The Effect of Changes in the Aging Temperature Combined with Deep Cryogenic Treatment on the Structure, Phase Composition, and Micromechanical Properties of the WE43 Magnesium Alloy
Abstract
:1. Introduction
2. Materials and Methods
3. Research Results and Discussion
3.1. Examination of the WE43 Alloy Microstructure
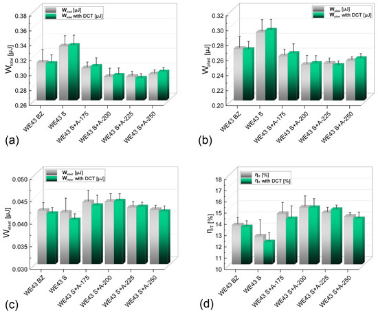
3.2. Instrumental Microindentation—Micromechanical Tests
4. Conclusions
- There were no notable disparities in the microstructure of the WE43 magnesium alloy between the initial state and after undergoing deep cryogenic treatment. In both cases, the magnesium alloy had a fine-grained structure.
- Solution treatment of the WE43 alloy at 545 °C for 24 h resulted in a 100–120-fold increase in the grain size and most of the precipitates dissolved in the matrix, especially after applying deep cryogenic treatment after solution treatment, where a more than 10-fold reduction in the number of precipitates was observed compared to the material in its initial state. On the diffractograms of the alloy, phases such as α-Mg and La0.5RE0.5 were identified. Microanalysis of the chemical composition also indicates a homogeneous composition of the alloy after solution treatment.
- The aging of the alloy carried out in the temperature range of 175–225 °C for 24 h, especially using cryogenic treatment in liquid nitrogen (−196 °C/24 h), led to a reduction in the grain size compared to the samples not subjected to deep cryogenic treatment. For the WE43 alloy aged at 250 °C/24 h, it can be observed that the grain size increases significantly compared to the alloy aged at 225 °C/24 h in the case of both heat treatments (without and with DCT).
- During aging, the amount of β-phase strengthening precipitates increases. For temperatures of 175–225 °C, it was observed that as the aging temperature increased, there was a maximum 5-fold increase in the amount of precipitates compared to the alloy after solution and sub-zero treatment. These precipitates are of fine size, and only such can result in the strengthening of the material. The most advantageous results were obtained for the alloy aged at 225 °C/24 h and subjected to deep cryogenic treatment (S + A-225 with DCT). Due to lower aging temperatures, it is possible to prevent grain re-growth, which adversely affects the properties of magnesium alloys with rare earth metals.
- After aging and after aging with sub-zero treatment, the following phases were identified: Mg, La0.5RE0.5, Mg3RE, Mg2Nd, MgRE, MgY, and Y0.65RE0.35, and microanalysis of the phase composition confirmed the presence of phases with yttrium as well as zirconium-rich areas.
- The positive changes in the WE43 alloy structure achieved by lowering the aging temperature lead to improvements in the micromechanical properties of the test material. The most advantageous results were recorded for the alloy subjected to solution treatment, aged at 225 °C for 24 h, and subjected to deep cryogenic treatment (WE43 S + A225 with DCT). Its hardness increased by approx. 30%, a 10% increase in Young’s modulus was recorded, and the elastic properties of the alloy were improved compared to the initial state (as received). Furthermore, an adequately selected temperature of aging increases the resistance to deformation of the WE43 alloy.
- Analysis of the results of tests on the alloy aged at 250 °C reveals unfavorable changes in its microstructure and a decrease in its micromechanical properties, indicative of a phenomenon known as alloy overaging.
- Deep cryogenic treatment combined with a properly conducted precipitation hardening process is an effective method for improving the properties of rare earth metal alloys.
Author Contributions
Funding
Institutional Review Board Statement
Informed Consent Statement
Data Availability Statement
Conflicts of Interest
References
- Kainer, K.U. Magnesium Alloys and Technologies; Wiley-VCH: Weinheim, Germany, 2003; ISBN 9783527305704. [Google Scholar]
- Satya Prasad, S.V.; Prasad, S.B.; Verma, K.; Kumar Mishra, R.; Kumar, V.; Singh, S. The role and significance of Magnesium in modern day research—A review. J. Magnes. Alloys 2022, 10, 1–61. [Google Scholar] [CrossRef]
- Naqvi, R.B.; Joya, Y.F.; Karim, M.R.A. Next-generation biomaterials for bone-tissue regeneration: Mg-Alloys on the move. Key Eng. Mater. 2018, 778, 306–315. [Google Scholar] [CrossRef]
- Witte, F.; Kaese, V.; Haferkamp, H.; Switzer, E.; Meyer-Lindenberg, A.; Wirth, C.; Windhagen, H. In vivo corrosion of four magnesium alloys and the associated bone response. Biomaterials 2005, 26, 3557–3563. [Google Scholar] [CrossRef] [PubMed]
- Pruitt, L.A.; Chakravartula, A.M. Mechanics of Biomaterials: Fundamental Principles for Implant Design; Cambridge University Press: Cambridge, UK, 2011; ISBN 9780521762212. [Google Scholar]
- Nagels, J.; Stokdijk, M.; Rozing, P.M. Stress shielding and bone resorption in shoulder arthroplasty. J. Shoulder Elb. Surg. 2003, 12, 35–39. [Google Scholar] [CrossRef] [PubMed]
- Riggs, B.L.; Melton, L.J., III. The worldwide problem of osteoporosis: Insights afforded by epidemiology. Bone 1995, 17, 505–511. [Google Scholar] [CrossRef] [PubMed]
- Purusothaman, M.; Sasikumar, M. Processing/properties and applications of Magnesium based metal matrix composites: A review. Int. J. Intellect. Adv. Res. Eng. Comput. 2017, 5, 1995–2007. [Google Scholar]
- Krause, A.; Von Der Höh, N.; Bormann, D.; Krause, C.; Bach, F.-W.; Windhagen, H.; Meyer-Lindenberg, A. Degradation behaviour and mechanical properties of magnesium implants in rabbit tibiae. J. Mater. Sci. 2010, 45, 624–632. [Google Scholar] [CrossRef]
- Hort, N.; Huang, Y.; Fechner, D.; Störmer, M.; Blawert, C.; Witte, F.; Vogt, C.; Drücker, H.; Willumeit, R.; Kainer, K.U.; et al. Magnesium alloys as implant materials—Principles of property design for Mg-RE alloys. Acta Biomater. 2010, 6, 1714–1725. [Google Scholar] [CrossRef]
- Avedesian, M.M.; Baker, H. Magnesium and magnesium alloys. In ASM Speciality Handbook Series; ASM International: Materials Park, OH, USA, 1999; ISBN 9780871706577. [Google Scholar]
- Xu, L.; Yu, G.; Zhang, E.; Pan, F.; Yang, K. In vivo corrosion behavior of Mg-Mn-Zn alloy for bone implant application. J. Biomed. Mater. Res. 2007, 83A, 703–711. [Google Scholar] [CrossRef] [PubMed]
- Ye, C.; Xi, T.; Zheng, Y.; Wang, S.; Li, Y. In vitro corrosion and biocompatibility of phosphating modified WE43 magnesium alloy. Trans. Nonferrous Met. Soc. China 2013, 23, 996–1001. [Google Scholar] [CrossRef]
- Mao, L.; Yuan, G.; Wang, S.; Niu, J.; Wu, G.; Ding, W. A novel biodegradable Mg–Nd–Zn–Zr alloy with uniform corrosion behavior in artificial plasma. Mater. Lett. 2012, 88, 1–4. [Google Scholar] [CrossRef]
- Barylski, A.; Aniołek, K.; Dworak, M. The influence of solution treatment on the structure and mechanical and tribological properties of magnesium alloy WE54. Tribologia 2016, 3, 19–28. [Google Scholar] [CrossRef]
- Barylski, A.; Kupka, M.; Aniołek, K.; Rak, J. The effect of precipitation hardening on the structure and mechanical and tribological properties of magnesium alloy WE54. Vacuum 2017, 139, 77–86. [Google Scholar] [CrossRef]
- Barylski, A.; Aniołek, K.; Dercz, G.; Kupka, M.; Kaptacz, S. The effect of deep cryogenic treatment and precipitation hardening on the structure, micromechanical properties and wear of the Mg-Y-Nd-Zr alloy. Wear 2021, 468–469, 203587. [Google Scholar] [CrossRef]
- Barylski, A.; Aniołek, K.; Dercz, G.; Kupka, M.; Matuła, I.; Kaptacz, S. The Sclerometrical, Mechanical, and Wear Behavior of Mg-Y-Nd Magnesium Alloy after Deep Cryogenic Treatment Combined with Heat Treatment. Materials 2021, 14, 1218. [Google Scholar] [CrossRef] [PubMed]
- Barylski, A.; Aniołek, K.; Dercz, G.; Kowalewski, P.; Kaptacz, S.; Rak, J.; Kupka, M. Investigation of Micromechanical Properties and Tribological Behavior of WE43 Magnesium Alloy after Deep Cryogenic Treatment Combined with Precipitation Hardening. Materials 2021, 14, 7343. [Google Scholar] [CrossRef] [PubMed]
- Ganesan, S.; Yaghoobi, M.; Githens, A.; Chen, Z.; Daly, S.; Allison, J.; Sundararaghavan, V. The effects of heat treatment on the response of WE43 Mg alloy: Crystal plasticity finite element simulation and SEM-DIC experiment. Int. J. Plast. 2021, 137, 102917. [Google Scholar] [CrossRef]
- Bednarczyk, I.; Mrugała, A.; Tomaszewska, A. Influence of plastic deformation process on the structure and properties of alloy WE43. Arch. Metall. Mater. 2016, 61, 389–392. [Google Scholar] [CrossRef]
- Bednarczyk, I.; Kuc, D.; Tkocz, M.; Tomaszewska, A. The influence of deformation method on the microstructure and properties of magnesium alloy WE43. Arch. Metall. Mater. 2018, 63, 1975–1980. [Google Scholar] [CrossRef]
- Sankara Narayanan, T.S.N.; Park, I.S.; Lee, M.H. Surface Modification of Magnesium and Its Alloys for Biomedical Applications Volume II: Modification and Coating Techniques; Woodhead Publishing: Sawston, UK, 2015. [Google Scholar] [CrossRef]
- Sonar, T.; Lomte, S.; Gogte, C. Cryogenic Treatment of Metal—A Review. Mater. Today Proc. 2018, 5, 25219–25228. [Google Scholar] [CrossRef]
- Da Silva, F.J.; Franco, S.D.; Machado, Á.R.; Ezugwu, E.O.; Souza, A.M. Performance of cryogenically treated HSS tools. Wear 2006, 261, 674–685. [Google Scholar] [CrossRef]
- Preciado, M.; Bravo, P.M.; Alegre, J.M. Effect of Low Temperature Tempering Prior Cryogenic Treatment on Carburized Steels. J. Mater. Process. Technol. 2006, 176, 41–44. [Google Scholar] [CrossRef]
- Yao, E.; Zhang, H.; Ma, K.; Ai, C.; Gao, Q.; Lin, X. Effect of deep cryogenic treatment on microstructures and performances of aluminum alloys: A review. J. Mater. Res. Technol. 2023, 26, 3661–3675. [Google Scholar] [CrossRef]
- Barylski, A.; Aniołek, K. Effect of deep cryogenic treatment time on micromechanical and tribological properties of magnesium alloys WE43 and WE54. Tribologia 2022, 302, 7–16. [Google Scholar] [CrossRef]
- Liu, J.; Li, G.; Chen, D.; Chen, Z. Effect of Cryogenic Treatment on Deformation Behavior of As-cast AZ91 Mg Alloy. Chin. J. Aeronaut. 2012, 25, 931–936. [Google Scholar] [CrossRef]
- Amini, K.; Akhbarizadeh, A.; Javadpour, S. Investigating the Effect of Quench Environment and Deep Cryogenic Treatment on the Wear Behavior of AZ91. Mater. Des. 2014, 54, 154–160. [Google Scholar] [CrossRef]
- Dieringa, H. Influence of Cryogenic Temperatures on the Microstructure and Mechanical Properties of Magnesium Alloys: A Review. Metals 2017, 7, 38. [Google Scholar] [CrossRef]
- Jiang, Y.; Chen, Y.; Chen, Z.; Liu, J. Effect of cryogenic treatment on the microstructure and mechanical properties of AZ31 magnesium alloy. Mater. Manuf. Proc. 2010, 25, 837–841. [Google Scholar] [CrossRef]
- Jiang, Y.; Chen, D.; Jiang, Q. Effect of cryogenic thermocycling treatment on the structure and properties of magnesium alloy AZ91. Met. Sci. Heat Treat. 2012, 53, 589–591. [Google Scholar] [CrossRef]
- Liu, Y.; Shao, S.; Xu, C.-S.; Zeng, X.-S.; Yang, X.-J. Effect of cryogenic treatment on the microstructure and mechanical properties of Mg–1.5Zn–0.15Gd magnesium alloy. Mater. Sci. Eng. A 2013, 588, 76–81. [Google Scholar] [CrossRef]
- Tang, W.; Li, X.; Han, E.; Xu, Y.; Li, Y. Deformation behaviour of AZ80 wrought magnesium alloy at cryogenic temperatures. In CP824, Advances in Cryogenic Engineering: Transactions of the International Cryogenic Materials Conference-ICMC; Balachandran, U., Ed.; American Institute of Physics: Melville, NY, USA, 2006; Volume 52, pp. 176–183. [Google Scholar]
- ASTM E112-13; Standard Test Methods for Determining Average Grain Size. ASTM International: West Conshohocken, PA, USA, 2021.
- ISO 14577-1:2015; Metallic Materials—Instrumented indentation test for hardness and materials parameters—Part 1: Test Method. ISO: Geneva, Switzerland, 2015.
- Oliver, W.C.; Pharr, G.M. An improved technique for determining hardness and elastic modulus using load and displacement sensing indentation experiments. J. Mater. Res. 1992, 7, 1564–1583. [Google Scholar] [CrossRef]
- Oshida, Y. Magnesium Materials from Mountain Bikes to Degradable Bone Grafts; De Gruyter: Berlin, Germany, 2021; ISBN 978-3-11-067692-1. [Google Scholar]
- Li, J.; Jiang, X.Q. Effect of Cryogenic Treatment on the Microstructure and Mechanical Properties of AZ31 Magnesium Alloy. Mater. Sci. Forum 2011, 686, 53–56. [Google Scholar] [CrossRef]
- Liu, Y.; Shao, S.; Xu, C.; Yang, X.; Lu, D. Enhancing wear resistance of Mg-Zn-Gd alloy by cryogenic treatment. Mater. Lett. 2012, 76, 201–204. [Google Scholar] [CrossRef]








| Content of Components, wt.-% | ||||||
|---|---|---|---|---|---|---|
| Y | Zr | Zn | Mn | Cu | RE | Mg |
| 3.8 | 0.5 | 0.01 | 0.02 | 0.002 | 5.3 | Balance |
| Sample | Heat Treatment Stages | ||
|---|---|---|---|
| Solution Treatment (S) | Deep Cryogenic Treatment (DCT) | Aging (A) | |
| WE43—BZ (initial state) | - | - | - |
| WE43—BZ with DCT | - | −196 °C/24 h | - |
| WE43—S | 545 °C/8 h | - | - |
| WE43—S with DCT | 545 °C/8 h | −196 °C/24 h | - |
| WE43—S + A-175 | 545 °C/8 h | - | 175 °C/24 h |
| WE43—S + A-175 with DCT | 545 °C/8 h | −196 °C/24 h | 175 °C/24 h |
| WE43—S + A-200 | 545 °C/8 h | - | 200 °C/24 h |
| WE43—S + A-200 with DCT | 545 °C/8 h | −196 °C/24 h | 200 °C/24 h |
| WE43—S + A-225 | 545 °C/8 h | - | 225 °C/24 h |
| WE43—S + A-225 with DCT | 545 °C/8 h | −196 °C/24 h | 225 °C/24 h |
| WE43—S + A-250 | 545 °C/8 h | - | 250 °C/24 h |
| WE43—S + A-250 with DCT | 545 °C/8 h | −196 °C/24 h | 250 °C/24 h |
| Sample Designation | ASTM Grain Size Number G | Mean Grain Area SA [µm²] | Volume Fraction of Intermetallic Phases VV [%] |
|---|---|---|---|
| WE43—BZ (initial state) | 11.12 | 58 | 9.03 |
| WE43—BZ with DCT | 10.78 | 74 | 7.34 |
| WE43—S | 4.19 | 7048 | 1.84 |
| WE43—S with DCT | 4.52 | 5638 | 0.84 |
| WE43—S + A-175 | 4.10 | 7523 | 2.49 |
| WE43—S + A-175 with DCT | 4.90 | 4311 | 2.69 |
| WE43—S + A-200 | 3.89 | 8691 | 3.66 |
| WE43—S + A-200 with DCT | 4.17 | 7184 | 2.54 |
| WE43—S + A-225 | 4.28 | 6665 | 4.67 |
| WE43—S + A-225 with DCT | 4.35 | 6334 | 4.38 |
| WE43—S + A-250 | 4.21 | 6952 | 7.73 |
| WE43—S + A-250 with DCT | 4.13 | 7351 | 12.35 |
Disclaimer/Publisher’s Note: The statements, opinions and data contained in all publications are solely those of the individual author(s) and contributor(s) and not of MDPI and/or the editor(s). MDPI and/or the editor(s) disclaim responsibility for any injury to people or property resulting from any ideas, methods, instructions or products referred to in the content. |
© 2023 by the authors. Licensee MDPI, Basel, Switzerland. This article is an open access article distributed under the terms and conditions of the Creative Commons Attribution (CC BY) license (https://creativecommons.org/licenses/by/4.0/).
Share and Cite
Barylski, A.; Aniołek, K.; Dercz, G.; Matuła, I.; Rak, J.; Mazur, I. The Effect of Changes in the Aging Temperature Combined with Deep Cryogenic Treatment on the Structure, Phase Composition, and Micromechanical Properties of the WE43 Magnesium Alloy. Materials 2023, 16, 7447. https://doi.org/10.3390/ma16237447
Barylski A, Aniołek K, Dercz G, Matuła I, Rak J, Mazur I. The Effect of Changes in the Aging Temperature Combined with Deep Cryogenic Treatment on the Structure, Phase Composition, and Micromechanical Properties of the WE43 Magnesium Alloy. Materials. 2023; 16(23):7447. https://doi.org/10.3390/ma16237447
Chicago/Turabian StyleBarylski, Adrian, Krzysztof Aniołek, Grzegorz Dercz, Izabela Matuła, Jan Rak, and Izabela Mazur. 2023. "The Effect of Changes in the Aging Temperature Combined with Deep Cryogenic Treatment on the Structure, Phase Composition, and Micromechanical Properties of the WE43 Magnesium Alloy" Materials 16, no. 23: 7447. https://doi.org/10.3390/ma16237447
APA StyleBarylski, A., Aniołek, K., Dercz, G., Matuła, I., Rak, J., & Mazur, I. (2023). The Effect of Changes in the Aging Temperature Combined with Deep Cryogenic Treatment on the Structure, Phase Composition, and Micromechanical Properties of the WE43 Magnesium Alloy. Materials, 16(23), 7447. https://doi.org/10.3390/ma16237447

