Developing Creep and Stress Relaxation Models to Assess the Service Life of an Additive Manufactured Industrial-Scale Recuperator Utilizing Inconel 625 and AISI 310S Materials
Abstract
:1. Introduction
2. Materials and Methods
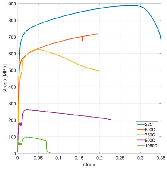
2.1. Material Description
2.2. FEA Model Set Up
- is the thermal expansion coefficient of the material of the recuperator at room temperature.
- is the thermal expansion coefficient of the material of the flanges at room temperature, which is considered , which is the thermal expansion coefficient of typical steel according to ANSYS material database.
- is the temperature rise at the cross section, which is equal to at the roller support and at the radial support.

2.3. Creep Models
2.3.1. Creep and Stress Relaxation
2.3.2. Creep Models of AM-Fabricated Materials
3. Results
3.1. Static Structural
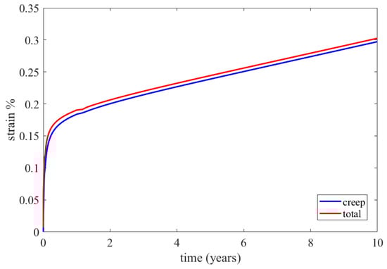
3.2. Creep and Stress Relaxation
3.2.1. Inconel 625 Results
3.2.2. AISI 310S Results
4. Conclusions
- The mechanical properties of the material were determined using both experimental data from the tensile tests and the literature;
- An FEA model was set up with the appropriate geometry model, boundary conditions, and mesh;
- The stress relaxation/creep deformation material models were constructed using both experimental data from the creep tests and data from the literature;
- Creep and stress relaxation simulations were conducted for every material, with a simulation time of 10 years. This data proved to be sufficient to identify the thermomechanical response of the recuperator and make predictions about its service life;
- The obtained creep strain curves from the FEA simulation were fitted with a function derived by genetic algorithm techniques. Hence, an analytical expression of the creep strain as a function of time was obtained;
- Failure criteria were set based on the experimental data, and the lifespan of the recuperator was estimated.
Author Contributions
Funding
Institutional Review Board Statement
Informed Consent Statement
Data Availability Statement
Conflicts of Interest
Appendix A. Mechanical Properties
Appendix A.1. 310 Stainless Steel Continuous Material Model


| Temperature (°C) | Young’s Modulus X Direction (MPa) | Young’s Modulus Y Direction (MPa) | Young’s Modulus Z Direction (MPa) | Poisson’s Ratio XY | Poisson’s Ratio YZ | Poisson’s Ratio XZ | Shear Modulus XY (MPa) | Shear Modulus YZ (MPa) | Shear Modulus XZ (MPa) |
|---|---|---|---|---|---|---|---|---|---|
| 20 | 165,000 | 165,000 | 159,800 | 0.25 | 0.25 | 0.25 | 6.39 × 104 | 6.6 × 104 | 6.6 × 104 |
| 600 | 77,400 | 77,400 | 75,000 | 0.32 | 0.32 | 0.32 | 2.84 × 104 | 2.93 × 104 | 2.93 × 104 |
| 750 | 40,000 | 40,000 | 38,768 | 0.3 | 0.3 | 0.3 | 1.49 × 104 | 1.54 × 104 | 1.54 × 104 |
| 900 | 13,000 | 13,000 | 12,563 | 0.24 | 0.24 | 0.24 | 5.07 × 103 | 5.24 × 103 | 5.24 × 103 |
| 1050 | 9090 | 9090 | 8803 | 0.24 | 0.24 | 0.24 | 3.55 × 103 | 3.67 × 103 | 3.67 × 103 |


Appendix A.2. 310 Stainless Steel Pulsed Material Model


| Tempe-rature (C) | Young’s Modulus X Direction (MPa) | Young’s Modulus Y Direction (MPa) | Young’s Modulus Z Direction (MPa) | Poisson’s Ratio XY | Poisson’s Ratio YZ | Poisson’s Ratio XZ | Shear Modulus XY (MPa) | Shear Modulus YZ (MPa) | Shear Modulus XZ (MPa) |
|---|---|---|---|---|---|---|---|---|---|
| 20 | 173,789 | 173,789 | 151,454 | 0.25 | 0.25 | 0.25 | 6.06 × 104 | 6.95 × 104 | 6.95 × 104 |
| 600 | 150,000 | 150,000 | 131,000 | 0.32 | 0.32 | 0.32 | 4.96 × 104 | 5.68 × 104 | 5.68 × 104 |
| 750 | 112,000 | 112,000 | 98,000 | 0.3 | 0.3 | 0.3 | 3.77 × 104 | 4.31 × 104 | 4.31 × 104 |
| 900 | 76,600 | 76,600 | 66,795.56 | 0.24 | 0.24 | 0.24 | 2.69 × 104 | 3.09 × 104 | 3.09 × 104 |
| 1050 | 21,900 | 21,900 | 19,070 | 0.24 | 0.24 | 0.24 | 7.69 × 103 | 8.83 × 103 | 8.83 × 103 |


Appendix A.3. Inconel 625 Continuous Material Model


| Temperature (°C) | Young’s Modulus X Direction (MPa) | Young’s Modulus Y Direction (MPa) | Young’s Modulus Z Direction (MPa) | Poisson’s Ratio XY | Poisson’s Ratio YZ | Poisson’s Ratio XZ | Shear Modulus XY (MPa) | Shear Modulus YZ (MPa) | Shear Modulus XZ (MPa) |
|---|---|---|---|---|---|---|---|---|---|
| 22 | 167,610 | 167,610 | 164,259 | 0.278 | 0.278 | 0.278 | 64,264.08 | 65,575.12 | 65,575.12 |
| 600 | 155,333.6 | 155,333.6 | 152,228 | 0.305 | 0.305 | 0.305 | 58,324.9 | 59,514.77 | 59,514.77 |
| 750 | 122,872.6 | 122,872.6 | 120,416 | 0.33 | 0.33 | 0.33 | 45,269.17 | 46,192.7 | 46,192.7 |
| 900 | 71,734.17 | 71,734.17 | 70,300 | 0.33 | 0.33 | 0.33 | 26,428.57 | 26,967.73 | 26,967.73 |
| 1050 | 46,938.43 | 46,938.43 | 46,000 | 0.33 | 0.33 | 0.33 | 17,293.23 | 17,646.03 | 17,646.03 |


Appendix A.4. Inconel 625 Pulsed Material Model


| Temperature (°C) | Young’s Modulus X Direction (MPa) | Young’s Modulus Y Direction (MPa) | Young’s Modulus Z Direction (MPa) | Poisson’s Ratio XY | Poisson’s Ratio YZ | Poisson’s Ratio XZ | Shear Modulus XY (MPa) | Shear Modulus YZ (MPa) | Shear Modulus XZ (MPa) |
|---|---|---|---|---|---|---|---|---|---|
| 20 | 178,750.8 | 178,750.8 | 152,202.7 | 0.278 | 0.278 | 0.278 | 5.95 × 104 | 6.99 × 104 | 6.99 × 104 |
| 600 | 182,907.5 | 182,907.5 | 155,742 | 0.305 | 0.305 | 0.305 | 5.97 × 104 | 7.01 × 104 | 7.01 × 104 |
| 750 | 161,146.6 | 161,146.6 | 137,213 | 0.33 | 0.33 | 0.33 | 5.16 × 104 | 6.06 × 104 | 6.06 × 104 |
| 900 | 88,081.98 | 88,081.98 | 75,000 | 0.33 | 0.33 | 0.33 | 2.82 × 104 | 3.31 × 104 | 3.31 × 104 |
| 1050 | 149551.5 | 149,551.5 | 127,340 | 0.33 | 0.33 | 0.33 | 4.79 × 104 | 5.62 × 104 | 5.62 × 104 |


References
- Jouhara, H.; Khordehgah, N.; Almahmoud, S.; Delpech, B.; Chauhan, A.; Tassou, S.A. Waste heat recovery technologies and applications. Therm. Sci. Eng. Prog. 2018, 6, 268–289. [Google Scholar] [CrossRef]
- Liao, P.; Zhang, Y.; Zhou, G.; Zhang, X.; Jiang, W.; Tu, S. Creep life assessment of aero-engine recuperator based on continuum damage mechanics approach. Front. Mech. Eng. 2022, 17, 4. [Google Scholar] [CrossRef]
- Blum, W.; Eisenlohr, P.; Breutinger, F. Understanding creep—A review. Metall. Mater. Trans. A 2002, 33, 291–303. [Google Scholar] [CrossRef]
- Obukhov, A.S. The relationship between stress and deformation of polymers in the linear stress state. Polym. Mech. 1965, 1, 16–18. [Google Scholar] [CrossRef]
- Marshall, M.; Akbari, M.; Zhao, J.-C.; Hoopes, K. Design of an Additively Manufactured Recuperator with 800 °C Inlet Temperature for sCO2 Power Cycle Application. J. Eng. Gas Turbines Power 2023, 145, 2. [Google Scholar] [CrossRef]
- Gerstler, W.D.; Barua, A.; Huang, S.; Erno, D.J.; Wang, Y.; Ju, S.; Thiagarajan, N. Binder Jet Additive Manufacturing Process and Material Characterization for High Temperature Heat Exchangers Used in Concentrated Solar Power Applications. Metals 2023, 13, 617. [Google Scholar] [CrossRef]
- Ding, D.; Pan, Z.; Cuiuri, D.; Li, H. Wire-feed additive manufacturing of metal components: Technologies, developments and future interests. Int. J. Adv. Manuf. Technol. 2015, 81, 465–481. [Google Scholar] [CrossRef]
- DebRoy, T.; Wei, H.L.; Zuback, J.S.; Mukherjee, T.; Elmer, J.W.; Milewski, J.O.; Beese, A.M.; Wilson-Heid, A.; De, A.; Zhang, W. Additive manufacturing of metallic components–Process, structure and properties. Prog. Mater. Sci. 2018, 92, 112–224. [Google Scholar] [CrossRef]
- Calleja-Ochoa, A.; Gonzalez-Barrio, H.; de Lacalle, N.L.; Martínez, S.; Albizuri, J.; Lamikiz, A. A New Approach in the Design of Microstructured Ultralight Components to Achieve Maximum Functional Performance. Materials 2021, 14, 1588. [Google Scholar] [CrossRef]
- King, W.E.; Anderson, A.T.; Ferencz, R.M.; Hodge, N.E.; Kamath, C.; Khairallah, S.A.; Rubenchik, A.M. Laser powder bed fusion additive manufacturing of metals; physics, computational, and materials challenges. Appl. Phys. Rev. 2015, 2, 041304. [Google Scholar] [CrossRef]
- Kanagarajah, P.; Brenne, F.; Niendorf, T.; Maier, H.J. Inconel 939 processed by selective laser melting: Effect of microstructure and temperature on the mechanical properties under static and cyclic loading. Mater. Sci. Eng. A 2013, 588, 188–195. [Google Scholar] [CrossRef]
- Trosch, T.; Strößner, J.; Völkl, R.; Glatzel, U. Microstructure and mechanical properties of selective laser melted Inconel 718 compared to forging and casting. Mater. Lett. 2016, 164, 428–431. [Google Scholar] [CrossRef]
- Yadroitsev, I.; Thivillon, L.; Bertrand, P.; Smurov, I. Strategy of manufacturing components with designed internal structure by selective laser melting of metallic powder. Appl. Surf. Sci. 2007, 254, 980–983. [Google Scholar] [CrossRef]
- Badrish, C.A.; Kotkunde, N.; Salunke, O.; Singh, S.K. Study of Anisotropic Material Behavior for Inconel 625 Alloy at Elevated Temperatures. Mater. Today Proc. 2019, 18, 2760–2766. [Google Scholar] [CrossRef]
- Leary, M.; Mazur, M.; Williams, H.; Yang, E.; Alghamdi, A.; Lozanovski, B.; Zhang, X.; Shidid, D.; Farahbod-Sternahl, L.; Witt, G.; et al. Inconel 625 lattice structures manufactured by selective laser melting (SLM): Mechanical properties, deformation and failure modes. Mater. Des. 2018, 157, 179–199. [Google Scholar] [CrossRef]
- Astafurov, S.; Astafurova, E. Phase Composition of Austenitic Stainless Steels in Additive Manufacturing: A Review. Metals 2021, 11, 1052. [Google Scholar] [CrossRef]
- Introducing 3D Printed Inconel 625, Markforged. Available online: https://markforged.com/resources/blog/introducing-3d-printed-inconel (accessed on 14 March 2022).
- 3D Printing in Inconel, In718, In625, Nickel Alloy X, Haynes 282|3d-alchemy.co.uk|3D Printing Service. Available online: https://www.3d-alchemy.co.uk/3d-printing-in-iconel.html (accessed on 14 March 2022).
- Son, K.-T.; Phan, T.; Levine, L.; Kim, K.-S.; Lee, K.-A.; Ahlfors, M.; Kassner, M. The Creep and Fracture Properties of Additively Manufactured Inconel 625. Materialia 2021, 15, 101021. [Google Scholar] [CrossRef]
- Tolosa, I.; Garciandía, F.; Zubiri, F.; Zapirain, F.; Esnaola, A. Study of mechanical properties of AISI 316 stainless steel processed by ‘selective laser melting’, following different manufacturing strategies. Int. J. Adv. Manuf. Technol. 2010, 51, 639–647. [Google Scholar] [CrossRef]
- Mukherjee, A.K.; Bird, J.E.; Dorn, J.E. Experimental Correlations for High-Temperature Creep; UCRL-18526; CONF-681018-2; California Univ., Berkeley. Lawrence Radiation Lab.: Berkeley, CA, USA, 1968. Available online: https://www.osti.gov/biblio/4807278-experimental-correlations-high-temperature-creep (accessed on 14 March 2022).
- McLean, D. The physics of high temperature creep in metals. Rep. Prog. Phys. 1966, 29, 1. [Google Scholar] [CrossRef]
- Harmathy, T.Z. A Comprehensive Creep Model. J. Basic Eng. 1967, 89, 496–502. [Google Scholar] [CrossRef]
- Junisbekov, T.M.; Kestel’man, V.N.; Malinin, N.I. Stress Relaxation in Viscoelastic Materials; Science Publishing Corporation: Ras al Khaimah, United Arab Emirates; Available online: https://books.google.gr/books/about/Stress_Relaxation_in_Viscoelastic_Materi.html?id=NQFEAQAAIAAJ&redir_esc=y (accessed on 14 March 2022).
- Chandler, H.D. A comparison between steady state creep and stress relaxation in copper. Mater. Sci. Eng. A 2010, 527, 6219–6223. [Google Scholar] [CrossRef]
- Guest, D.E. FEA Simulation: How to Model Creep Response and Stress Relaxation. Digital Engineering, 16 February 2015. Available online: https://www.digitalengineering247.com/article/fea-simulation-model-creep-response-stress-relaxation (accessed on 15 March 2022).
- mt_alloys-nl87-3-16.pdf. Available online: https://materion.com/-/media/files/alloy/newsletters/technical-tidbits/mt_alloys-nl87-3-16.pdf (accessed on 15 March 2022).
- Comparative Study of Creep and Stress Relaxation Behavior for 7055 Aluminum Alloy|Scientific.Net. Available online: https://www.scientific.net/AMR.314-316.772 (accessed on 14 March 2022).
- Sorzia, A. Modelling of Creep and Stress Relaxation Test of a Polypropylene Microfibre by Using Fraction-Exponential Kernel. Model. Simul. Eng. 2016, 2016, 3823047. [Google Scholar] [CrossRef]
- Liu, P.; Zong, Y.; Shan, D.; Guo, B. Relationship between constant-load creep, decreasing-load creep and stress relaxation of titanium alloy. Mater. Sci. Eng. A 2015, 638, 106–113. [Google Scholar] [CrossRef]
- Frost, H.J.; Ashby, M.F. Deformation Mechanism Maps: The Plasticity and Creep of Metals and Ceramics; Pergamon Press: Oxford, UK, 1982; Available online: http://publications.eng.cam.ac.uk/372960/ (accessed on 24 January 2022).
- Moore, I.J.; Taylor, J.I.; Tracy, M.W.; Burke, M.G.; Palmiere, E.J. Grain coarsening behaviour of solution annealed Alloy 625 between 600–800 °C. Mater. Sci. Eng. A 2017, 682, 402–409. [Google Scholar] [CrossRef]
- de Oliveira, M.M.; Couto, A.A.; Almeida, G.F.C.; Reis, D.A.P.; de Lima, N.B.; Baldan, R. Mechanical Behavior of Inconel 625 at Elevated Temperatures. Metals 2019, 9, 301. [Google Scholar] [CrossRef]
- Graça, S.; Colaço, R.; Carvalho, P.A.; Vilar, R. Determination of dislocation density from hardness measurements in metals. Mater. Lett. 2008, 62, 3812–3814. [Google Scholar] [CrossRef]
- Athul, K.R.; Pillai, U.T.S.; Srinivasan, A.; Pai, B.C. A Review of Different Creep Mechanisms in Mg Alloys Based on Stress Exponent and Activation Energy. Adv. Eng. Mater. 2016, 18, 770–794. [Google Scholar] [CrossRef]
- Contin, A.; Bueno, L. Creep Behavior of type 310 stainless steel. part 1: Parameters from the norton, arrhenius and monkman-grant relations. In Proceedings of the 68th ABM International Annual Congress, Belo Horizonte, Brazil, 30 July–2 August 2013. [Google Scholar]































| Element | Al | Co | Cr | Fe | Mn | Mo | Nb | Ni | P | Si | Ti |
|---|---|---|---|---|---|---|---|---|---|---|---|
| wt (%) | 0.04 | 0.02 | 21.55 | 3.11 | <0.01 | 9.00 | 4.00 | Bal. | 0.006 | 0.03 | 0.01 |
| Element | Fe | Cr | Ni | Mn | Si | Al |
|---|---|---|---|---|---|---|
| wt (%) | 50.77 | 25.97 | 19.3 | 2.03 | 1.57 | 0.3 |
| Initial Diameter | Initial Length | Duration (h) | Stress (MPa) | Temperature (°C) | Strain Rate (%/h) | |
|---|---|---|---|---|---|---|
| sample 1 | 5.62 | 29.80 | 143 | 400 | 650 | 9.97 × 10−2 |
| sample 2 | 5.62 | 29.83 | 220 | 60 | 900 | 3.11 × 10−3 |
| sample 3 | 5.61 | 29.87 | 230 | 30 | 980 | 1.14 × 10−3 |
| sample 4 | 5.63 | 29.90 | 1547 | 20 | 980 | 4.21 × 10−4 |
| sample 5 | 5.63 | 29.88 | 2052 | 40 | 900 | 4.62 × 10−4 |
| Initial Diameter | Initial Length | Duration (h) | Stress (MPa) | Temperature (°C) | Strain Rate (%/h) | |
|---|---|---|---|---|---|---|
| sample 6 | 5.62 | 29.87 | 2316 | 100 | 650 | 8.961 × 10−4 |
| sample 7 | 5.62 | 29.89 | 163 | 30 | 900 | 3.739 × 10−2 |
| sample 8 | 5.61 | 29.88 | 384 | 20 | 900 | 1.246 × 10−2 |
| sample 9 | 5.61 | 29.86 | 60 | 20 | 980 | 8.205 × 10−2 |
| sample 10 | 5.62 | 29.89 | 238 | 10 | 980 | 2.492 × 10−2 |
Disclaimer/Publisher’s Note: The statements, opinions and data contained in all publications are solely those of the individual author(s) and contributor(s) and not of MDPI and/or the editor(s). MDPI and/or the editor(s) disclaim responsibility for any injury to people or property resulting from any ideas, methods, instructions or products referred to in the content. |
© 2023 by the authors. Licensee MDPI, Basel, Switzerland. This article is an open access article distributed under the terms and conditions of the Creative Commons Attribution (CC BY) license (https://creativecommons.org/licenses/by/4.0/).
Share and Cite
Papalexis, C.; Rakopoulos, D.; Nikolopoulos, N.; Della Rocca, A.; Jochler, G.; Tassa, O.; Kalligeros, C.; Tzouganakis, P.; Spitas, V. Developing Creep and Stress Relaxation Models to Assess the Service Life of an Additive Manufactured Industrial-Scale Recuperator Utilizing Inconel 625 and AISI 310S Materials. Materials 2023, 16, 7226. https://doi.org/10.3390/ma16227226
Papalexis C, Rakopoulos D, Nikolopoulos N, Della Rocca A, Jochler G, Tassa O, Kalligeros C, Tzouganakis P, Spitas V. Developing Creep and Stress Relaxation Models to Assess the Service Life of an Additive Manufactured Industrial-Scale Recuperator Utilizing Inconel 625 and AISI 310S Materials. Materials. 2023; 16(22):7226. https://doi.org/10.3390/ma16227226
Chicago/Turabian StylePapalexis, Christos, Dimitrios Rakopoulos, Nikolaos Nikolopoulos, Alessandro Della Rocca, Guido Jochler, Oriana Tassa, Christos Kalligeros, Panteleimon Tzouganakis, and Vasilios Spitas. 2023. "Developing Creep and Stress Relaxation Models to Assess the Service Life of an Additive Manufactured Industrial-Scale Recuperator Utilizing Inconel 625 and AISI 310S Materials" Materials 16, no. 22: 7226. https://doi.org/10.3390/ma16227226
APA StylePapalexis, C., Rakopoulos, D., Nikolopoulos, N., Della Rocca, A., Jochler, G., Tassa, O., Kalligeros, C., Tzouganakis, P., & Spitas, V. (2023). Developing Creep and Stress Relaxation Models to Assess the Service Life of an Additive Manufactured Industrial-Scale Recuperator Utilizing Inconel 625 and AISI 310S Materials. Materials, 16(22), 7226. https://doi.org/10.3390/ma16227226

