Synthesis and In Vitro Biocompatibility Studies of Novel Alkoxy 4,4-Difluoro-4-bora-3a,4a-diaza-s-indacenes
Abstract
:1. Introduction
2. Materials and Methods
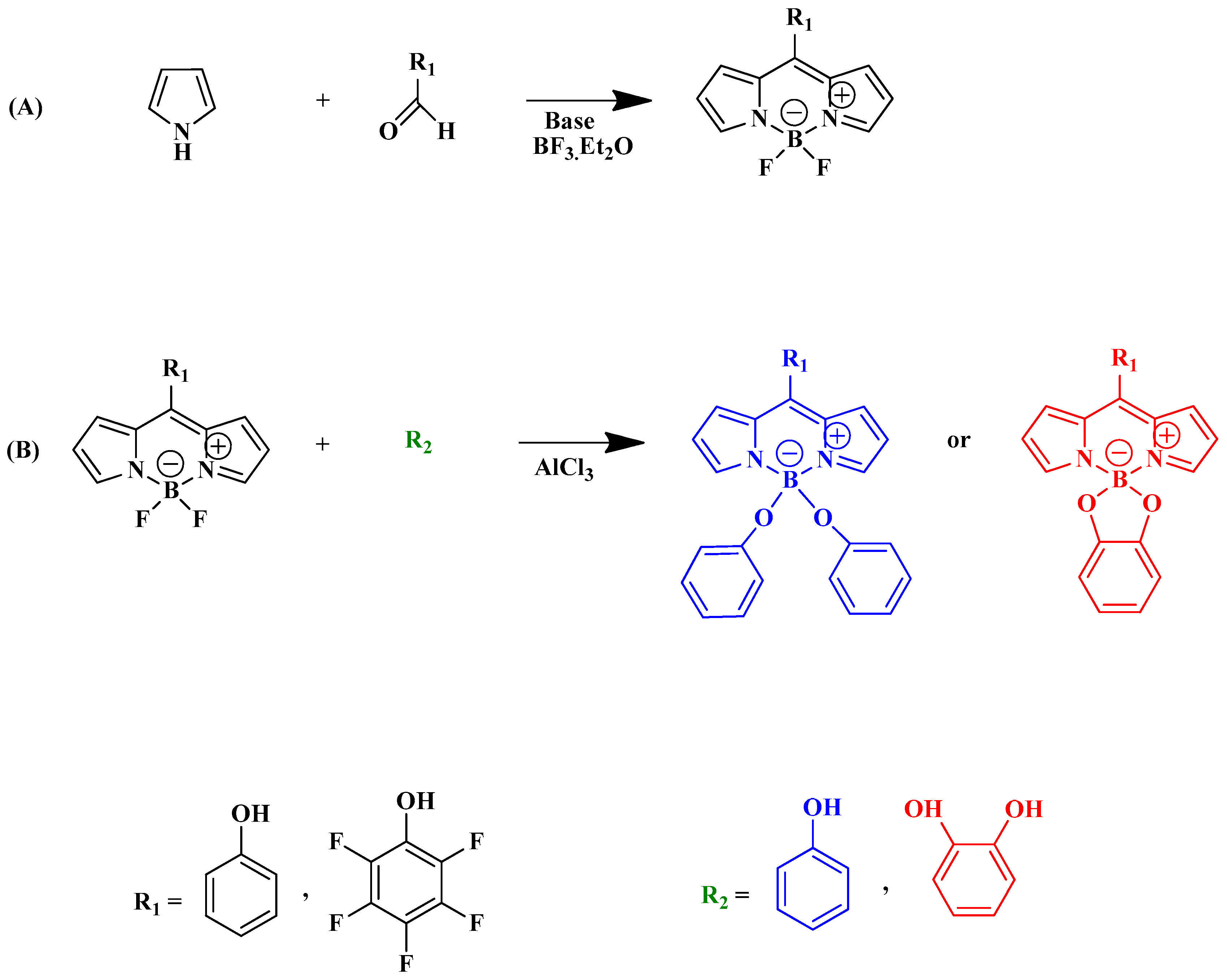
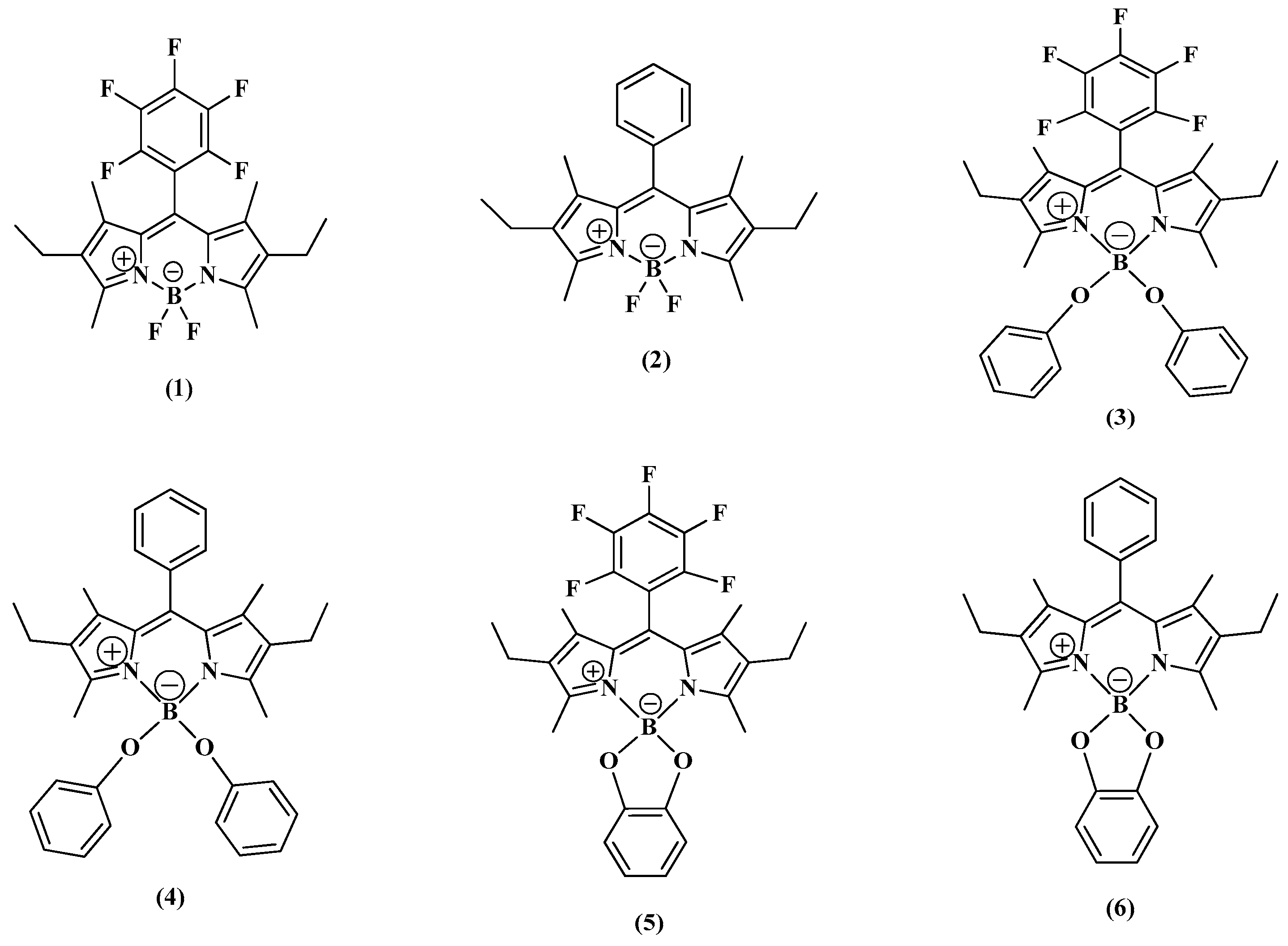
2.1. Synthesis of BODIPYs 1 and 2
2.2. Synthesis of BODIPYs 3 to 6
2.3. Cell Culture Conditions
2.3.1. MTT Test
2.3.2. SRB Test
2.3.3. Haemolysis Test
2.3.4. Cellular Uptake
2.4. Statistical Analysis
3. Results and Discussion
3.1. BODIPY Characterisation
3.2. Structural Analysis
3.3. In Vitro Studies
4. Conclusions
Supplementary Materials
Author Contributions
Funding
Institutional Review Board Statement
Informed Consent Statement
Data Availability Statement
Acknowledgments
Conflicts of Interest
References
- Aguiar, A.L.G.d. New Boron-Dipyrromethene (BODIPY) Molecules As Suitable Electron-Donors for Organic Photovoltaic Cells. Ph.D. Thesis, University of Coimbra, Coimbra, Portugal, 2019. [Google Scholar]
- Aguiar, A.; Farinhas, J.; da Silva, W.; Santos, I.C.; Alcácer, L.; Brett, C.M.A.; Morgado, J.; Sobral, A.J.F.N. New series of BODIPY dyes: Synthesis, characterisation and applications in photovoltaic cells and light-emitting diodes. Dye. Pigment. 2021, 193, 109517. [Google Scholar] [CrossRef]
- Loudet, A.; Burgess, K. BODIPY Dyes and Their Derivatives: Syntheses and Spectroscopic Properties. Chem. Rev. 2007, 107, 4891–4932. [Google Scholar] [CrossRef] [PubMed]
- Boens, N.; Leen, V.; Dehaen, W. Fluorescent Indicators Based on BODIPY. Chem. Soc. Rev. 2012, 41, 1130–1172. [Google Scholar] [CrossRef] [PubMed]
- Boens, N.; Verbelen, B.; Dehaen, W. Postfunctionalization of the BODIPY Core: Synthesis and Spectroscopy. Eur. J. Org. Chem. 2015, 30, 6577–6595. [Google Scholar] [CrossRef]
- Lu, H.; Mack, J.; Yang, Y.; Shen, Z. Structural Modification Strategies for the Rational Design of Red/NIR Region BODIPYs. Chem. Soc. Rev. 2014, 43, 4778–4823. [Google Scholar] [CrossRef] [PubMed]
- Tao, J.; Sun, D.; Sun, L.; Li, Z.; Fu, B.; Liu, J.; Zhang, L.; Wang, S.; Fang, Y.; Xu, H. Tuning the Photophysical Properties of BODIPY Dyes: Effects of 1, 3, 5, 7-Substitution on Their Optical and Electrochemical Behaviours. Dye. Pigment. 2019, 168, 166–174. [Google Scholar] [CrossRef]
- Boens, N.; Verbelen, B.; Ortiz, M.J.; Jiao, L.; Dehaen, W. Synthesis of BODIPY Dyes through Postfunctionalization of the Boron Dipyrromethene Core. Coord. Chem. Rev. 2019, 399, 213024. [Google Scholar] [CrossRef]
- Gai, L.; Lu, H.; Zou, B.; Lai, G.; Shen, Z.; Li, Z. Synthesis and Spectroscopic Properties of BODIPY Dimers with Effective Solid-State Emission. R. Soc. Chem. 2012, 2, 8840–8846. [Google Scholar] [CrossRef]
- Kritskaya, A.Y.; Berezin, M.B.; Antina, E.V.; Vyugin, A.I. Effect of Aryl-, Halogen-, and Ms-Aza-Substitution on the Luminescent Properties and Photostability of Difluoroborates of 2,2′-Dipyrrometenes. J. Fluoresc. 2019, 29, 911–920. [Google Scholar] [CrossRef]
- Munch, M.; Rotstein, B.H.; Ulrich, G. Fluorine-18-Labeled Fluorescent Dyes for Dual-Mode Molecular Imaging. Molecules 2020, 25, 6042. [Google Scholar] [CrossRef]
- Gupta, I.; Kesavan, P.E. Carbazole Substituted BODIPYs. Front. Chem. 2019, 7, 1–31. [Google Scholar] [CrossRef]
- Liu, S.; Li, D.; Shan, H.; Gabbaï, F.P.; Li, Z.; Conti, P.S. Evaluation of 18F-labeled BODIPY Dye as Potential PET Agents for Myocardial Perfusion Imaging. Nucl. Med. Biol. 2014, 41, 120–126. [Google Scholar] [CrossRef] [PubMed]
- Kim, H.; Kim, K.; Son, S.; Choi, J.Y.; Lee, K.; Kim, B.; Byun, Y.; Choe, Y.S. 18F-Labeled BODIPY Dye: A Potential Prosthetic Group for Brain Hybrid PET/Optical Imaging Agents. ACS Chem. Neurosci. 2019, 10, 1445–1451. [Google Scholar] [CrossRef] [PubMed]
- Liu, M.; Ma, S.; She, M.; Chen, J.; Wang, Z.; Liu, P.; Zhang, S.; Li, J. Structural Modification of BODIPY: Improve its Applicability. Chin. Chem. Lett. 2019, 30, 1815–1824. [Google Scholar] [CrossRef]
- Chansaenpak, K.; Wang, H.; Wang, M.; Giglio, B.; Ma, X.; Yuan, H.; Hu, S.; Wu, Z.; Li, Z. Synthesis and Evaluation of [18F]-Ammonium BODIPY Dyes as Potential Positron Emission Tomography Agents for Myocardial Perfusion Imaging. Chem.-A Eur. J. 2016, 22, 12122–12129. [Google Scholar] [CrossRef]
- Aguiar, A.; Farinhas, J.; da Silva, W.; Susano, M.; Silva, M.R.; Alcácer, L.; Kumar, S.; Brett, C.M.A.; Morgado, J.; Sobral, A.J.F.N. Simple BODIPY dyes as suitable electron-donors for organic bulk heterojunction photovoltaic cells. Dye. Pigment. 2020, 172, 107842. [Google Scholar] [CrossRef]
- Motulsky, H. Intuitive Biostatistics: A Nonmathematical Guide to Statistical Thinking, 4th ed.; Oxford University Press: New York, NY, USA, 2014. [Google Scholar]
- Swedin, R.K.; Zatsikha, Y.V.; Healy, A.T.; Didukh, N.O.; Blesener, T.S.; Fathi-Rasekh, M.; Wang, T.; King, A.J.; Nemykin, V.N.; Blank, D.A. Rapid Excited-State Deactivation of BODIPY Derivatives by a Boron-Bound Catechol. J. Phys. Chem. Lett. 2019, 10, 1828–1832. [Google Scholar] [CrossRef] [PubMed]
- Shaban Ragab, S.; Swaminathan, S.; Deniz, E.; Captain, B.; Raymo, F.M. Fluorescence Photoactivation by Ligand Exchange around the Boron Center of a BODIPY Chromophore. Org. Lett. 2013, 15, 3154–3157. [Google Scholar] [CrossRef]
- Santos, M.G. Biomaterials for PET Diagnosis. MSc Thesis, University of Coimbra, Coimbra, Portugal, 2021. [Google Scholar]
- Wang, M.; Vicente, M.G.H.; Mason, D.; Bobadova-Parvanova, P. Stability of a Series of BODIPYs in Acidic Conditions: An Experimental and Computational Study into the Role of the Substituents at Boron. ACS Omega 2018, 3, 5502–5510. [Google Scholar] [CrossRef]
- Liu, L.; Yuan, Y.; Yang, Y.; McMahon, M.T.; Chen, S.; Zhou, X. A Fluorinated aza-BODIPY Derivative for NIR Fluorescence/PA/19F MR Tri-modality in vivo Imaging. Chem. Commun. 2019, 55, 5851–5854. [Google Scholar] [CrossRef]
- ISO 10993-5:2009; Biological Evaluation of Medical Devices—Part 5: Tests for In Vitro Cytotoxicity. ISO: London, UK, 2009.
- ISO 10993-4:2002; Biological Evaluation of Medical Devices—Part 4: Selection of Tests for Interactions with Blood. ISO: London, UK, 2002.
- Amin, K.; Dannenfelser, R.-M. In vitro Hemolysis: Guidance for the Pharmaceutical Scientist. J. Pharm. Sci. 2006, 95, 1173–1176. [Google Scholar] [CrossRef] [PubMed]
- Boechata, N.; da Cunha Pinto, A.; Bastosa, M.M. Métodos Seletivos de Fluoração de Moléculas Orgânicas. Quim. Nov. 2015, 38, 1323–1338. [Google Scholar] [CrossRef]
- Goud, N.S.; Joshi, R.K.; Bharath, R.D.; Kumar, P. Fluorine-18: A Radionuclide with Diverse Range of Radiochemistry and Synthesis Strategies for Target based PET Diagnosis. Eur. J. Med. Chem. 2020, 187, 111979. [Google Scholar] [CrossRef] [PubMed]
- Marima, R.; Hull, R.; Dlamini, Z.; Penny, C. Efavirenz Induces DNA Damage Response Pathway in Lung Cancer. Oncotarget. 2020, 11, 3737–3748. [Google Scholar] [CrossRef]
- Varbanov, H.P.; Kuttler, F.; Banfi, D.; Turcatti, G.; Dyson, P.J. Screening-based Approach to Discover Effective Platinum-based Chemotherapies for Cancers with Poor Prognosis. PLoS ONE 2019, 14, e0211268. [Google Scholar] [CrossRef]
- Arosio, V.; Caccia, M.; Castro, I.F.; Correia, P.M.M.; Mattone, C.; Moutinho, L.M.; Santoro, R.; Silva, A.L.M.; Veloso, J.F.C.A. The EasyPET: A novel concept for an educational cost-effective positron emission 2D scanner. In Proceedings of the 2016 IEEE Nuclear Science Symposium, Medical Imaging Conference and Room-Temperature Semiconductor Detector Workshop (NSS/MIC/RTSD), Strasbourg, France, 29 October–6 November 2016; IEEE: Piscataway, NJ, USA, 2016; pp. 1–8, ISBN 978-1-5090-1642-6. [Google Scholar] [CrossRef]













| Structure | N-B-N Angle (°) | Out-of-Plane Deviation (Å) | C-C-O Angle (°) |
|---|---|---|---|
| BODIPY 1 | 107.27 | 0.059 | - |
| BODIPY 2 | 106.77 | 0.310 | - |
| BODIPY 3 | 109.50 | 0.036 | 121.61 |
| BODIPY 4 | 108.84 | 0.063 | 121.73 |
| BODIPY 5 | 106.47 | 0.719 | 112.37 |
| BODIPY 6 | 105.15 | 0.612 | 112.35 |
Disclaimer/Publisher’s Note: The statements, opinions and data contained in all publications are solely those of the individual author(s) and contributor(s) and not of MDPI and/or the editor(s). MDPI and/or the editor(s) disclaim responsibility for any injury to people or property resulting from any ideas, methods, instructions or products referred to in the content. |
© 2023 by the authors. Licensee MDPI, Basel, Switzerland. This article is an open access article distributed under the terms and conditions of the Creative Commons Attribution (CC BY) license (https://creativecommons.org/licenses/by/4.0/).
Share and Cite
Santos, M.G.; Araújo, J.; Carmo, C.; Santos, L.; Botelho, M.F.; Laranjo, M.; Sobral, A.J.F.N. Synthesis and In Vitro Biocompatibility Studies of Novel Alkoxy 4,4-Difluoro-4-bora-3a,4a-diaza-s-indacenes. Materials 2023, 16, 7085. https://doi.org/10.3390/ma16227085
Santos MG, Araújo J, Carmo C, Santos L, Botelho MF, Laranjo M, Sobral AJFN. Synthesis and In Vitro Biocompatibility Studies of Novel Alkoxy 4,4-Difluoro-4-bora-3a,4a-diaza-s-indacenes. Materials. 2023; 16(22):7085. https://doi.org/10.3390/ma16227085
Chicago/Turabian StyleSantos, Margarida G., Juliana Araújo, Chrislaura Carmo, Leonardo Santos, Maria Filomena Botelho, Mafalda Laranjo, and Abílio J. F. N. Sobral. 2023. "Synthesis and In Vitro Biocompatibility Studies of Novel Alkoxy 4,4-Difluoro-4-bora-3a,4a-diaza-s-indacenes" Materials 16, no. 22: 7085. https://doi.org/10.3390/ma16227085
APA StyleSantos, M. G., Araújo, J., Carmo, C., Santos, L., Botelho, M. F., Laranjo, M., & Sobral, A. J. F. N. (2023). Synthesis and In Vitro Biocompatibility Studies of Novel Alkoxy 4,4-Difluoro-4-bora-3a,4a-diaza-s-indacenes. Materials, 16(22), 7085. https://doi.org/10.3390/ma16227085

