293. [Google Scholar] [CrossRef]
- Rojas, D.P.; Gandra, F.G.; Medina, A.N.; Fernández Barquín, L.; Gómez Sal, J.C. Kondo temperature and heavy fermion behavior in Yb1−xYxCuAl series of alloys. Phys. B Condens. Matter 2018, 536, 176–181. [Google Scholar] [CrossRef]
- Sumiyama, A.; Oda, Y.; Nagano, H.; Ōnuki, Y.; Shibutani, K.; Komatsubara, T. Coherent Kondo state in a dense Kondo substance: CexLa1−xCu6. J. Phys. Soc. Jpn. 1986, 55, 1249–1304. [Google Scholar] [CrossRef]
- Lin, C.L.; Wallash, A.; Crow, J.E.; Mihalisin, T.; Schlottmann, P. Heavy-fermion behavior and the single-ion Kondo model. Phys. Rev. Lett. 1987, 58, 1232–1235. [Google Scholar] [CrossRef] [PubMed]
- Watanabe, H.; Ogata, M. Ground state properties of randomly-doped Kondo lattice model. J. Phys. Conf. Ser. 2010, 200, 012221. [Google Scholar] [CrossRef]
- Mutou, T. From the local Fermi liquid to the heavy Fermi liquid. Phys. Rev. B 2001, 64, 245102. [Google Scholar] [CrossRef]
- Chen, S.-K.; Kao, Y.-F. Near-constant resistivity in 4.2-360 K in a B2 Al2.08CoCrFeNi. AIP Adv. 2012, 2, 012111. [Google Scholar] [CrossRef]
- Pasupathy, A.N.; Bialczak, R.C.; Martinek, J.; Grose, J.E.; Donev, L.A.K.; McEuen, P.L.; Ralph, D.C. The Kondo effect in the presence of ferromagnetism. Science 2004, 306, 86–89. [Google Scholar] [CrossRef] [PubMed]












| Ce | 0 | 1 | 2 | 0 |
| 0 | La | 1 | 2 | 0 |
| 1 | 1 | Lu | 0 | 0 |
| 2 | 2 | 0 | Sc | 1 |
| 0 | 0 | 0 | 1 | Y |
| Element | Atomic Radius (nm) | RT Structure | Lattice Parameters (Å) | (K) |
|---|---|---|---|---|
| Ce | 0.183 | ccp dhcp | 5.143 3.681, 11.857 ( 5.929) | 1068 |
| La | 0.188 | dhcp | 3.770, 12.028 ( 6.014) | 1193 |
| Lu | 0.173 | hcp | 3.511, 5.572 | 1925 |
| Sc | 0.165 | hcp | 3.309, 5.268 | 1814 |
| Y | 0.182 | hcp | 3.647, 5.728 | 1799 |
| Sample (Nominal Composition) | Sample (Nominal Composition in at.%) | SEM-EDS Composition (at.%) | (at.%) | Structure | Phase Fraction (wt.%) |
|---|---|---|---|---|---|
| Ce0.05LaLuScY | Ce1.2La24.7Lu24.7Sc24.7Y24.7 | Ce1.5La31.0Lu31.0Sc17.1Y19.4 | 1.5 | hcp-S, 3.582 Å, 5.650 Å | 37 |
| hcp-L, 3.601 Å, 5.683 Å | 63 | ||||
| Ce0.1LaLuScY | Ce2.4La24.4Lu24.4Sc24.4Y24.4 | Ce2.4La25.9Lu34.6Sc17.3Y19.8 | 2.4 | hcp-S, 3.583 Å, 5.654 Å | 40 |
| hcp-L, 3.600 Å, 5.686 Å | 60 | ||||
| Ce0.2LaLuScY | Ce4.8La23.8Lu23.8Sc23.8Y23.8 | Ce3.1La26.6Lu25.8Sc24.6Y19.9 | 3.1 | hcp-S, 3.586 Å, 5.657 Å | 37 |
| hcp-L, 3.605 Å, 5.688 Å | 63 | ||||
| Ce0.5LaLuScY | Ce11.2La22.2Lu22.2Sc22.2Y22.2 | Ce10.5La25.2Lu24.5Sc22.7Y17.1 | 10.5 | hcp-S, 3.594 Å, 5.672 Å | 30 |
| hcp-L, 3.617 Å, 5.715 Å | 68 | ||||
| ccp, 5.122 Å | 2 | ||||
| Ce1.0LaLuScY (sample x = 1.0a) | Ce20La20Lu20Sc20Y20 | Ce22.5La23.3Lu25.8Sc13.4Y15.0 | 22.5 | hcp-L, 3.620 Å, 5.726 Å | 97 |
| ccp, 5.176 Å | 3 | ||||
| Ce1.0LaLuScY (sample x = 1.0b) | Ce20La20Lu20Sc20Y20 | Ce22.3La24.7Lu23.8Sc13.5Y15.7 | 22.3 | hcp-L, 3.620 Å, 5.726 Å | 96 |
| ccp, 5.180 Å | 4 |
Disclaimer/Publisher’s Note: The statements, opinions and data contained in all publications are solely those of the individual author(s) and contributor(s) and not of MDPI and/or the editor(s). MDPI and/or the editor(s) disclaim responsibility for any injury to people or property resulting from any ideas, methods, instructions or products referred to in the content. |
© 2023 by the authors. Licensee MDPI, Basel, Switzerland. This article is an open access article distributed under the terms and conditions of the Creative Commons Attribution (CC BY) license (https://creativecommons.org/licenses/by/4.0/).
Share and Cite
Petrović, J.; Vrtnik, S.; Jelen, A.; Koželj, P.; Luzar, J.; Mihor, P.; Hu, Q.; Wencka, M.; Ambrožič, B.; Meden, A.; et al. The Kondo Effect in CexLaLuScY (x = 0.05–1.0) High-Entropy Alloys. Materials 2023, 16, 7575. https://doi.org/10.3390/ma16247575
Petrović J, Vrtnik S, Jelen A, Koželj P, Luzar J, Mihor P, Hu Q, Wencka M, Ambrožič B, Meden A, et al. The Kondo Effect in CexLaLuScY (x = 0.05–1.0) High-Entropy Alloys. Materials. 2023; 16(24):7575. https://doi.org/10.3390/ma16247575
Chicago/Turabian StylePetrović, Julia, Stanislav Vrtnik, Andreja Jelen, Primož Koželj, Jože Luzar, Peter Mihor, Qiang Hu, Magdalena Wencka, Bojan Ambrožič, Anton Meden, and et al. 2023. "The Kondo Effect in CexLaLuScY (x = 0.05–1.0) High-Entropy Alloys" Materials 16, no. 24: 7575. https://doi.org/10.3390/ma16247575
APA StylePetrović, J., Vrtnik, S., Jelen, A., Koželj, P., Luzar, J., Mihor, P., Hu, Q., Wencka, M., Ambrožič, B., Meden, A., Dražić, G., Guo, S., & Dolinšek, J. (2023). The Kondo Effect in CexLaLuScY (x = 0.05–1.0) High-Entropy Alloys. Materials, 16(24), 7575. https://doi.org/10.3390/ma16247575

