Substituting Solid Fossil Fuels with Torrefied Timber Products
Abstract
:1. Introduction
2. Materials and Methods
2.1. Qualitative Parameters of Solid Products
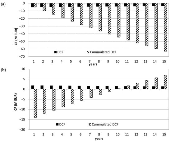
2.2. Economic Evaluation of the Substitution of Solid Fossil Fuels with Wood Torrefaction Products
- Revenues of the project consisted of supplied heat (price: 139.38 EUR per MWh−1) and electricity (price: 90.86 EUR per MWh−1).
- Revenues were calculated in fixed prices without value-added tax and other indirect taxes.
- Cash inflow did not include non-monetary revenues.
- n is the year from the start of the investment until year 15;
- Cn net value of the cash flow in a given year;
- r discount rate.
- y is the period preceding the period in which the cumulative cash flow turns positive;
- p discounted value of the cash flow of the period in which the cumulative cash flow turns positive;
- abs (n) absolute value of the cumulative discounted cash flow in period y.
- n is the year from the start of the investment until year 15;
- Cn net value of the cash flow in a given year;
- IRR internal rate of return.
3. Results and Discussion
3.1. Quality Parameters of the Solid Torrefaction Products
3.2. Feasibility of Substituting Coal with Torrefied Wood as a CHP Plant Fuel
4. Conclusions
Author Contributions
Funding
Institutional Review Board Statement
Informed Consent Statement
Data Availability Statement
Conflicts of Interest
References
- Falup, O.; Mircea, I.; Ivan, R.; Ionel, I. Novel Approach for the Current State of Greenhouse Gases Emissions. Romanian Case Study. J. Environ. Prot. Ecol. 2014, 15, 807–818. [Google Scholar]
- Lee, M.; Zhang, N. Technical Efficiency, Shadow Price of Carbon Dioxide Emissions, and Substitutability for Energy in the Chinese Manufacturing Industries. Energy Econ. 2012, 34, 1492–1497. [Google Scholar] [CrossRef]
- Lin, B.; Liu, J. Estimating Coal Production Peak and Trends of Coal Imports in China. Energy Policy 2010, 38, 512–519. [Google Scholar] [CrossRef]
- Höök, M.; Zittel, W.; Schindler, J.; Aleklett, K. Global Coal Production Outlooks Based on a Logistic Model. Fuel 2010, 89, 3546–3558. [Google Scholar] [CrossRef]
- Demirbas, A. Potential Applications of Renewable Energy Sources, Biomass Combustion Problems in Boiler Power Systems and Combustion Related Environmental Issues. Prog. Energy Combust. Sci. 2005, 31, 171–192. [Google Scholar] [CrossRef]
- Goyal, H.B.; Seal, D.; Saxena, R.C. Bio-Fuels from Thermochemical Conversion of Renewable Resources: A Review. Renew. Sustain. Energy Rev. 2008, 12, 504–517. [Google Scholar] [CrossRef]
- Gürdil, G.A.K.; Selvi, K.Ç.; Malaták, J.; Pinar, Y. Biomass Utilization for Thermal Energy. AMA Agric. Mech. Asia Afr. Lat. Am. 2009, 40, 80–85. [Google Scholar]
- Gaunt, J.L.; Lehmann, J. Energy Balance and Emissions Associated with Biochar Sequestration and Pyrolysis Bioenergy Production. Env. Sci. Technol. 2008, 42, 4152–4158. [Google Scholar] [CrossRef]
- Mohan, D.; Pittman, C.U.; Steele, P.H. Pyrolysis of Wood/Biomass for Bio-Oil: A Critical Review. Energy Fuels 2006, 20, 848–889. [Google Scholar] [CrossRef]
- Šafařík, D.; Hlaváčková, P.; Michal, J. Potential of Forest Biomass Resources for Renewable Energy Production in the Czech Republic. Energies 2022, 15, 47. [Google Scholar] [CrossRef]
- Rečka, L.; Ščasný, M. Brown Coal and Nuclear Energy Deployment: Effects on Fuel-Mix, Carbon Targets, and External Costs in the Czech Republic up to 2050. Fuel 2018, 216, 494–502. [Google Scholar] [CrossRef]
- van der Stelt, M.J.C.; Gerhauser, H.; Kiel, J.H.A.; Ptasinski, K.J. Biomass Upgrading by Torrefaction for the Production of Biofuels: A Review. Biomass Bioenergy 2011, 35, 3748–3762. [Google Scholar] [CrossRef]
- Chen, W.-H.; Peng, J.; Bi, X.T. A State-of-the-Art Review of Biomass Torrefaction, Densification and Applications. Renew. Sustain. Energy Rev. 2015, 44, 847–866. [Google Scholar] [CrossRef]
- Kambo, H.S.; Dutta, A. A Comparative Review of Biochar and Hydrochar in Terms of Production, Physico-Chemical Properties and Applications. Renew. Sustain. Energy Rev. 2015, 45, 359–378. [Google Scholar] [CrossRef]
- Phanphanich, M.; Mani, S. Impact of Torrefaction on the Grindability and Fuel Characteristics of Forest Biomass. Bioresour. Technol. 2011, 102, 1246–1253. [Google Scholar] [CrossRef] [PubMed]
- Tumuluru, J.S.; Sokhansanj, S.; Hess, J.R.; Wright, C.T.; Boardman, R.D. A Review on Biomass Torrefaction Process and Product Properties for Energy Applications. Ind. Biotechnol. 2011, 7, 384–401. [Google Scholar] [CrossRef]
- Weber, K.; Quicker, P. Properties of Biochar. Fuel 2018, 217, 240–261. [Google Scholar] [CrossRef]
- Jha, S.; Okolie, J.A.; Nanda, S.; Dalai, A.K. A Review of Biomass Resources and Thermochemical Conversion Technologies. Chem. Eng. Technol. 2022, 45, 791–799. [Google Scholar] [CrossRef]
- Schipfer, F.; Kranzl, L. Techno-Economic Evaluation of Biomass-to-End-Use Chains Based on Densified Bioenergy Carriers (DBECs). Appl. Energy 2019, 239, 715–724. [Google Scholar] [CrossRef]
- Starfelt, F.; Tomas Aparicio, E.; Li, H.; Dotzauer, E. Integration of Torrefaction in CHP Plants—A Case Study. Energy Convers. Manag. 2015, 90, 427–435. [Google Scholar] [CrossRef]
- Jeníček, L.; Tunklová, B.; Malaťák, J.; Neškudla, M.; Velebil, J. Use of Spent Coffee Ground as an Alternative Fuel and Possible Soil Amendment. Materials 2022, 15, 6722. [Google Scholar] [CrossRef] [PubMed]
- Chen, W.-H.; Lin, B.-J.; Lin, Y.-Y.; Chu, Y.-S.; Ubando, A.T.; Show, P.L.; Ong, H.C.; Chang, J.-S.; Ho, S.-H.; Culaba, A.B.; et al. Progress in Biomass Torrefaction: Principles, Applications and Challenges. Prog. Energy Combust. Sci. 2021, 82, 100887. [Google Scholar] [CrossRef]
- Gendek, A.; Aniszewska, M.; Owoc, D.; Tamelová, B.; Malaťák, J.; Velebil, J.; Krilek, J. Physico-Mechanical and Energy Properties of Pellets Made from Ground Walnut Shells, Coniferous Tree Cones and Their Mixtures. Renew. Energy 2023, 211, 248–258. [Google Scholar] [CrossRef]
- Lisowski, A.; Matkowski, P.; Dąbrowska, M.; Piątek, M.; Świętochowski, A.; Klonowski, J.; Mieszkalski, L.; Reshetiuk, V. Particle Size Distribution and Physicochemical Properties of Pellets Made of Straw, Hay, and Their Blends. Waste Biomass Valorization 2020, 11, 63–75. [Google Scholar] [CrossRef]
- Tripathi, M.; Sahu, J.N.; Ganesan, P. Effect of Process Parameters on Production of Biochar from Biomass Waste through Pyrolysis: A Review. Renew. Sustain. Energy Rev. 2016, 55, 467–481. [Google Scholar] [CrossRef]
- Wilk, M.; Magdziarz, A.; Kalemba, I.; Gara, P. Carbonisation of Wood Residue into Charcoal during Low Temperature Process. Renew. Energy 2016, 85, 507–513. [Google Scholar] [CrossRef]
- Aniszewska, M.; Gendek, A.; Hýsek, Š.; Malaťák, J.; Velebil, J.; Tamelová, B. Changes in the Composition and Surface Properties of Torrefied Conifer Cones. Materials 2020, 13, 5660. [Google Scholar] [CrossRef] [PubMed]
- Prins, M.J.; Ptasinski, K.J.; Janssen, F.J.J.G. Torrefaction of Wood: Part 1. Weight Loss Kinetics. J. Anal. Appl. Pyrolysis 2006, 77, 28–34. [Google Scholar] [CrossRef]
- Spokas, K.A. Review of the Stability of Biochar in Soils: Predictability of O:C Molar Ratios. Carbon. Manag. 2010, 1, 289–303. [Google Scholar] [CrossRef]
- Wannapeera, J.; Fungtammasan, B.; Worasuwannarak, N. Effects of Temperature and Holding Time during Torrefaction on the Pyrolysis Behaviors of Woody Biomass. J. Anal. Appl. Pyrolysis 2011, 92, 99–105. [Google Scholar] [CrossRef]
- Thengane, S.K.; Kung, K.S.; Gomez-Barea, A.; Ghoniem, A.F. Advances in Biomass Torrefaction: Parameters, Models, Reactors, Applications, Deployment, and Market. Prog. Energy Combust. Sci. 2022, 93, 101040. [Google Scholar] [CrossRef]
- Liu, Q.; Wang, S.; Zheng, Y.; Luo, Z.; Cen, K. Mechanism Study of Wood Lignin Pyrolysis by Using TG–FTIR Analysis. J. Anal. Appl. Pyrolysis 2008, 82, 170–177. [Google Scholar] [CrossRef]
- Cha, J.S.; Park, S.H.; Jung, S.-C.; Ryu, C.; Jeon, J.-K.; Shin, M.-C.; Park, Y.-K. Production and Utilization of Biochar: A Review. J. Ind. Eng. Chem. 2016, 40, 1–15. [Google Scholar] [CrossRef]
- Sermyagina, E.; Saari, J.; Zakeri, B.; Kaikko, J.; Vakkilainen, E. Effect of Heat Integration Method and Torrefaction Temperature on the Performance of an Integrated CHP-Torrefaction Plant. Appl. Energy 2015, 149, 24–34. [Google Scholar] [CrossRef]
- Sermyagina, E.; Saari, J.; Kaikko, J.; Vakkilainen, E. Integration of Torrefaction and CHP Plant: Operational and Economic Analysis. Appl. Energy 2016, 183, 88–99. [Google Scholar] [CrossRef]
- Meyer, S.; Glaser, B.; Quicker, P. Technical, Economical, and Climate-Related Aspects of Biochar Production Technologies: A Literature Review. Env. Sci. Technol. 2011, 45, 9473–9483. [Google Scholar] [CrossRef] [PubMed]
- Jindo, K.; Mizumoto, H.; Sawada, Y.; Sanchez-Monedero, M.A.; Sonoki, T. Physical and Chemical Characterization of Biochars Derived from Different Agricultural Residues. Biogeosciences 2014, 11, 6613–6621. [Google Scholar] [CrossRef]
- Malaťák, J.; Gendek, A.; Aniszewska, M.; Velebil, J. Emissions from Combustion of Renewable Solid Biofuels from Coniferous Tree Cones. Fuel 2020, 276, 118001. [Google Scholar] [CrossRef]
- Malaťák, J.; Velebil, J.; Malaťáková, J.; Passian, L.; Bradna, J.; Tamelová, B.; Gendek, A.; Aniszewska, M. Reducing Emissions from Combustion of Grape Residues in Mixtures with Herbaceous Biomass. Materials 2022, 15, 7288. [Google Scholar] [CrossRef]
- Malaťáková, J.; Jankovský, M.; Malaťák, J.; Velebil, J.; Tamelová, B.; Gendek, A.; Aniszewska, M. Evaluation of Small-Scale Gasification for CHP for Wood from Salvage Logging in the Czech Republic. Forests 2021, 12, 1448. [Google Scholar] [CrossRef]
- Peters, J.F.; Iribarren, D.; Dufour, J. Biomass Pyrolysis for Biochar or Energy Applications? A Life Cycle Assess. 2015, 49, 5195–5202. [Google Scholar] [CrossRef]
- Ippolito, J.A.; Laird, D.A.; Busscher, W.J. Environmental Benefits of Biochar. J. Environ. Qual. 2012, 41, 967–972. [Google Scholar] [CrossRef] [PubMed]
- Červenka, J.; Bače, R.; Brůna, J.; Wild, J.; Svoboda, M.; Heurich, M. Mapping of Mountain Temperate Forest Recovery after Natural Disturbance: A Large Permanent Plot Established on Czech-German Border. Silva Gabreta 2019, 25, 31–41. [Google Scholar]
- Hlásny, T.; Zimová, S.; Merganičová, K.; Štěpánek, P.; Modlinger, R.; Turčáni, M. Devastating Outbreak of Bark Beetles in the Czech Republic: Drivers, Impacts, and Management Implications. Ecol. Manag. 2021, 490, 119075. [Google Scholar] [CrossRef]
- Purwestri, R.C.; Hájek, M.; Hochmalová, M.; Palátová, P.; Huertas-Bernal, D.C.; García-Jácome, S.P.; Jarský, V.; Kašpar, J.; Riedl, M.; Marušák, R. The Role of Bioeconomy in the Czech National Forest Strategy: A Comparison with Sweden. Int. For. Rev. 2022, 23, 492–510. [Google Scholar] [CrossRef]
- Maitah, M.; Toth, D.; Malec, K.; Appiah-Kubi, S.N.K.; Maitah, K.; Pańka, D.; Prus, P.; Janků, J.; Romanowski, R. The Impacts of Calamity Logging on the Sustainable Development of Spruce Fuel Biomass Prices and Spruce Pulp Prices in the Czech Republic. Forests 2022, 13, 97. [Google Scholar] [CrossRef]
- Forestry—2021|CZSO. Available online: https://www.czso.cz/csu/czso/forestry-2021 (accessed on 19 September 2023).
- Wermelinger, B. Ecology and Management of the Spruce Bark Beetle Ips Typographus—A Review of Recent Research. Ecol. Manag. 2004, 202, 67–82. [Google Scholar] [CrossRef]
- Abdullah, H.; Darvishzadeh, R.; Skidmore, A.K.; Groen, T.A.; Heurich, M. European Spruce Bark Beetle (Ips Typographus, L.) Green Attack Affects Foliar Reflectance and Biochemical Properties. Int. J. Appl. Earth Obs. Geoinf. 2018, 64, 199–209. [Google Scholar] [CrossRef]
- Conner, R.C.; Johnson, T.G. Estimates of Biomass in Logging Residue and Standing Residual Inventory Following Tree-Harvest Activity on Timberland Acres in the Southern Region; US Department of Agriculture, Forest Service, Southern Research Station: Asheville, NC, USA, 2011; pp. 1–32. [Google Scholar]
- ISO 16993:2016; Solid Biofuels: Conversion of Analytical Results from One Basis to Another. ISO: Geneva, Switzerland, 2016.
- ISO 1928:2020; Coal and Coke: Determination of Gross Calorific Value. ISO: Geneva, Switzerland, 2020.
- Malaták, J.; Jevic, P.; Gürdil, G.A.K.; Selvi, K.Ç. Biomass Heat-Emission Characteristics of Energy Plants. AMA Agric. Mech. Asia Afr. Lat. Am. 2008, 39, 9–13. [Google Scholar]
- Hupa, M.; Karlström, O.; Vainio, E. Biomass Combustion Technology Development—It Is All about Chemical Details. Proc. Combust. Inst. 2017, 36, 113–134. [Google Scholar] [CrossRef]
- Vassilev, S.V.; Baxter, D.; Andersen, L.K.; Vassileva, C.G. An Overview of the Chemical Composition of Biomass. Fuel 2010, 89, 913–933. [Google Scholar] [CrossRef]
- Nielsen, H.P.; Frandsen, F.J.; Dam-Johansen, K.; Baxter, L.L. The Implications of Chlorine-Associated Corrosion on the Operation of Biomass-Fired Boilers. Prog. Energy Combust. Sci. 2000, 26, 283–298. [Google Scholar] [CrossRef]
- Juszczak, M. Comparison of CO and NOx Concentrations from a 20 KW Boiler for Periodic and Constant Wood Pellet Supply. Environ. Prot. Eng. 2016, 42, 95–107. [Google Scholar] [CrossRef]
- Svanberg, M.; Olofsson, I.; Flodén, J.; Nordin, A. Analysing Biomass Torrefaction Supply Chain Costs. Bioresour. Technol. 2013, 142, 287–296. [Google Scholar] [CrossRef] [PubMed]
- Kloss, S.; Zehetner, F.; Dellantonio, A.; Hamid, R.; Ottner, F.; Liedtke, V.; Schwanninger, M.; Gerzabek, M.H.; Soja, G. Characterization of Slow Pyrolysis Biochars: Effects of Feedstocks and Pyrolysis Temperature on Biochar Properties. J. Environ. Qual. 2012, 41, 990–1000. [Google Scholar] [CrossRef]
- Jeníček, L.; Tunklová, B.; Malaťák, J.; Velebil, J.; Malaťáková, J.; Neškudla, M.; Hnilička, F. The Impact of Nutshell Biochar on the Environment as an Alternative Fuel or as a Soil Amendment. Materials 2023, 16, 2074. [Google Scholar] [CrossRef]
- Ingram, L.; Mohan, D.; Bricka, M.; Steele, P.; Strobel, D.; Crocker, D.; Mitchell, B.; Mohammad, J.; Cantrell, K.; Pittman, C.U., Jr. Pyrolysis of Wood and Bark in an Auger Reactor: Physical Properties and Chemical Analysis of the Produced Bio-Oils. Energy Fuels 2007, 22, 614–625. [Google Scholar] [CrossRef]
- Jeníček, L.; Neškudla, M.; Malaťák, J.; Velebil, J.; Passian, L. Spruce and Barley Elemental and Stochiometric Analysis Affected by the Impact of Pellet Production and Torrefaction. Acta Technol. Agric. 2021, 24, 166–172. [Google Scholar] [CrossRef]
- Johansson, L.S.; Tullin, C.; Leckner, B.; Sjövall, P. Particle Emissions from Biomass Combustion in Small Combustors. Biomass Bioenergy 2003, 25, 435–446. [Google Scholar] [CrossRef]
- Vassilev, S.V.; Baxter, D.; Andersen, L.K.; Vassileva, C.G. An Overview of the Composition and Application of Biomass Ash. Part 1. Phase–Mineral and Chemical Composition and Classification. Fuel 2013, 105, 40–76. [Google Scholar] [CrossRef]
- Saidur, R.; Abdelaziz, E.A.; Demirbas, A.; Hossain, M.S.; Mekhilef, S. A Review on Biomass as a Fuel for Boilers. Renew. Sustain. Energy Rev. 2011, 15, 2262–2289. [Google Scholar] [CrossRef]
- Brassard, P.; Palacios, J.H.; Godbout, S.; Bussières, D.; Lagacé, R.; Larouche, J.-P.; Pelletier, F. Comparison of the Gaseous and Particulate Matter Emissions from the Combustion of Agricultural and Forest Biomasses. Bioresour. Technol. 2014, 155, 300–306. [Google Scholar] [CrossRef]
- Liu, H.; Zhao, B.; Zhang, X.; Zhang, Y. Influence of Intrinsic Physicochemical Properties of Agroforestry Waste on Its Pyrolysis Characteristics and Behavior. Materials 2023, 16, 222. [Google Scholar] [CrossRef] [PubMed]
- Tamelová, B.; Malaťák, J.; Velebil, J.; Gendek, A.; Aniszewska, M. Energy Utilization of Torrefied Residue from Wine Production. Materials 2021, 14, 1610. [Google Scholar] [CrossRef]
- Tamelová, B.; Malaťák, J.; Velebil, J.; Gendek, A.; Aniszewska, M. Impact of Torrefaction on Fuel Properties of Aspiration Cleaning Residues. Materials 2022, 15, 6949. [Google Scholar] [CrossRef] [PubMed]
- Dupont, C.; Chiriac, R.; Gauthier, G.; Toche, F. Heat Capacity Measurements of Various Biomass Types and Pyrolysis Residues. Fuel 2014, 115, 644–651. [Google Scholar] [CrossRef]
- Karimi, M.; Aminzadehsarikhanbeglou, E.; Vaferi, B. Robust Intelligent Topology for Estimation of Heat Capacity of Biochar Pyrolysis Residues. Measurement 2021, 183, 109857. [Google Scholar] [CrossRef]
- Pereira, B.L.C.; Carneiro, A.D.C.O.; Carvalho, A.M.M.L.; Colodette, J.L.; Oliveira, A.C.; Fontes, M.P.F. Influence of Chemical Composition of Eucalyptus Wood on Gravimetric Yield and Charcoal Properties. Bioresources 2013, 8, 4574–4592. [Google Scholar] [CrossRef]
- Tabakaev, R.; Kanipa, I.; Astafev, A.; Dubinin, Y.; Yazykov, N.; Zavorin, A.; Yakovlev, V. Thermal Enrichment of Different Types of Biomass by Low-Temperature Pyrolysis. Fuel 2019, 245, 29–38. [Google Scholar] [CrossRef]
- Cong, H.; Mašek, O.; Zhao, L.; Yao, Z.; Meng, H.; Hu, E.; Ma, T. Slow Pyrolysis Performance and Energy Balance of Corn Stover in Continuous Pyrolysis-Based Poly-Generation Systems. Energy Fuels 2018, 32, 3743–3750. [Google Scholar] [CrossRef]
- Van Loo, S.; Koppejan, J. The Handbook of Biomass Combustion and Co-Firing; Taylor and Francis: Abingdon, UK, 2012; pp. 1–442. [Google Scholar] [CrossRef]
- NERA Economic Consulting. Economic Assessment of Biomass Conversion; World Bank: Berlin, Germany, 2021. [Google Scholar]
- Abelha, P.; Kiel, J. Techno-Economic Assessment of Biomass Upgrading by Washing and Torrefaction. Biomass Bioenergy 2020, 142, 105751. [Google Scholar] [CrossRef]
- Doddapaneni, T.R.K.C.; Praveenkumar, R.; Tolvanen, H.; Rintala, J.; Konttinen, J. Techno-Economic Evaluation of Integrating Torrefaction with Anaerobic Digestion. Appl. Energy 2018, 213, 272–284. [Google Scholar] [CrossRef]
- Manouchehrinejad, M.; Bilek, E.M.T.; Mani, S. Techno-Economic Analysis of Integrated Torrefaction and Pelletization Systems to Produce Torrefied Wood Pellets. Renew. Energy 2021, 178, 483–493. [Google Scholar] [CrossRef]
- Peng, J.H.; Bi, H.T.; Sokhansanj, S.; Lim, J.C.; Melin, S. An Economical and Market Analysis of Canadian Wood Pellets. Int. J. Green. Energy 2010, 7, 128–142. [Google Scholar] [CrossRef]



| Sample | Water Content (% wt.) | Ash (% wt.) | Carbon (% wt.) | Hydrogen (% wt.) | Sulphur (% wt.) | Nitrogen (% wt.) | Oxygen (% wt.) | Gross Calorific Value (MJ kg−1) | Net Calorific Value (MJ kg−1) |
|---|---|---|---|---|---|---|---|---|---|
| W | A | C | H | S | N | O | Qs | Qi | |
| Coal a.r. | 39.50 | 10.28 | 41.00 | 3.10 | 0.61 | 0.60 | 4.91 | 15.64 | 14.00 |
| Coal d.b. | 17.00 | 67.77 | 5.12 | 1.00 | 0.99 | 8.12 | 24.26 | 23.14 | |
| Spruce a.r. | 40.00 | 0.17 | 30.75 | 3.71 | 0.00 | 0.21 | 25.16 | 12.07 | 10.28 |
| Spruce d.b. | 0.28 | 51.25 | 6.19 | 0.00 | 0.35 | 41.93 | 20.12 | 18.77 | |
| Spruce 250 °C a.r. | 3.00 | 0.30 | 51.29 | 5.99 | 0.00 | 0.30 | 39.12 | 20.18 | 18.80 |
| Spruce 250 °C d.b. | 0.31 | 52.88 | 6.17 | 0.00 | 0.31 | 40.33 | 20.81 | 19.46 | |
| Spruce 300 °C a.r. | 3.00 | 0.39 | 57.27 | 5.71 | 0.00 | 0.32 | 33.31 | 21.83 | 20.51 |
| Spruce 300 °C d.b. | 0.41 | 59.04 | 5.89 | 0.00 | 0.33 | 34.33 | 22.51 | 21.22 | |
| Spruce 350 °C a.r. | 3.00 | 0.75 | 74.42 | 4.66 | 0.00 | 0.44 | 16.73 | 28.05 | 26.96 |
| Spruce 350 °C d.b. | 0.78 | 76.72 | 4.80 | 0.00 | 0.45 | 17.25 | 28.92 | 27.87 | |
| Spruce 450 °C a.r. | 3.00 | 1.11 | 81.20 | 3.34 | 0.00 | 0.48 | 10.87 | 29.50 | 28.70 |
| Spruce 450 °C d.b. | 1.14 | 83.71 | 3.44 | 0.00 | 0.49 | 11.22 | 30.41 | 29.66 | |
| Spruce 550 °C a.r. | 3.00 | 1.32 | 87.50 | 2.69 | 0.00 | 0.57 | 4.92 | 31.25 | 30.59 |
| Spruce 550 °C d.b. | 1.36 | 90.21 | 2.77 | 0.00 | 0.59 | 5.07 | 32.21 | 31.61 |
| Coal a.r. | Spruce a.r. | Spruce 250 °C a.r. | Spruce 300 °C a.r. | Spruce 350 °C a.r. | Spruce 450 °C a.r. | Spruce 550 °C a.r. | ||
|---|---|---|---|---|---|---|---|---|
| Fuel mass flow into boiler with a 90% efficiency rate and 10 MW thermal output | kg h−1 | 2857 | 3889 | 2128 | 1950 | 1484 | 1394 | 1308 |
| Fuel mass flow into boiler with a 90% efficiency rate and 40 MW thermal output | kg h−1 | 11,428 | 15556 | 8510 | 7800 | 5935 | 5575 | 5231 |
| Theoretical oxygen flow for complete combustion (n = 1) | kg kg−1 | 1.298 | 0.865 | 1.456 | 1.651 | 2.190 | 2.324 | 2.499 |
| Theoretical air flow for complete combustion (n = 1) | kg kg−1 | 5.596 | 3.730 | 6.274 | 7.116 | 9.440 | 10.015 | 10.773 |
| Mass of air for complete combustion (n = 2.1) | kg kg−1 | 11.752 | 7.834 | 13.176 | 14.944 | 19.824 | 21.032 | 22.622 |
| Mass of humid flue gas (n = 2.1) | kg kg−1 | 12.984 | 9.055 | 14.548 | 16.366 | 21.381 | 22.620 | 24.253 |
| Mass of dry flue gas (n = 2.1) | kg kg−1 | 11.839 | 8.008 | 13.452 | 15.224 | 20.139 | 21.448 | 23.077 |
| Theoretical mass of dry flue gas (n = 1) | kg kg−1 | 5.745 | 3.945 | 6.619 | 7.474 | 9.858 | 10.541 | 11.345 |
| Mass quantity of CO2 (n = 2.1) | kg kg−1 | 1.509 | 1.131 | 1.887 | 2.107 | 2.738 | 2.987 | 3.219 |
| Mass of SO2 (n = 2.1) | kg kg−1 | 0.012 | 0.00 | 0.00 | 0.00 | 0.00 | 0.00 | 0.00 |
| Mass of N2 (n = 2.1) | kg kg−1 | 8.875 | 5.915 | 9.947 | 11.282 | 14.966 | 15.879 | 17.080 |
| Mass of O2 (n = 2.1) | kg kg−1 | 1.428 | 0.952 | 1.601 | 1.816 | 2.409 | 2.556 | 2.749 |
| CAPEX Item | Value (Millions of EUR) | Value Scaled (Millions of EUR) |
|---|---|---|
| Infrastructure and buildings | 5.95 | 2.32 |
| Tipping bunkers and biomass processing | 6.55 | 2.55 |
| Low-temperature drier | 2.27 | 0.88 |
| High-temperature steam drier | 4.41 | 1.72 |
| Torrefaction reactor | 5.51 | 2.15 |
| Steam boiler | 11.1 | 4.32 |
| Product cooling | 1.12 | 0.44 |
| Milling | 0.27 | 0.11 |
| Discharging and outdoor storage | 3.22 | 1.25 |
| Total | 40.4 | 15.73 |
| Interest on capital | - | 0.787 |
| Instalments payment | - | 1.05 |
| Operational Cost Item (Millions of EUR) | A0 | A1 |
|---|---|---|
| Fuel costs | 8.497 | 11.661 |
| Carbon permits costs | 12.048 | 0 |
| Material costs | 1.261 | 0.462 |
| Services | 0.093 | 0.093 |
| Personnel costs | 1.029 | 1.338 |
| Amortization and depreciation | 0 | 0.865 |
| Interest | 0 | 0.787 |
| Insurance (related to investment) | 0 | 0.079 |
| Costs without depreciation | 22.928 | 14.419 |
| Costs without depreciation and interest | 22.928 | 16.390 |
| Total costs | 22.928 | 15.284 |
| Revenue Item | A0 and A1 |
|---|---|
| Heat supplied (MWh year−1) | 112,995 |
| Mean heat price (EUR per MWh−1) | 139.38 |
| Revenues for heat supply (millions of EUR per year−1) | 382.79 |
| Electricity supplied (MWh per year−1) | 29,011 |
| Electricity price (EUR per MWh−1) | 90.86 |
| Revenues for electricity supply (millions of EUR per year−1) | 50.82 |
| Total revenues (millions of EUR per year−1) | 433.61 |
| Cash Flow Item (Millions of EUR) | A0 | A1 |
|---|---|---|
| Revenues | 17.839 | 17.839 |
| Costs | −22.928 | −16.212 |
| EBITDA | −5.088 | 1.628 |
| Depreciation and amortization | 0 | −0.036 |
| EBIT | −5.088 | 1.592 |
| Interest | 0 | −0.032 |
| EBT | −5.088 | 1.560 |
| Taxes | 0 | −0.296 |
| Net profit | −5.088 | 1.263 |
| Cash flow | −5.088 | 1.299 |
| Net cash flow | −5.088 | 1.256 |
| Discounted cash flow | −4.964 | 1.225 |
Disclaimer/Publisher’s Note: The statements, opinions and data contained in all publications are solely those of the individual author(s) and contributor(s) and not of MDPI and/or the editor(s). MDPI and/or the editor(s) disclaim responsibility for any injury to people or property resulting from any ideas, methods, instructions or products referred to in the content. |
© 2023 by the authors. Licensee MDPI, Basel, Switzerland. This article is an open access article distributed under the terms and conditions of the Creative Commons Attribution (CC BY) license (https://creativecommons.org/licenses/by/4.0/).
Share and Cite
Malaťák, J.; Jankovský, M.; Malaťáková, J.; Velebil, J.; Gendek, A.; Aniszewska, M. Substituting Solid Fossil Fuels with Torrefied Timber Products. Materials 2023, 16, 7569. https://doi.org/10.3390/ma16247569
Malaťák J, Jankovský M, Malaťáková J, Velebil J, Gendek A, Aniszewska M. Substituting Solid Fossil Fuels with Torrefied Timber Products. Materials. 2023; 16(24):7569. https://doi.org/10.3390/ma16247569
Chicago/Turabian StyleMalaťák, Jan, Martin Jankovský, Jitka Malaťáková, Jan Velebil, Arkadiusz Gendek, and Monika Aniszewska. 2023. "Substituting Solid Fossil Fuels with Torrefied Timber Products" Materials 16, no. 24: 7569. https://doi.org/10.3390/ma16247569
APA StyleMalaťák, J., Jankovský, M., Malaťáková, J., Velebil, J., Gendek, A., & Aniszewska, M. (2023). Substituting Solid Fossil Fuels with Torrefied Timber Products. Materials, 16(24), 7569. https://doi.org/10.3390/ma16247569

