Largely Enhanced Thermoelectric Power Factor of Flexible Cu2−xS Film by Doping Mn
Abstract
:1. Introduction
2. Experimental Section
2.1. Sample Synthesis
2.2. Assembly of the f-TEG
2.3. Characterization and Property Measurement
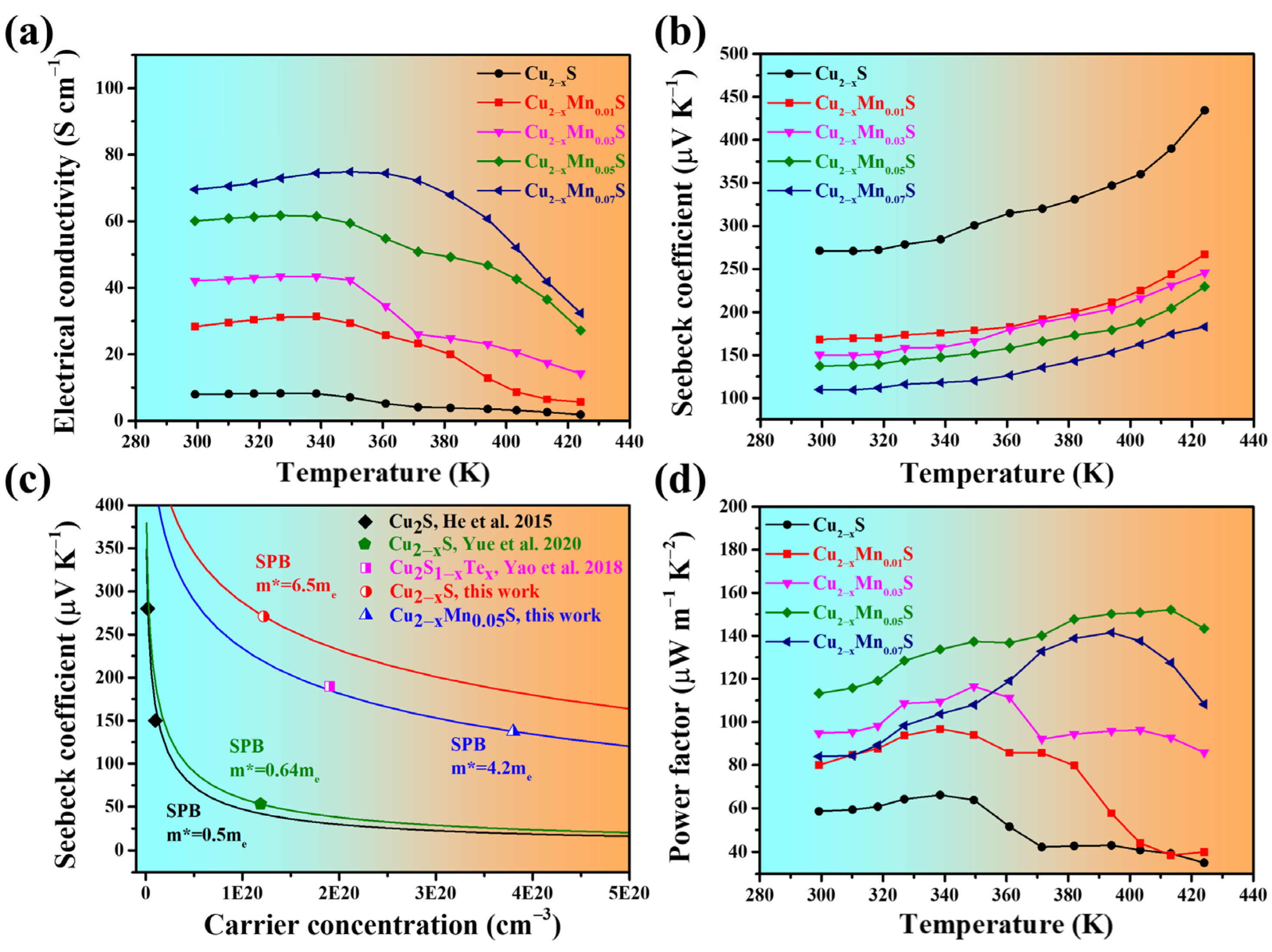
3. Results and Discussion
4. Conclusions
Supplementary Materials
Author Contributions
Funding
Institutional Review Board Statement
Informed Consent Statement
Data Availability Statement
Conflicts of Interest
References
- Bell, L.E. Cooling, heating, generating power, and recovering waste heat with thermoelectric systems. Science 2008, 321, 1457–1461. [Google Scholar] [CrossRef]
- Wang, Y.; Shi, Y.; Mei, D.; Chen, Z. Wearable thermoelectric generator to harvest body heat for powering a miniaturized accelerometer. Appl. Energy 2018, 215, 690–698. [Google Scholar] [CrossRef]
- Zebarjadi, M.; Esfarjani, K.; Dresselhaus, M.S.; Ren, Z.F.; Chen, G. Perspectives on thermoelectrics: From fundamentals to device applications. Energy Environ. Sci. 2012, 5, 5147–5162. [Google Scholar] [CrossRef]
- Fan, J.; Huang, X.; Liu, F.; Deng, L.; Chen, G. Feasibility of using chemically exfoliated SnSe nanobelts in constructing flexible SWCNTs-based composite films for high-performance thermoelectric applications. Compos. Commun. 2021, 24, 100612. [Google Scholar] [CrossRef]
- Park, W.; Park, S.; Mun, Y.; Lee, D.; Jang, K.-S. Effects of thickness on flexibility and thermoelectric performance of free-standing Ag2Se films. J. Ind. Eng. Chem. 2023, 121, 142–148. [Google Scholar] [CrossRef]
- Wang, L.; Zhang, Z.; Liu, Y.; Wang, B.; Fang, L.; Qiu, J.; Zhang, K.; Wang, S. Exceptional thermoelectric properties of flexible organic−inorganic hybrids with monodispersed and periodic nanophase. Nat. Commun. 2018, 9, 3817. [Google Scholar] [CrossRef]
- Ding, Y.; Qiu, Y.; Cai, K.; Yao, Q.; Chen, S.; Chen, L.; He, J. High performance n-type Ag2Se film on nylon membrane for flexible thermoelectric power generator. Nat. Commun. 2019, 10, 841. [Google Scholar] [CrossRef]
- Howlader, S.; Vasudevan, R.; Jarwal, B.; Gupta, S.; Chen, K.H.; Sachdev, K.; Banerjee, M.K. Microstructure and mechanical stability of Bi doped Mg2Si0.4Sn0.6 thermoelectric material. J. Alloys Compd. 2020, 818, 15288. [Google Scholar] [CrossRef]
- Varghese, T.; Dun, C.; Kempf, N.; Saeidi-Javash, M.; Karthik, C.; Richardson, J.; Hollar, C.; Estrada, D.; Zhang, Y. Flexible Thermoelectric Devices of Ultrahigh Power Factor by Scalable Printing and Interface Engineering. Adv. Funct. Mater. 2019, 30, 5796. [Google Scholar] [CrossRef]
- Shang, H.; Dun, C.; Deng, Y.; Li, T.; Gao, Z.; Xiao, L.; Gu, H.; Singh, D.J.; Ren, Z.; Ding, F. Bi0.5Sb1.5Te3-based films for flexible thermoelectric devices. J. Mater. Chem. A 2020, 8, 4552–4561. [Google Scholar] [CrossRef]
- Gao, J.; Miao, L.; Liu, C.; Wang, X.; Peng, Y.; Wei, X.; Zhou, J.; Chen, Y.; Hashimoto, R.; Asaka, T.; et al. A novel glass-fiber-aided cold-press method for fabrication of n-type Ag2Te nanowires thermoelectric film on flexible copy-paper substrate. J. Mater. Chem. A 2017, 5, 24740–24748. [Google Scholar] [CrossRef]
- Li, X.; Cai, K.; Gao, M.; Du, Y.; Shen, S. Recent advances in flexible thermoelectric films and devices. Nano Energy 2021, 89, 106309. [Google Scholar] [CrossRef]
- Fan, Z.; Du, D.; Guan, X.; Ouyang, J. Polymer films with ultrahigh thermoelectric properties arising from significant seebeck coefficient enhancement by ion accumulation on surface. Nano Energy 2018, 51, 481–488. [Google Scholar] [CrossRef]
- Wang, H.; Hsu, J.H.; Yi, S.I.; Kim, S.L.; Choi, K.; Yang, G.; Yu, C. Thermally Driven Large N-Type Voltage Responses from Hybrids of Carbon Nanotubes and Poly(3,4-ethylenedioxythiophene) with Tetrakis(dimethylamino)ethylene. Adv. Mater. 2015, 27, 6855–6861. [Google Scholar] [CrossRef] [PubMed]
- Fan, W.; Guo, C.; Chen, G. Flexible films of poly(3,4-ethylenedioxythiophene)/carbon nanotube thermoelectric composites prepared by dynamic 3-phase interfacial electropolymerization and subsequent physical mixing. J. Mater. Chem. A 2018, 6, 12275–12280. [Google Scholar] [CrossRef]
- Jiang, C.; Wei, P.; Ding, Y.; Cai, K.; Tong, L.; Gao, Q.; Lu, Y.; Zhao, W.; Chen, S. Ultrahigh performance polyvinylpyrrolidone/Ag2Se composite thermoelectric film for flexible energy harvesting. Nano Energy 2021, 80, 105488. [Google Scholar] [CrossRef]
- Li, Y.; Lou, Q.; Yang, J.; Cai, K.; Liu, Y.; Lu, Y.; Qiu, Y.; Lu, Y.; Wang, Z.; Wu, M.; et al. Exceptionally High Power Factor Ag2Se/Se/Polypyrrole Composite Films for Flexible Thermoelectric Generators. Adv. Funct. Mater. 2021, 32, 216902. [Google Scholar] [CrossRef]
- Wang, Z.; Gao, Q.; Wang, W.; Lu, Y.; Cai, K.; Li, Y.; Wu, M.; He, J. High performance Ag2Se/Ag/PEDOT composite films for wearable thermoelectric power generators. Mater. Today Phys. 2021, 21, 100553. [Google Scholar] [CrossRef]
- Lei, Y.; Qi, R.; Chen, M.; Chen, H.; Xing, C.; Sui, F.; Gu, L.; He, W.; Zhang, Y.; Baba, T.; et al. Microstructurally Tailored Thin beta-Ag2Se Films toward Commercial Flexible Thermoelectrics. Adv. Mater. 2022, 34, 2104786. [Google Scholar] [CrossRef]
- Mulla, R.; Rabinal, M.H.K. Copper Sulfides: Earth-Abundant and Low-Cost Thermoelectric Materials. Energy Technol. 2019, 7, 1800850. [Google Scholar] [CrossRef]
- Yue, Z.; Zhou, W.; Ji, X.; Wang, Y.; Guo, F. Thermoelectric performance of hydrothermally synthesized micro/nano Cu2-xS. Chem. Eng. J. 2022, 449, 137748. [Google Scholar] [CrossRef]
- He, Y.; Day, T.; Zhang, T.; Liu, H.; Shi, X.; Chen, L.; Snyder, G.J. High thermoelectric performance in non-toxic earth-abundant copper sulfide. Adv. Mater. 2014, 26, 3974–3978. [Google Scholar] [CrossRef] [PubMed]
- Zhao, L.; Wang, X.; Fei, F.Y.; Wang, J.; Cheng, Z.; Dou, S.; Wang, J.; Snyder, G.J. High thermoelectric and mechanical performance in highly dense Cu2−xS bulks prepared by a melt-solidification technique. J. Mater. Chem. A 2015, 3, 9432–9437. [Google Scholar] [CrossRef]
- Yao, Y.; Zhang, B.P.; Pei, J.; Liu, Y.C.; Li, J.F. Thermoelectric performance enhancement of Cu2S by Se doping leading to a simultaneous power factor increase and thermal conductivity reduction. J. Mater. Chem. C 2017, 5, 7845–7852. [Google Scholar] [CrossRef]
- Chakrabarti, D.J.; Laughlin, D.E. The Cu-S (Copper-Sulfur) System. Bull. Alloys Phase Diagr. 1983, 4, 254. [Google Scholar] [CrossRef]
- Tang, H.C.; Sun, F.H.; Dong, J.F.; Asfandiyar; Zhuang, H.L.; Pan, Y.; Li, J.F. Graphene network in copper sulfide leading to enhanced thermoelectric properties and thermal stability. Nano Energy 2018, 49, 267–273. [Google Scholar] [CrossRef]
- Yue, Z.; Zhou, W.; Ji, X.; Zhang, F.; Guo, F. Enhanced thermoelectric properties of Ag doped Cu2S by using hydrothermal method. J. Alloys Compd. 2022, 919, 165830. [Google Scholar] [CrossRef]
- Li, X.; Lou, Y.; Jin, K.; Fu, L.; Xu, P.; Shi, Z.; Feng, T.; Xu, B. Realizing zT>2 in Environment-Friendly Monoclinic Cu2S—Tetragonal Cu1.96S Nano-Phase Junctions for Thermoelectrics. Angew. Chem. Int. Ed. 2022, 61, e202212885. [Google Scholar] [CrossRef]
- Zhang, Q.H.; Huang, X.Y.; Bai, S.Q.; Shi, X.; Uher, C.; Chen, L.D. Thermoelectric Devices for Power Generation: Recent Progress and Future Challenges. Adv. Eng. Mater. 2016, 18, 194–213. [Google Scholar] [CrossRef]
- Jaziri, N.; Boughamoura, A.; Müller, J.; Mezghani, B.; Tounsi, F.; Ismail, M. A comprehensive review of Thermoelectric Generators: Technologies and common applications. Energy Rep. 2020, 6, 264–287. [Google Scholar] [CrossRef]
- Zhao, J.; Zhao, X.; Guo, R.; Zhao, Y.; Yang, C.; Zhang, L.; Liu, D.; Ren, Y. Preparation and Characterization of Screen-Printed Cu(2)S/PEDOT:PSS Hybrid Films for Flexible Thermoelectric Power Generator. Nanomaterials 2022, 12, 2430. [Google Scholar] [CrossRef] [PubMed]
- Liu, D.; Yan, Z.; Zhao, Y.; Zhang, Z.; Zhang, B.; Shi, P.; Xue, C. Facile self-supporting and flexible Cu2S/PEDOT:PSS composite thermoelectric film with high thermoelectric properties for body energy harvesting. Results Phys. 2021, 31. [Google Scholar] [CrossRef]
- Liu, Y.; Lu, Y.; Wang, Z.; Li, J.; Wei, P.; Zhao, W.; Chen, L.; Cai, K. High performance Ag2Se films by a one-pot method for a flexible thermoelectric generator. J. Mater. Chem. A 2022, 10, 25644–25651. [Google Scholar] [CrossRef]
- Lee, K.H.; Kim, S.-i.; Kim, H.-S.; Kim, S.W. Band Convergence in Thermoelectric Materials: Theoretical Background and Consideration on Bi–Sb–Te Alloys. ACS Appl. Energy Mater. 2020, 3, 2214–2223. [Google Scholar] [CrossRef]
- Peng, Q.; Zhang, S.; Yang, H.; Sheng, B.; Xu, R.; Wang, Q.; Yu, Y. Boosting Potassium Storage Performance of the Cu(2)S Anode via Morphology Engineering and Electrolyte Chemistry. ACS Nano 2020, 14, 6024–6033. [Google Scholar] [CrossRef]
- Tao, F.; Zhang, Y.; Zhang, F.; An, Y.; Dong, L.; Yin, Y. Structural evolution from CuS nanoflowers to Cu9S5 nanosheets and their applications in environmental pollution removal and photothermal conversion. RSC Adv. 2016, 6, 63820–63826. [Google Scholar] [CrossRef]
- Nandihalli, N. A short account of thermoelectric film characterization techniques. Mater. Today Phys. 2023, 36, 101173. [Google Scholar] [CrossRef]
- Wang, C.; Chen, F.; Sun, K.; Chen, R.; Li, M.; Zhou, X.; Sun, Y.; Chen, D.; Wang, G. Contributed Review: Instruments for measuring Seebeck coefficient of thin film thermoelectric materials: A mini-review. Rev. Sci. Instrum. 2018, 89, 5038406. [Google Scholar] [CrossRef]
- Nkemeni, D.S.; Yang, Z.; Lou, S.; Li, G.; Zhou, S. Achievement of extra-high thermoelectric performance in doped copper (I) sulfide. J. Alloys Compd. 2021, 878, 160128. [Google Scholar] [CrossRef]
- Wu, R.; Wang, D.P.; Kumar, V.; Zhou, K.; Law, A.W.; Lee, P.S.; Lou, J.; Chen, Z. MOFs-derived copper sulfides embedded within porous carbon octahedra for electrochemical capacitor applications. Chem. Commun. 2015, 51, 3109–3112. [Google Scholar] [CrossRef]
- Jia, X.; Zhang, E.; Yu, X.; Lu, B. Facile Synthesis of Copper Sulfide Nanosheet@Graphene Oxide for the Anode of Potassium-Ion Batteries. Energy Technol. 2019, 8, 1900987. [Google Scholar] [CrossRef]
- Geng, X.; Jiao, Y.; Han, Y.; Mukhopadhyay, A.; Yang, L.; Zhu, H. Freestanding Metallic 1T MoS2 with Dual Ion Diffusion Paths as High Rate Anode for Sodium-Ion Batteries. Adv. Funct. Mater. 2017, 27, 1702998. [Google Scholar] [CrossRef]
- Kutty, T.R.N. A controlled copper-coating method for the preparation of ZnS:Mn DC electroluminescent powder phosphors. Mater. Res. Bull. 1991, 26, 399–406. [Google Scholar] [CrossRef]
- Chen, T.W.; Rajaji, U.; Chen, S.M.; Li, Y.L.; Ramalingam, R.J. Ultrasound-assisted synthesis of alpha-MnS (alabandite) nanoparticles decorated reduced graphene oxide hybrids: Enhanced electrocatalyst for electrochemical detection of Parkinson’s disease biomarker. Ultrason. Sonochem. 2019, 56, 378–385. [Google Scholar] [CrossRef]
- Xin, Y.; Cao, L.; Huang, J.; Liu, J.; Fei, J.; Yao, C. Influence of S/Mn molar ratio on the morphology and optical property of γ-MnS thin films prepared by microwave hydrothermal. J. Alloys Compd. 2013, 549, 1–5. [Google Scholar]
- Rastogi, A.C.; Salkalachen, S.; Bhide, V.G. Electrical conduction and phase transitions in vacuum-deposited Cu2-xS films. Thin Solid Films 1978, 52, 1–10. [Google Scholar] [CrossRef]
- Wang, Y.; Long, Z.; Cheng, Y.; Zhou, M.; Chen, H.; Zhao, K.; Shi, X. Chemical bonding engineering for high-symmetry Cu2S-based materials with high thermoelectric performance. Mater. Today Phys. 2023, 32, 101028. [Google Scholar] [CrossRef]
- Liang, X.; Jin, D.; Dai, F. Phase Transition Engineering of Cu2S to Widen the Temperature Window of Improved Thermoelectric Performance. Adv. Electron. Mater. 2019, 5, 1900486. [Google Scholar] [CrossRef]
- Evans, H.T. Djurleite (Cu1.94S) and low chalcocite (Cu2S): New crystal structure studies. Science 1979, 203, 356–358. [Google Scholar] [CrossRef]
- He, Y.; Lu, P.; Shi, X.; Xu, F.; Zhang, T.; Snyder, G.J.; Uher, C.; Chen, L. Ultrahigh Thermoelectric Performance in Mosaic Crystals. Adv. Mater. 2015, 27, 3639–3644. [Google Scholar] [CrossRef]
- Yao, Y.; Zhang, B.P.; Pei, J.; Sun, Q.; Nie, G.; Zhang, W.Z.; Zhuo, Z.T.; Zhou, W. High Thermoelectric Figure of Merit Achieved in Cu(2)S(1- x)Te (x) Alloys Synthesized by Mechanical Alloying and Spark Plasma Sintering. ACS Appl. Mater. Interfaces 2018, 10, 32201–32211. [Google Scholar] [CrossRef] [PubMed]
- Yang, M.; Liu, X.; Zhang, B.; Chen, Y.; Wang, H.; Yu, J.; Wang, G.; Xu, J.; Zhou, X.; Han, G. Phase Tuning for Enhancing the Thermoelectric Performance of Solution-Synthesized Cu2–xS. ACS Appl. Mater. Interfaces 2021, 13, 39541–39549. [Google Scholar] [CrossRef]
- Chen, X.Q.; Fan, S.J.; Han, C.; Wu, T.; Wang, L.J.; Jiang, W.; Dai, W.; Yang, J.P. Multiscale architectures boosting thermoelectric performance of copper sulfide compound. Rare Met. 2021, 40, 2017–2025. [Google Scholar] [CrossRef] [PubMed]
- Zhang, R.; Pei, J.; Han, Z.J.; Wu, Y.; Zhao, Z.; Zhang, B.P. Optimal performance of Cu1.8S1−xTex thermoelectric materials fabricated via high-pressure process at room temperature. J. Adv. Ceram. 2020, 9, 535–543. [Google Scholar] [CrossRef]






| Materials | PF (μW m−1K−2) | Temperature (K) | Method | Ref. No |
|---|---|---|---|---|
| Cu2−xS | 56 | 300 | Solvothermal and HP | [52] |
| Cu2−xS | 75 | 300 | Melting and SPS | [53] |
| Cu1.98−2xMnxS0.985Se0.015 | 100 | 325 | Melting and SPS | [47] |
| Cu2S1−xSex | 122 | 325 | Ball milling and SPS | [24] |
| Micro/nano Cu2−xS | 250 | 320 | Hydrothermal and SPS | [21] |
| Cu2S1−xTex | 145 | 325 | Ball milling and SPS | [54] |
| Cu2S hybrid films | 20 | 393 | Screen printing | [31] |
| Cu2S/PEDOT:PSS films | 56 | 393 | Vacuum filtration | [32] |
| Cu2−xMnyS/nylon films | 113 | 300 | Hydrothermal and HP | This work |
| 150 | 393 |
Disclaimer/Publisher’s Note: The statements, opinions and data contained in all publications are solely those of the individual author(s) and contributor(s) and not of MDPI and/or the editor(s). MDPI and/or the editor(s) disclaim responsibility for any injury to people or property resulting from any ideas, methods, instructions or products referred to in the content. |
© 2023 by the authors. Licensee MDPI, Basel, Switzerland. This article is an open access article distributed under the terms and conditions of the Creative Commons Attribution (CC BY) license (https://creativecommons.org/licenses/by/4.0/).
Share and Cite
Zuo, X.; Han, X.; Lu, Y.; Liu, Y.; Wang, Z.; Li, J.; Cai, K. Largely Enhanced Thermoelectric Power Factor of Flexible Cu2−xS Film by Doping Mn. Materials 2023, 16, 7159. https://doi.org/10.3390/ma16227159
Zuo X, Han X, Lu Y, Liu Y, Wang Z, Li J, Cai K. Largely Enhanced Thermoelectric Power Factor of Flexible Cu2−xS Film by Doping Mn. Materials. 2023; 16(22):7159. https://doi.org/10.3390/ma16227159
Chicago/Turabian StyleZuo, Xinru, Xiaowen Han, Yiming Lu, Ying Liu, Zixing Wang, Jiajia Li, and Kefeng Cai. 2023. "Largely Enhanced Thermoelectric Power Factor of Flexible Cu2−xS Film by Doping Mn" Materials 16, no. 22: 7159. https://doi.org/10.3390/ma16227159
APA StyleZuo, X., Han, X., Lu, Y., Liu, Y., Wang, Z., Li, J., & Cai, K. (2023). Largely Enhanced Thermoelectric Power Factor of Flexible Cu2−xS Film by Doping Mn. Materials, 16(22), 7159. https://doi.org/10.3390/ma16227159

