Effect of Sasobit/Waste Cooking Oil Composite on the Physical, Rheological, and Aging Properties of Styrene–Butadiene Rubber (SBR)-Modified Bitumen Binders
Abstract
:1. Introduction
2. Materials and Methods
2.1. Raw Materials
2.1.1. Bitumen
2.1.2. SBR
2.1.3. Sasobit
2.1.4. WCO
2.2. Preparation Processes of Modified BBs
2.3. Physical Property Tests
2.4. Aging Tests
2.5. Low-Temperature Thermal Cracking
2.6. Temperature Sweep and Frequency Sweep Tests
3. Results and Discussion
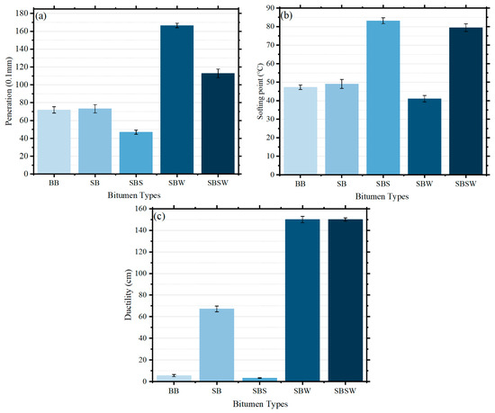
3.1. Physical Properties Test
3.2. Measurement of Short-Term Aging
3.3. Evaluation of Low-Temperature Performance
3.4. Rheological Performance
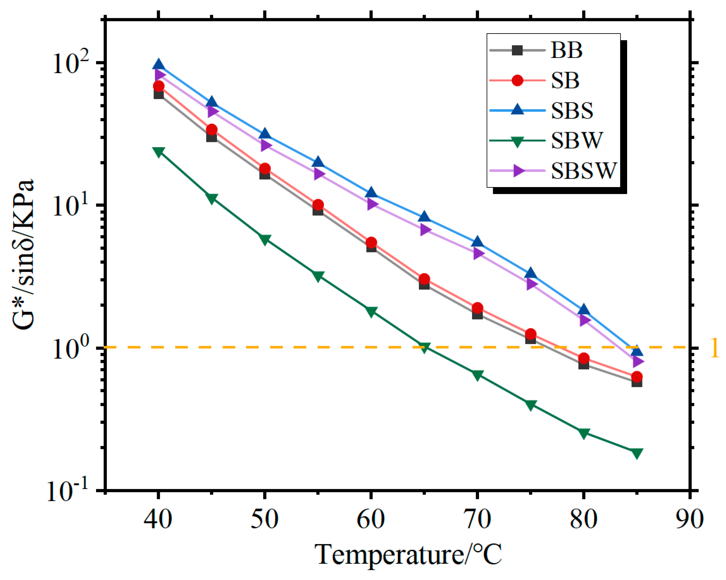
3.4.1. DSR Test Results
3.4.2. BBR Test Results
3.5. Performance Grade (PG)
4. Conclusions
- (1)
- Compared to Sasobit and WCO, Sasobit/WCO can improve SB’s performance at high and low temperatures. The combination of Sasobit and WCO not only raises the softening point of SBRBBSB by 30.4 °C but also enhances its ductility at 5 °C, increasing it from 67.2 cm to over 150 cm.
- (2)
- Before and after aging, the Sasobit/WCO compound can significantly improve the SB’s low-temperature anticracking performance. Adding Sasobit/WCO can considerably increase the SB’s short- and long-term aging resistances.
- (3)
- The mixing temperature of the SB combination can be lowered by additives like Sasobit, WCO, and Sasobit/WCO. Sasobit/WCO in particular can significantly lower the preparation temperature by 19 °C.
- (4)
- SBSW has better high-temperature PG than SB, regardless of the warm-mix effect produced by Sasobit/WCO, and Sasobit/WCO can boost SB’s resistance to high-temperature rutting and fatigue cracking. The high-temperature PG of SBSW surpasses that of SB and BB by two grades.
5. Recommendations for Future Work
Author Contributions
Funding
Institutional Review Board Statement
Informed Consent Statement
Data Availability Statement
Conflicts of Interest
References
- Budziński, B.; Ratajczak, M.; Majer, S.; Wilmański, A. Influence of bitumen grade and air voids on low-temperature cracking of asphalt. Case Stud. Constr. Mater. 2023, 19, e02255. [Google Scholar] [CrossRef]
- Ishaq, M.A.; Giustozzi, F. Correlation between rheological tests on bitumen and asphalt low temperature cracking tests. Constr. Build. Mater. 2022, 320, 126109. [Google Scholar] [CrossRef]
- Zhao, Y.; Chen, M.; Zhang, X.; Wu, S.; Zhou, X.; Jiang, Q. Effect of chemical component characteristics of waste cooking oil on physicochemical properties of aging asphalt. Constr. Build. Mater. 2022, 344, 128236. [Google Scholar] [CrossRef]
- Yang, X.; Liu, G.; Zhang, H.; Meng, Y.; Peng, C.; He, X.; Liang, J. Aging behavior of polyphosphoric acid/styrene-butadiene-styrene-modified bio-mixed asphalt based on high-temperature rheological properties and micro-scopic mechanism. Constr. Build. Mater. 2023, 389, 131691. [Google Scholar] [CrossRef]
- Fan, X.Y.; Lu, W.W.; Lv, S.T.; He, F.W. Improvement of Low-Temperature Performance of Buton Rock Asphalt Composite Modified Asphalt by Adding Styrene-Butadiene Rubber. Materials 2019, 12, 2358. [Google Scholar] [CrossRef] [PubMed]
- Ren, S.S.; Liang, M.; Fan, W.Y.; Zhang, Y.Z.; Qian, C.D.; He, Y.; Shi, J.T. Investigating the effects of SBR on the properties of gilsonite modified asphalt. Constr. Build. Mater. 2018, 190, 1103–1116. [Google Scholar] [CrossRef]
- Han, Y.; Tian, J.; Ding, J.; Shu, L.; Ni, F. Evaluating the storage stability of SBR-modified asphalt binder containing pol-yphosphoric acid (PPA). Case Stud. Constr. Mater. 2022, 17, e01214. [Google Scholar]
- Eltwati, A.; Jaya, R.P.; Mohamed, A.; Jusli, E.; Al-Saffar, Z.; Hainin, M.R.; Enieb, M. Effect of Warm Mix Asphalt (WMA) Antistripping Agent on Performance of Waste Engine Oil-Rejuvenated Asphalt Binders and Mixtures. Sustainability 2023, 15, 3807. [Google Scholar] [CrossRef]
- Zhu, C.; Zhang, H.; Xu, G.; Shi, C. Aging rheological characteristics of SBR modified asphalt with multi-dimensional nanomaterials. Constr. Build. Mater. 2017, 151, 388–393. [Google Scholar] [CrossRef]
- Li, D.; Chen, R. Investigation on physical properties and modification mechanisms of diatomite/SBR modified asphalt. PLoS ONE 2023, 18, e0286328. [Google Scholar] [CrossRef]
- Zhang, F.; Hu, C. Influence of aging on thermal behavior and characterization of SBR compound-modified asphalt. J. Therm. Anal. Calorim. 2014, 115, 1211–1218. [Google Scholar] [CrossRef]
- Ruan, Y.; Davison, R.R.; Glover, C.J. The effect of long-term oxidation on the rheological properties of polymer modified asphalts. Fuel 2003, 82, 1763–1773. [Google Scholar] [CrossRef]
- Alqahtani, M.A.; Bazuhair, R.W. Effects of Rediset Additive on the Performance of WMA at Low, Intermediate, and High Temperatures. Sustainability 2023, 15, 5471. [Google Scholar] [CrossRef]
- Wang, D.; Hu, L.; Dong, S.; You, Z.; Zhang, Q.; Hu, S.; Bi, J. Assessment of testing methods for higher temperature performance of emulsified asphalt. J. Clean. Prod. 2022, 375, 134101. [Google Scholar] [CrossRef]
- Kushwaha, P.; Chauhan, A.S. Pavement design and construction using warm mix asphalt: A bibliometric overview. Mater. Today Proc. 2023. [Google Scholar] [CrossRef]
- Sukhija, M.; Saboo, N.; Pani, A. Effect of warm mix asphalt (WMA) technologies on the moisture resistance of asphalt mixtures. Constr. Build. Mater. 2023, 369, 130589. [Google Scholar] [CrossRef]
- Zhao, Y.; Chen, M.; Wu, S.; Zhu, Y.; Zhou, X.; Yang, C.; Zhao, Z.; Zhang, J.; Chen, D. Feasibility assessment of palmitamide derived from waste edible oil as a warm mix asphalt additive. Constr. Build. Mater. 2023, 401, 132972. [Google Scholar] [CrossRef]
- Sukhija, M.; Saboo, N.; Pani, A. Economic and environmental aspects of warm mix asphalt mixtures: A comparative analysis. Transp. Res. Part D Transp. Environ. 2022, 109, 103355. [Google Scholar] [CrossRef]
- Gong, J.; Han, X.; Su, W.; Xi, Z.; Cai, J.; Wang, Q.; Li, J.; Xie, H. Laboratory evaluation of warm-mix epoxy SBS modified asphalt binders containing Sasobit. J. Build. Eng. 2020, 32, 101550. [Google Scholar] [CrossRef]
- Liu, H.; Zhang, Z.; Xie, J.; Gui, Z.; Li, N.; Xu, Y. Analysis of OMMT strengthened UV aging-resistance of Sasobit/SBS modified asphalt: Its preparation, characterization and mechanism. J. Clean. Prod. 2021, 315, 128139. [Google Scholar] [CrossRef]
- Li, Q.; Zhang, H.; Chen, Z. Improvement of short-term aging resistance of styrene-butadiene rubber modified asphalt by Sasobit and epoxidized soybean oil. Constr. Build. Mater. 2021, 271, 121870. [Google Scholar] [CrossRef]
- Liu, Z.; Sun, L.; Gu, X.; Wang, X.; Dong, Q.; Zhou, Z.; Tang, J. Characteristics, mechanisms, and environmental LCA of WMA containing sasobit: An analysis perspective combing viscosity-temperature regression and interface bonding strength. J. Clean. Prod. 2023, 391, 136255. [Google Scholar] [CrossRef]
- Zhao, Y.; Chen, M.; Wu, S.; Cao, Z.; Zhou, X. Full-component cascade utilization of waste cooking oil in asphalt materials. Constr. Build. Mater. 2023, 404, 133355. [Google Scholar] [CrossRef]
- Feng, X.; Liang, H.; Dai, Z. Rheological properties and microscopic mechanism of waste cooking oil activated waste crumb rubber modified asphalt. J. Road Eng. 2022, 2, 357–368. [Google Scholar] [CrossRef]
- Yuechao, Z.; Meizhu, C.; Shaopeng, W.; Qi, J. Rheological properties and microscopic characteristics of rejuvenated asphalt using different components from waste cooking oil. J. Clean. Prod. 2022, 370, 133556. [Google Scholar] [CrossRef]
- Yan, K.; Li, Y.; Long, Z.; You, L.; Wang, M.; Zhang, M.; Diab, A. Mechanical behaviors of asphalt mixtures modified with European rock bitumen and waste cooking oil. Constr. Build. Mater. 2022, 319, 125909. [Google Scholar] [CrossRef]
- Li, H.; Zhang, F.; Feng, Z.; Li, W.; Zou, X. Study on waste engine oil and waste cooking oil on performance improvement of aged asphalt and application in reclaimed asphalt mixture. Constr. Build. Mater. 2021, 276, 122138. [Google Scholar] [CrossRef]
- Li, R.; Bahadori, A.; Xin, J.; Zhang, K.; Muhunthan, B.; Zhang, J. Characteristics of bioepoxy based on waste cooking oil and lignin and its effects on asphalt binder, Constr. Build. Mater. 2020, 251, 118926. [Google Scholar] [CrossRef]
- Wang, D.; Baliello, A.; Poulikakos, L.; Vasconcelos, K.; Kakar, M.R.; Giancontieri, G.; Pasquini, E.; Porot, L.; Tušar, M.; Riccardi, C. Rheological properties of asphalt binder modified with waste polyethylene: An interlaboratory research from the RILEM TC WMR. Resour. Conserv. Recycl. 2022, 186, 106564. [Google Scholar] [CrossRef]
- Azahar, W.N.A.W.; Jaya, R.P.; Hainin, M.R.; Bujang, M.; Ngadi, N. Chemical modification of waste cooking oil to im-prove the physical and rheological properties of asphalt binder. Constr. Build. Mater. 2016, 126, 218–226. [Google Scholar] [CrossRef]
- Fang, Y.; Zhang, Z.; Yang, J.; Li, X. Comprehensive review on the application of bio-rejuvenator in the regeneration of waste asphalt materials. Constr. Build. Mater. 2021, 295, 123631. [Google Scholar] [CrossRef]
- Zhang, X.; Zhang, K.; Wu, C.; Liu, K.; Jiang, K. Preparation of bio-oil and its application in asphalt modification and rejuvenation: A review of the properties, practical application and life cycle assessment. Constr. Build. Mater. 2020, 262, 120528. [Google Scholar] [CrossRef]
- Büchner, J.; Wistuba, M.P.; Remmler, T.; Wang, D. On low temperature binder testing using DSR 4 mm geometry. Mater. Struct. 2019, 52, 113. [Google Scholar] [CrossRef]
- ASTM D36; Standard Test Method for Softening Point of Bitumen (Ring-and-Ball Apparatus). ASTM International: West Conshohocken, PA, USA, 2014.
- ASTM D5; Standard Test Method for Penetration of Bituminous Materials. ASTM International: West Conshohocken, PA, USA, 2013.
- ASTM D113; Standard Test Method for Ductility of Asphalt Materials. ASTM International: West Conshohocken, PA, USA, 2018.
- Meng, Y.; Liu, L.; Huang, W.; Li, M. Effect of increasing preheating temperature on the activation and aging of asphalt binder in reclaimed asphalt pavement (RAP). J. Clean. Prod. 2023, 402, 136780. [Google Scholar] [CrossRef]
- Guo, M.; Yin, X.; Du, X.; Tan, Y. Effect of aging, testing temperature and relative humidity on adhesion between asphalt binder and mineral aggregate. Constr. Build. Mater. 2023, 363, 129775. [Google Scholar] [CrossRef]
- ASTM D6521; Standard Practice for Accelerated Aging of Asphalt Binder Using a Pressurized Aging Vessel (PAV). ASTM International: West Conshohocken, PA, USA, 2013.
- ASTM D6648; Standard Test Method for Determining the Flexural Creep Stiffness of Asphalt Binder Using the Bending Beam Rheometer (BBR). ASTM International: West Conshohocken, PA, USA, 2016.
- ASTM D7175; Standard Test Method for Determining the Rheological Properties of Asphalt Binder Using a Dynamic Shear Rheometer. ASTM International: West Conshohocken, PA, USA, 2015.
- Liu, F.; Zheng, M.; Fan, X.; Li, H.; Wang, F.; Lin, X. Properties and mechanism of waterborne epoxy resin-SBR composite modified emulsified asphalt. Constr. Build. Mater. 2021, 274, 122059. [Google Scholar]
- Xu, L.; Li, X.; Zong, Q.; Xiao, F. Chemical, morphological and rheological investigations of SBR/SBS modified asphalt emulsions with waterborne acrylate and polyurethane. Constr. Build. Mater. 2021, 272, 121972. [Google Scholar] [CrossRef]
- Ge, D.; Yan, K.; You, L.; Wang, Z. Modification mechanism of asphalt modified with Sasobit and Polyphosphoric acid (PPA). Constr. Build. Mater. 2017, 143, 419–428. [Google Scholar] [CrossRef]
- Renken, P.; Büchler, S.; Falchetto, A.C.; Wang, D.; Wistuba, M.P. Warm mix asphalt—A German case study. Asph. Paving Technol. 2018, 87, 685–716. [Google Scholar] [CrossRef]
- Luo, H.; Huang, X.; Rongyan, T.; Ding, H.; Huang, J.; Wang, D.; Liu, Y.; Hong, Z. Advanced method for measuring asphalt viscosity: Rotational plate viscosity method and its application to asphalt construction temperature prediction. Constr. Build. Mater. 2021, 301, 124129. [Google Scholar] [CrossRef]
- ASTM D6373-21a; Standard Specification for Performance Graded Asphalt Binder. Annual Book of ASTM Standards 4 3-5. ASTM International: West Conshohocken, PA, USA, 1999.









| Parameter | Unit | BB | SB |
|---|---|---|---|
| Penetration (25 °C) | 0.1 mm | 71.9 | 73.1 |
| Ductility (5 °C) | cm | 5.6 | 67.2 |
| Softening point | °C | 47.3 | 49.1 |
| Properties | Unit | Results |
|---|---|---|
| Density (25 °C) | g/cm3 | 0.96 |
| Styrene content | % | 22.9 |
| Organic acids | % | 3.1 |
| pH (25 °C) | 5.8 | |
| Physical form (25 °C) | Milky fluid |
| Properties | Unit | Results |
|---|---|---|
| Density (25 °C) | g/cm3 | 0.89 |
| Viscosity (135 °C) | mPa. s | 7.23 |
| pH (25 °C) | - | 5.8 |
| Melting point | °C | 103 |
| Flash point | °C | 287 |
| Index | Unit | Test Results |
|---|---|---|
| Viscosity (25 °C) | mPa.s | 127 |
| Flash point | °C | 296 |
| Fire point | °C | 323 |
| Density | % | 0.916 |
| Bitumen | SB | SBS | SBW | SBSW |
|---|---|---|---|---|
| Mixing temperature (°C) | 169 | 156 | 154 | 150 |
| Compaction temperature (°C) | 157 | 144 | 142 | 138 |
| Bitumen Sample | PG |
|---|---|
| 163 °C RTFOT+PAV BB | PG 64-22 |
| 163 °C RTFOT+PAVSB | PG 64-22 |
| 169 °C RTFOT+PAVSB | PG 64-22 |
| 156 °C RTFOT+PAVSBS | PG 76-22 |
| 154 °C RTFOT+PAVSBW | PG 64-22 |
| 150 °C RTFOT+PAVSBSW | PG 76-22 |
| 163 °C RTFOT+PAVSBSW | PG 76-22 |
Disclaimer/Publisher’s Note: The statements, opinions and data contained in all publications are solely those of the individual author(s) and contributor(s) and not of MDPI and/or the editor(s). MDPI and/or the editor(s) disclaim responsibility for any injury to people or property resulting from any ideas, methods, instructions or products referred to in the content. |
© 2023 by the authors. Licensee MDPI, Basel, Switzerland. This article is an open access article distributed under the terms and conditions of the Creative Commons Attribution (CC BY) license (https://creativecommons.org/licenses/by/4.0/).
Share and Cite
Zhao, X.; Lu, Z.; Su, H.; Le, Q.; Zhang, B.; Wang, W. Effect of Sasobit/Waste Cooking Oil Composite on the Physical, Rheological, and Aging Properties of Styrene–Butadiene Rubber (SBR)-Modified Bitumen Binders. Materials 2023, 16, 7368. https://doi.org/10.3390/ma16237368
Zhao X, Lu Z, Su H, Le Q, Zhang B, Wang W. Effect of Sasobit/Waste Cooking Oil Composite on the Physical, Rheological, and Aging Properties of Styrene–Butadiene Rubber (SBR)-Modified Bitumen Binders. Materials. 2023; 16(23):7368. https://doi.org/10.3390/ma16237368
Chicago/Turabian StyleZhao, Xiongfei, Zhen Lu, Hengyu Su, Qiaoli Le, Bo Zhang, and Wentong Wang. 2023. "Effect of Sasobit/Waste Cooking Oil Composite on the Physical, Rheological, and Aging Properties of Styrene–Butadiene Rubber (SBR)-Modified Bitumen Binders" Materials 16, no. 23: 7368. https://doi.org/10.3390/ma16237368
APA StyleZhao, X., Lu, Z., Su, H., Le, Q., Zhang, B., & Wang, W. (2023). Effect of Sasobit/Waste Cooking Oil Composite on the Physical, Rheological, and Aging Properties of Styrene–Butadiene Rubber (SBR)-Modified Bitumen Binders. Materials, 16(23), 7368. https://doi.org/10.3390/ma16237368

