Experiments on the Dynamic Behavior of Curved Glass Panes Subjected to Low-Velocity Impact
Abstract
:1. Introduction
2. Materials and Methods
2.1. Test Specimens
2.2. Impacting Bodies
2.3. Experimental Setup
2.4. Experimental Methodology
3. Results and Discussion
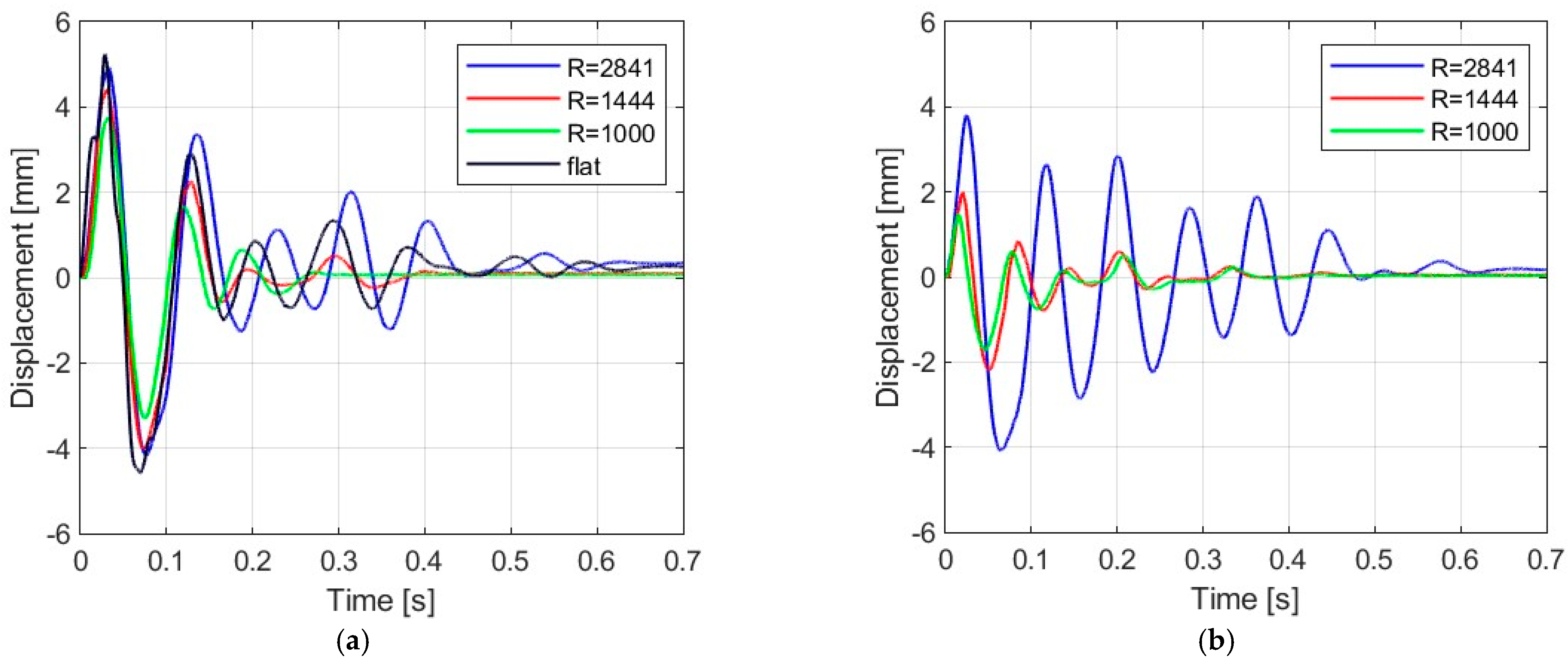
3.1. Displacement Response
3.2. Decay Time
3.3. Maximum Acceleration
4. Conclusions and Further Work
Author Contributions
Funding
Institutional Review Board Statement
Informed Consent Statement
Data Availability Statement
Acknowledgments
Conflicts of Interest
References
- Patterson, M. Structural Glass Facades and Enclosures; Wiley: Hoboken, NJ, USA, 2011. [Google Scholar]
- Centelles, X.; Castro, J.R.; Cabeza, L.F. Experimental results of mechanical, adhesive, and laminated connections for laminated glass elements—A review. Eng. Struct. 2019, 180, 192–204. [Google Scholar] [CrossRef]
- Citherlet, S.; Di Guglielmo, F.; Gay, J.-B. Window and advanced glazing systems life cycle assessment. Energy Build. 2000, 32, 225–234. [Google Scholar] [CrossRef]
- Kosić, T.; Svetel, I.; Cekić, Z. Complexity of Curved Glass Structures. In IOP Conference Series: Materials Science and Engineering; IOP Publishing: Bristol, UK, 2017; Volume 262. [Google Scholar] [CrossRef]
- Pini, V.; Ruz, J.J.; Kosaka, P.M.; Malvar, O.; Calleja, M.; Tamayo, J. How two-dimensional bending can extraordinarily stiffen thin sheets. Sci. Rep. 2016, 6, 29627. [Google Scholar] [CrossRef]
- Aşık, M.Z.; Dural, E.; Yetmez, M.; Uzhan, T. A mathematical model for the behavior of laminated uniformly curved glass beams. Compos. Part B Eng. 2014, 58, 593–604. [Google Scholar] [CrossRef]
- Kozłowski, M.; Respondek, Z.; Cornik, D.; Wiśniowski, M.; Zemła, K. Influence of curvature and geometrical parameters on internal pressure in cylindrical Insulating Glass Units. Thin-Walled Struct. 2023, 188, 110812. [Google Scholar] [CrossRef]
- Kozłowski, M.; Zemła, K. Numerical Modelling of Structural Behaviour of Curved Insulating Glass Units. Mater. Proc. 2023, 13, 12. [Google Scholar] [CrossRef]
- Kozłowski, M. Experimental and numerical assessment of structural behaviour of glass balustrade subjected to soft body impact. Compos. Struct. 2019, 229, 111380. [Google Scholar] [CrossRef]
- Schneider, J. Impact Loading on Glass Panes by Soft Body Impact—Theoretical Analysis and Experimental Verification. Proc. Glass Process. Days 2001, 5, 682–687. [Google Scholar]
- Kozłowski, M.; Kinsella, D.; Persson, K.; Kubica, J.; Hulimka, J. Structural Analysis of Slender Glass Panel Subjected to Static and Impact Loading. In Challenging Glass Conference Proceedings; Stichting: Rotterdam, NL, USA, 2018; pp. 427–434. [Google Scholar] [CrossRef]
- Ramkumar, R.L.; Thakar, Y.R. Dynamic Response of Curved Laminated Plates Subjected to Low Velocity Impact. J. Eng. Mater. Technol. 1987, 109, 67–71. [Google Scholar] [CrossRef]
- Christoforou, A.P.; Swanson, S.R. Analysis of Simply-Supported Orthotropic Cylindrical Shells Subject to Lateral Impact Loads. J. Appl. Mech. 1990, 57, 376–382. [Google Scholar] [CrossRef]
- Lin, H.J.; Lee, Y.J. Impact-Induced Fracture in Laminated Plates and Shells. J. Compos. Mater. 1990, 24, 1179–1199. [Google Scholar] [CrossRef]
- Palazotto, A.; Perry, R.; Sandhu, R. Impact response of graphite/epoxy cylindrical panels. AIAA J. 1992, 30, 1827–1832. [Google Scholar] [CrossRef]
- Kim, S.J.; Goo, N.S.; Kim, T.W. The effect of curvature on the dynamic response and impact-induced damage in composite laminates. Compos. Sci. Technol. 1997, 57, 763–773. [Google Scholar] [CrossRef]
- Ferreira, L.M.; Coelho, C.A.C.P.; Reis, P.N.B. Numerical Simulations of the Low-Velocity Impact Response of Semicylindrical Woven Composite Shells. Materials 2023, 16, 3442. [Google Scholar] [CrossRef] [PubMed]
- Reis, P.N.B.; Sousa, P.; Ferreira, L.M.; Coelho, C.A.C.P. Multi-impact response of semicylindrical composite laminated shells with different thicknesses. Compos. Struct. 2023, 310, 116771. [Google Scholar] [CrossRef]
- Sukhanova, O.; Larin, O.; Naumenko, K.; Altenbach, H. Dynamics of Curved Laminated Glass Composite Panels Under Impact Loading. In Nonlinear Mechanics of Complex Structures, Advanced Structured Materials; Altenbach, H., Amabili, M., Mikhlin, Y.V., Eds.; Springer International Publishing: Cham, Switzerland, 2021; pp. 91–101. [Google Scholar] [CrossRef]
- Galuppi, L.; Royer-Carfagni, G. Analytical approach à la Newmark for curved laminated glass. Compos. Part B Eng. 2015, 76, 65–78. [Google Scholar] [CrossRef]
- Sukhanova, O.; Larin, O. Linear dynamic properties in curved laminated glasses. Bull. Natl. Tech. Univ. KhPI Ser. Dyn. Strength Mach. 2021, 1, 44–47. [Google Scholar] [CrossRef]
- Altec Inc. Technical Documentation for the QACQ Family of Monitoring and Recording Modules; Altec Inc.: Birmingham, AL, USA, 2021. [Google Scholar]
- HBM. Operating Manual; QUANTUM X; HBM: Marlboro, MA, USA, 2021. [Google Scholar]
- HBM. Operating Manual; Catman; HBM: Marlboro, MA, USA, 2023. [Google Scholar]
- Altec Inc. VIDIA Cloud. User Manual; Altec Inc.: Birmingham, AL, USA, 2021. [Google Scholar]
- Suchecka, N. Analiza Odpowiedzi Dynamicznej Szklanych Tafli Płaskich i Giętych na Uderzenie Ciał o Różnych Właściwościach (Analysis of the Dynamic Response of Flat and Bent Glass Panes to the Impact of Bodies with Various Properties); Silesian University of Technology: Gliwice, Poland, 2023. [Google Scholar]
- EAD 210005-00-0505; Internal Partition Kits for Use as Non-Load Bearing Walls. Notified Bodies for Regulation EP and Council (EC): Brussels, Belgium, 2019.
- Diehl, T.; Carroll, D.; Nagaraj, B.K. Using Digital Signal Processing (DSP) to Significantly Improve the Interpretation of ABAQUS/Explicit Results. In Proceedings of the ABAQUS User’s Conference, Chester, UK, 25–28 May 1999. [Google Scholar]

















| Impactor | Mass of Impactor [g] | % of Glass Weight | Diameter [mm] |
|---|---|---|---|
| Steel ball | 510.25 | 4.08 | 50 |
| Basketball | 483.35 | 3.87 | 220 |
| Rubber ball filled with sand | 891.24 | 7.13 | 107 |
| Fabric bag filled with peas | 506.24 | 4.05 | 104/120 1 |
| Impactor | Mass [g] | Drop Height Derived Analytically [m] |
|---|---|---|
| Steel ball | 510.25 | 0.499 |
| Basketball | 483.35 | 0.545 |
| Rubber ball filled with sand | 891.24 | 0.287 |
| Fabric bag filled with peas | 506.24 | 0.510 |
| Impacting Body | Flat Pane | SS 1 | RM 2 | SS | RM | SS | RM | |
|---|---|---|---|---|---|---|---|---|
| Steel ball | Max. | 2.82 ± 0.02 | 3.85 ± 0.02 | 2.91 ± 0.01 | 3.52 ± 0.02 | 1.87 ± 0.01 | 3.25 ± 0.02 | 1.46 ± 0.02 |
| Min. | −3.09 ± 0.03 | −3.03 ± 0.02 | −3.32 ± 0.03 | −2.89 ± 0.02 | −1.93 ± 0.02 | −2.26 ± 0.04 | −2.07 ± 0.02 | |
| Rubber ball filled with sand | Max. | 5.29 ± 0.05 | 4.93 ± 0.07 | 3.82 ± 0.03 | 4.34 ± 0.06 | 1.97 ± 0.02 | 3.74 ± 0.04 | 1.47 ± 0.02 |
| Min. | −4.62 ± 0.05 | −4.31 ± 0.11 | −4.10 ± 0.03 | −3.93 ± 0.09 | −2.13 ± 0.05 | −3.21 ± 0.07 | −1.67 ± 0.05 | |
| Fabric bag filled with peas | Max. | 2.95 ± 0.06 | 2.21 ± 0.04 | 2.12 ± 0.01 | 2.33 ± 0.02 | 1.06 ± 0.02 | 2.07 ± 0.03 | 0.91 ± 0.01 |
| Min. | −2.10 ± 0.05 | −2.07 ± 0.05 | −1.83 ± 0.02 | −1.78 ± 0.02 | −0.61 ± 0.02 | −1.31 ± 0.02 | −0.55 ± 0.01 | |
| Basketball | Max. | 4.97 ± 0.02 | 5.11 ± 0.05 | 4.04 ± 0.03 | 4.81 ± 0.06 | 2.29 ± 0.01 | 4.47 ± 0.12 | 1.73 ± 0.01 |
| Min. | −5.25 ± 0.02 | −4.60 ± 0.04 | −4.63 ± 0.02 | −4.31 ± 0.05 | −3.16 ± 0.02 | −3.54 ± 0.12 | −3.11 ± 0.01 |
| Impacting Body | Flat Pane | R = 2821 mm | R = 1444 mm | R = 1000 mm | |||
|---|---|---|---|---|---|---|---|
| SS 1 | RM 2 | SS | RM | SS | RM | ||
| Steel ball | 1.64 ± 0.01 | 0.42 ± 0.03 | 0.49 ± 0.02 | 0.35 ± 0.02 | 0.45 ± 0.07 | 0.28 ± 0.01 | 0.41 ± 0.01 |
| Rubber ball filled with sand | 0.88 ± 0.04 | 0.71 ± 0.01 | 0.69 ± 0.02 | 0.38 ± 0.01 | 0.67 ± 0.03 | 0.29 ± 0.02 | 0.63 ± 0.01 |
| Fabric bag filled with peas | 1.51 ± 0.01 | 0.50 ± 0.01 | 0.42 ± 0.01 | 0.23 ± 0.01 | 0.39 ± 0.03 | 0.15 ± 0.01 | 0.15 ± 0.01 |
| Basketball | 1.66 ± 0.01 | 0.67 ± 0.01 | 0.64 ± 0.01 | 0.42 ± 0.01 | 0.43 ± 0.03 | 0.26 ± 0.01 | 0.27 ± 0.01 |
| Impacting Body | Flat Pane | R = 2821 mm | R = 1444 mm | R = 1000 mm | |||
|---|---|---|---|---|---|---|---|
| SS 1 | RM 2 | SS | RM | SS | RM | ||
| Steel ball | 2476 ± 88 | 2934 ± 99 | 2506 ± 293 | 2241 ± 47 | 2122 ± 31 | 2650 ± 363 | 2552 ± 390 |
| Rubber ball filled with sand | 311 ± 30 | 162 ± 13 | 308 ± 47 | 202 ± 10 | 228 ± 8 | 226 ± 3 | 261 ± 22 |
| Fabric bag filled with peas | 640 ± 195 | 706 ± 111 | 940 ± 58 | 515 ± 33 | 440 ± 29 | 871 ± 141 | 1052 ± 157 |
| Basketball | 776 ± 24 | 321 ± 86 | 510 ± 122 | 213 ± 12 | 501 ± 41 | 449 ± 104 | 593 ± 75 |
Disclaimer/Publisher’s Note: The statements, opinions and data contained in all publications are solely those of the individual author(s) and contributor(s) and not of MDPI and/or the editor(s). MDPI and/or the editor(s) disclaim responsibility for any injury to people or property resulting from any ideas, methods, instructions or products referred to in the content. |
© 2023 by the authors. Licensee MDPI, Basel, Switzerland. This article is an open access article distributed under the terms and conditions of the Creative Commons Attribution (CC BY) license (https://creativecommons.org/licenses/by/4.0/).
Share and Cite
Kozłowski, M.; Zemła, K. Experiments on the Dynamic Behavior of Curved Glass Panes Subjected to Low-Velocity Impact. Materials 2023, 16, 7335. https://doi.org/10.3390/ma16237335
Kozłowski M, Zemła K. Experiments on the Dynamic Behavior of Curved Glass Panes Subjected to Low-Velocity Impact. Materials. 2023; 16(23):7335. https://doi.org/10.3390/ma16237335
Chicago/Turabian StyleKozłowski, Marcin, and Kinga Zemła. 2023. "Experiments on the Dynamic Behavior of Curved Glass Panes Subjected to Low-Velocity Impact" Materials 16, no. 23: 7335. https://doi.org/10.3390/ma16237335
APA StyleKozłowski, M., & Zemła, K. (2023). Experiments on the Dynamic Behavior of Curved Glass Panes Subjected to Low-Velocity Impact. Materials, 16(23), 7335. https://doi.org/10.3390/ma16237335

