Innovative Design of Bismuth-Telluride-Based Thermoelectric Transistors
Abstract
1. Introduction
2. Theoretical Foundations
2.1. Temperature Distribution of Bi2Te3 and p-Type Si under Laser Irradiation
2.1.1. Calculation of Temperature Distribution in P1-Bi2Te3
2.1.2. Calculation of Temperature Distribution in P2-Si
2.2. Hole Concentration Distribution in Bi2Te3 and P2-Si
2.2.1. Hole Concentration Distribution in P1-Bi2Te3
2.2.2. Hole Concentration Distribution in P2-Si
2.3. Operation Conditions of Thermoelectric Transistor
2.3.1. Implementation of Forward Bias and Forward Conduction at the Emitter–Base
2.3.2. Realization of Reverse Bias at the Base–Collector
2.4. The Output Performance of Thermoelectric Transistors
2.5. The Material Parameters of Thermoelectric Transistor
3. Results and Discussion
3.1. Temperature Distribution in Thermoelectric Transistor
3.1.1. Temperature Distribution in p-Type Bi2Te3
3.1.2. Temperature Distribution in p-Si
3.2. Hole Concentration Distribution within Thermoelectric Transistor
3.3. Operarion Conditions in Thermoelectric Transistor
3.3.1. Forward Bias of Emitter–Base Junction
3.3.2. Reverse Bias of Base–Collector Junction
3.4. Output Performance of Thermoelectric Transistor
3.4.1. Impact of Nd on Output Power of Thermoelectric Transistor
3.4.2. Impact of Pa1 and x1 on Output Power of Thermoelectric Transistor
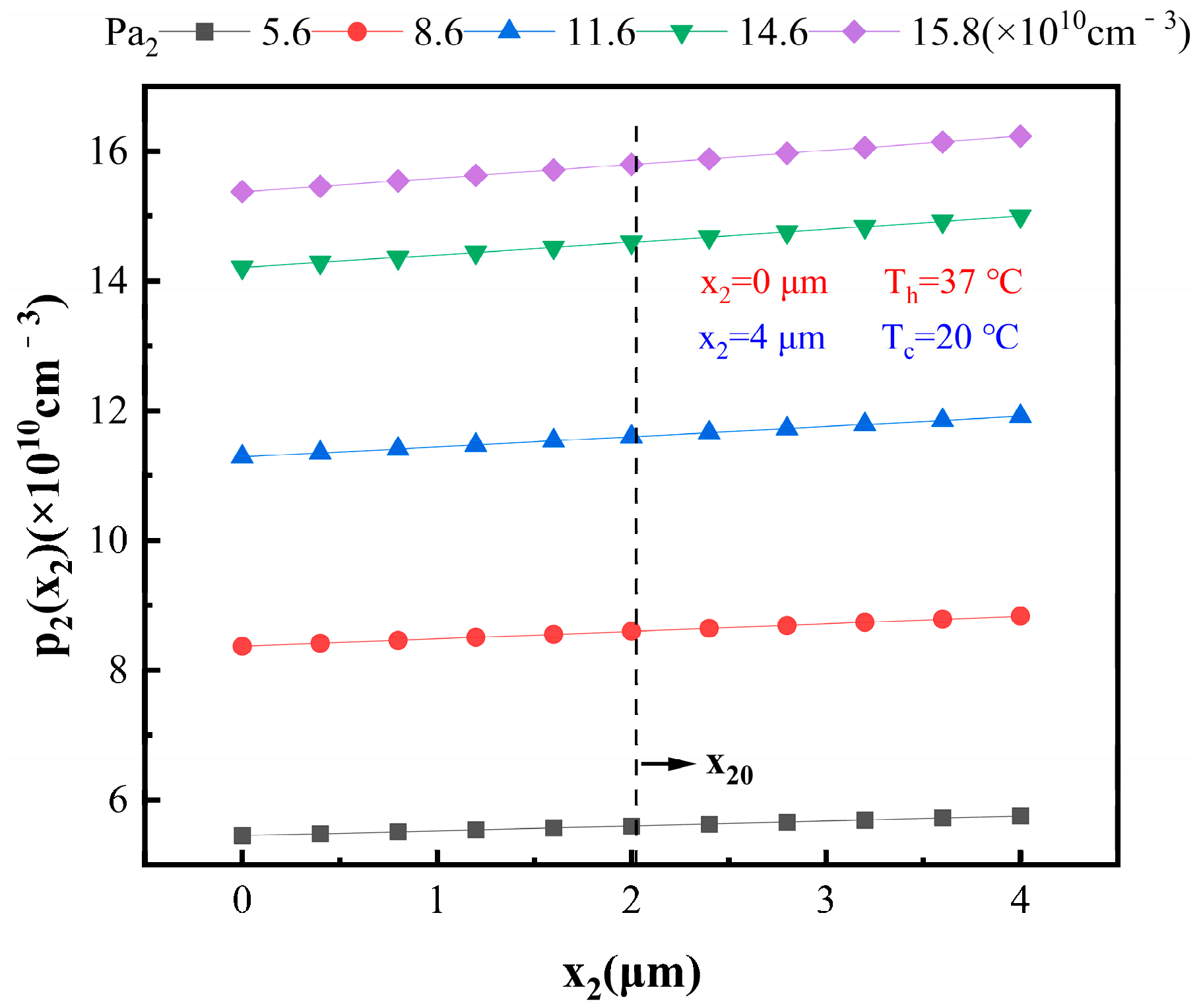
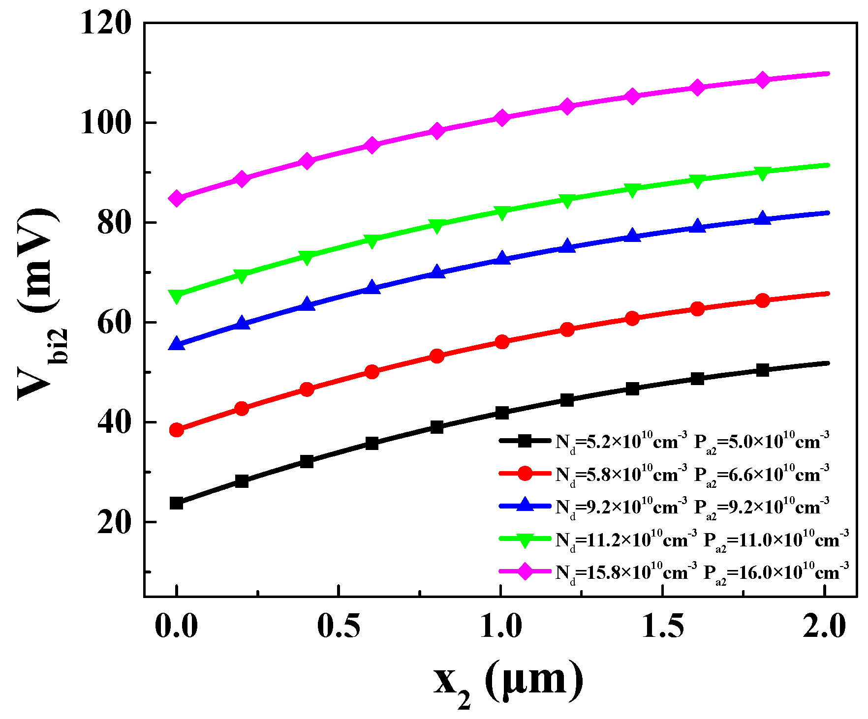
3.4.3. Impact of Pa2 and x2 on Output Power of Thermoelectric Transistor
3.4.4. Transistor Structure: Optimization of Output Power Effects
4. Conclusions
- (i)
- The thermoelectric transistor, composed of P1-Bi2Te3, N-Si, and P2-Si, is directly irradiated by the laser. Under laser illumination and heat conduction, the temperature decreases from 66.7 °C to 20 °C, creating a temperature difference of 46.7 °C at the two ends of the thermoelectric transistor. As a result of the temperature difference, holes inside P1 and P2 regions migrate from the hot end to the far end, leading to increased hole concentration at the cold end.
- (ii)
- The operation conditions of the thermoelectric transistor under laser irradiation are investigated. Based on the corresponding conditions, suitable doping concentrations of the emitter, base, and collector can be determined. By adjusting these concentrations, the current can be produced in the thermoelectric transistor only driven by the Seebeck effect.
- (iii)
- The influence of these parameters on the output power of the thermoelectric transistor is also investigated. The maximum output power of the thermoelectric transistor is 0.7093 μW under a temperature difference of 46.7 °C, which is nearly quadrupling the performance compared to the single thermoelectric material structure.
- (iv)
- Importantly, the operation conditions of the thermoelectric transistor established in this work are applicable to other material systems. By adjusting the doping concentration within each region, current can be generated, ensuring that the forward-active mode is achieved. Therefore, this novel thermoelectric generator concept can significantly contribute to the advancement of the thermoelectric field. Moreover, the combination with transistor technology can expand the range of applications for thermoelectric generators.
Author Contributions
Funding
Institutional Review Board Statement
Informed Consent Statement
Data Availability Statement
Conflicts of Interest
References
- Graus, W.H.J.; Voogt, M.; Worrell, E. International comparison of energy efficiency of fossil power generation. Energy Policy 2007, 35, 3936–3951. [Google Scholar] [CrossRef]
- Mallick, M.; Franke, L.; Rösch, A.G.; Geßwein, H.; Long, Z.; Eggeler, Y.M.; Lemmer, U. High Figure-of-Merit Telluride-Based Flexible Thermoelectric Films through Interfacial Modification via Millisecond Photonic-Curing for Fully Printed Thermoelectric Generators. Adv. Sci. 2022, 9, 2202411. [Google Scholar] [CrossRef] [PubMed]
- Shittu, S.; Li, G.-Q.; Zhao, X.-D.; Ma, X.-L. Review of thermoelectric geometry and structure optimization for performance enhancement. Appl. Energy 2020, 268, 115075. [Google Scholar] [CrossRef]
- Yang, F.; Wu, J.; Suwardi, A.; Zhao, Y.-S.; Laing, B.-Y.; Jiang, J.; Xu, J.-W.; Chi, D.-Z.; Hippalgaonkar, K.; Lu, J.-P.; et al. Gate-Tunable Polar Optical Phonon to Piezoelectric Scattering in Few-Layer Bi2O2Se for High-Performance Thermoelectrics. Adv. Mater. 2021, 4, 33. [Google Scholar]
- Wu, X.-M.; Gao, G.-Y.; Hu, L.; Qin, D. 2D Nb2SiTe4 and Nb2GeTe4: Promising thermoelectric figure of merit and gate-tunable thermoelectric performance. Nanotechnology 2021, 32, 245203. [Google Scholar] [CrossRef] [PubMed]
- Bejenari, I.; Kantser, V.; Balandin, A.A. Thermoelectric properties of electrically gated bismuth telluride nanowires. Phys. Rev. B. 2010, 81, 075316. [Google Scholar] [CrossRef]
- Qin, D.-L.; Pan, F.; Zhou, J.; Xu, Z.-B.; Deng, Y. High ZT and performance controllable thermoelectric devices based on electrically gated bismuth telluride thin films. Nano Energy 2021, 89, 106472. [Google Scholar] [CrossRef]
- Nan, B.; Xu, G.; Liu, W.-M.; Yang, Q.; Zhang, B.; Dong, Y.; Tie, J.; Guo, T.; Zhou, X. High thermoelectric performance of PNP abrupt heterostructures by independent regulation of the electrical conductivity and Seebeck coefficient. Mater. Today Commun. 2022, 31, 103343. [Google Scholar] [CrossRef]
- Nan, B.; Xu, G.; Yang, Q.; Zhang, B.; Zhou, X. Innovative design and optimized performance of thermoelectric transistor driven by the Seebeck effect. Energ. Convers. Manag. 2023, 283, 116880. [Google Scholar] [CrossRef]
- Hua, Z.J.; Zhang, X.; Tu, D.-W.; Wang, X.-Z.; Haung, N.-D. Learning to high-performance autofocus microscopy with laser illumination. Measurement 2023, 216, 112964. [Google Scholar] [CrossRef]
- Shi, Q.; Li, J.; Zhao, X.-W.; Chen, Y.-Y.; Zhang, F.-J.; Zhong, Y.; Ang, R. Comprehensive Insight into p-Type Bi2Te3-Based Thermoelectrics near Room Temperature. ACS Appl. Mater. Interfaces 2022, 14, 49425–49445. [Google Scholar] [CrossRef]
- Dashevsky, Z.; Skipidarov, S. Investigating the performance of bismuth-antimony telluride. In Novel Thermoelectric Materials and Device Design Concepts; Springer: Berlin/Heidelberg, Germany, 2019; pp. 3–21. [Google Scholar]
- Maksymuk, M.; Dzundza, B.; Matkivsky, O.; Horichok, I.; Shneck, R.; Dashevsky, Z. Development of the high performance thermoelectric unicouple based on Bi2Te3 compounds. J. Power Sources 2022, 530, 231301. [Google Scholar] [CrossRef]
- Li, L.-B.; Xu, H.-W.; Yang, H.-B.; Huang, S.-L.; Yang, H.; Li, Y.-A.; Zhang, Q.; Guo, Z.; Hu, H.-Y.; Sun, P.; et al. Design of Bi2Te3-based thermoelectric generator in a widely applicable system. J. Power Sources 2023, 559, 232661. [Google Scholar]
- Maksymuk, M.; Parashchuk, T.; Dzundza, B.; Nvkvruy, L.; Chernyak, L.; Dasheysky, Z. Highly efficient bismuth telluride-based thermoelectric microconverters. Mater. Today Energy 2021, 21, 100753. [Google Scholar] [CrossRef]
- Zhu, B.; Liu, X.-X.; Wang, Q.; Qiu, Y.; Shu, Z.; Guo, Z.-T.; Tong, Y.; Cui, J.; Gu, M.; He, J.-Q. Realizing record high performance in n-type Bi2Te3-based thermoelectric materials. Energy Environ. Sci. 2020, 13, 2106–2114. [Google Scholar] [CrossRef]
- Costa, L.D.F.; Silva, F.N.; Comin, C.H. Characterizing BJTs using the Early voltage in the forward active mode. Int. J. Circuit Theory App. 2018, 46, 978–986. [Google Scholar] [CrossRef]
- Bhattacharya, D.; Singh, R.; Holloway, P. Laser-target interactions during pulsed laser deposition of superconducting thin films. J. Appl. Phys. 1991, 70, 5433–5439. [Google Scholar] [CrossRef]
- Ge, Y.; He, K.; Xiao, L.-H.; Yuan, W.-Z.; Huang, S.-M. Geometric optimization for the thermoelectric generator with variable cross-section legs by coupling finite element method and optimization algorithm. Renew. Energy 2022, 183, 294–303. [Google Scholar] [CrossRef]
- Fu, D.; Levander, A.-X.; Zhang, R.; Ager, J.-W., III; Wu, J. Electrothermally driven current vortices in inhomogeneous bipolar semiconductors. Phys. Rev. B. 2011, 84, 045205. [Google Scholar] [CrossRef]
- Ravich, Y.I.; Pshenai-Severin, D. Thermoelectric figure of merit of a pn junction. Semiconductors 2001, 35, 1161–1165. [Google Scholar] [CrossRef]
- Lv, T.; Li, Z.-M.; Yang, Q.-X.; Benton, A.; Zheng, H.-T.; Xu, G.-Y. Synergistic regulation of electrical-thermal effect leading to an optimized thermoelectric performance in Co doping n-type Bi2(Te0.97Se0.03)3. Intermetallics 2020, 118, 106683. [Google Scholar] [CrossRef]
- Snyder, G.-J.; Toberer, E.-S. Complex thermoelectric materials. Nat. Mater. 2008, 7, 105–114. [Google Scholar] [CrossRef]
- Chavez, R.; Angst, S.; Hall, J.; Stoetzel, J.; Kessler, V.; Bitzer, L.; Maculewicz, F.; Benson, N.; Wiggers, H.; Wolf, D.; et al. Temperature Thermoelectric Device Concept Using Large Area PN Junctions. J. Electron. Mater. 2014, 43, 2376. [Google Scholar] [CrossRef]
- Neamen, D.-A. Microelectronics: Circuit Analysis and Design, 3rd ed.; McGraw-Hill: New York, NY, USA, 2007. [Google Scholar]
- Ahmad, F.; Singh, R.; Misra, P.-K.; Kumar, N.; Kumar, R.; Kumar, P. Fabrication of a p-n heterojunction using topological insulator Bi2Te3-Si and its annealing response. J. Electron Mater. 2018, 47, 6972–6983. [Google Scholar] [CrossRef]
- Zhou, J.; Li, X.-B.; Chen, G.; Yang, R.-G. Semiclassical model for thermoelectric transport in nanocomposites. Phys. Rev. B. 2010, 82, 115308. [Google Scholar] [CrossRef]
- Xu, G.-Y.; Ren, P.; Lin, T.; Wu, X.-F.; Zhang, Y.-H.; Niu, S.-T.; Bailey, T.P. Mechanism and application method to analyze the carrier scattering factor by electrical conductivity ratio based on thermoelectric property measurement. J. Appl. Phys. 2018, 123, 015101. [Google Scholar] [CrossRef]
- Chen, X.; Wang, Y.-C.; Ma, Y.-M.; Cui, T.; Zou, G.-T. Origin of the High Thermoelectric Performance in Si Nanowires: A First-Principle Study. J. Phys. Chem. C. 2009, 113, 14001–14005. [Google Scholar] [CrossRef]
- Yamasaka, S.; Watanabe, K.; Sakane, S.; Takeuch, S.; Sakai, A.; Sawano, K.; Nakamura, Y. Independent control of electrical and heat conduction by nanostructure designing for Si-based thermoelectric materials. Sci. Rep. 2016, 6, 22838. [Google Scholar] [CrossRef]
















Disclaimer/Publisher’s Note: The statements, opinions and data contained in all publications are solely those of the individual author(s) and contributor(s) and not of MDPI and/or the editor(s). MDPI and/or the editor(s) disclaim responsibility for any injury to people or property resulting from any ideas, methods, instructions or products referred to in the content. |
© 2023 by the authors. Licensee MDPI, Basel, Switzerland. This article is an open access article distributed under the terms and conditions of the Creative Commons Attribution (CC BY) license (https://creativecommons.org/licenses/by/4.0/).
Share and Cite
Deng, H.; Nan, B.; Xu, G. Innovative Design of Bismuth-Telluride-Based Thermoelectric Transistors. Materials 2023, 16, 5536. https://doi.org/10.3390/ma16165536
Deng H, Nan B, Xu G. Innovative Design of Bismuth-Telluride-Based Thermoelectric Transistors. Materials. 2023; 16(16):5536. https://doi.org/10.3390/ma16165536
Chicago/Turabian StyleDeng, Hao, Bohang Nan, and Guiying Xu. 2023. "Innovative Design of Bismuth-Telluride-Based Thermoelectric Transistors" Materials 16, no. 16: 5536. https://doi.org/10.3390/ma16165536
APA StyleDeng, H., Nan, B., & Xu, G. (2023). Innovative Design of Bismuth-Telluride-Based Thermoelectric Transistors. Materials, 16(16), 5536. https://doi.org/10.3390/ma16165536
