Behavior of Inflatable Drop-Stitch Fabric Panels Subjected to Bending and Compression
Abstract
1. Introduction
2. Mechanics of Drop-Stitch Panels in Bending and Compression
2.1. Wrinkling of the Panel Skin
2.2. Pressure–Volume Work
2.3. Effect of the Drop-Stitch Yarns on Stresses in the Panel Skin
3. FE Implementation
3.1. Virtual Work Framework
3.2. Finite Element Discretization and Solution
3.3. Model Convergence and Verification
4. Impact of Panel Characteristics and Transverse Loads on Response
4.1. Impact of Shear Deformations, Drop Yarns, and Wrinkling on Pure Compression
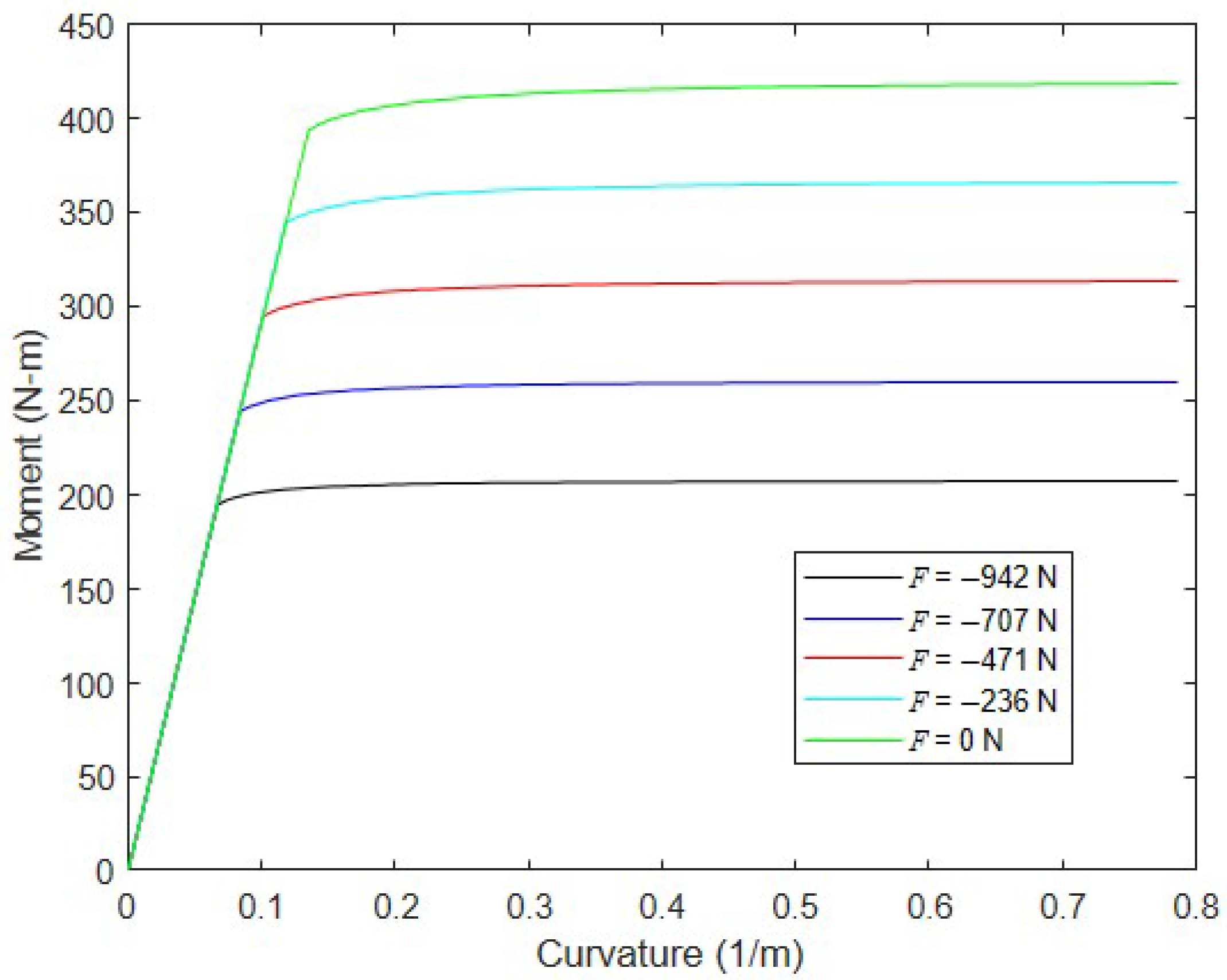
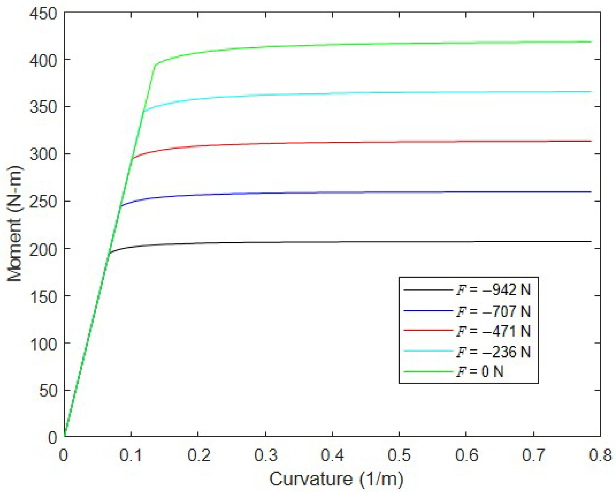
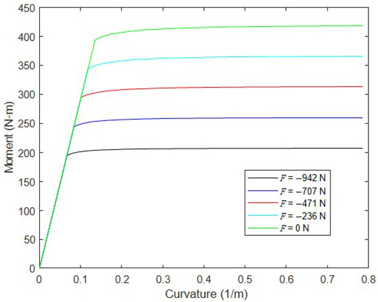
4.2. Impact of Transverse Load and Inflation Pressure
5. Effect of Combined Snow and Wind Loading on the Model Structure
Model and Loading
6. Conclusions
- The wrinkling of the panel skin, p − V work, and deformations significantly impact the load–deflection response, capacity, and post-buckling behavior of drop-stitch panels used as beam-columns. Shear deformations significantly reduce the axial compressive capacity both with and without transverse bending. Wrinkling is more significant in the post-buckling regime for pure axial compression, but it can have a large impact on the compressive buckling load when transverse loads are simultaneously applied.
- The drop-stitch yarns increase the panel skin bending stresses when a panel undergoes shear deformations, and significantly decrease a panel’s compressive capacity. This effect does not occur in typical inflatable fabric members with circular cross-sections.
- The simulations of a drop-stitch panel used as a wall in a structure subjected to snow and wind loads highlight the importance of both inflation pressure and panel depth on wall capacity. The results show that drop-stitch panels with a reasonable thickness and inflation pressure have potential for use in conventional structural configurations.
Funding
Institutional Review Board Statement
Informed Consent Statement
Data Availability Statement
Conflicts of Interest
References
- Davids, W.G. In-plane load-deflection response and buckling of inflated fabric arches. J. Struct. Eng. 2009, 135, 1320–1329. [Google Scholar] [CrossRef]
- Guo, X.; Li, Q.; Zhang, D.; Gong, J. Structural behavior of an air-inflated fabric arch frame. J. Struct. Eng. 2016, 142, 04015108. [Google Scholar] [CrossRef]
- Li, Q.; Guo, X.; Gong, J.; Qing, G.; Li, Z. Experimental deployment behavior of air-inflated fabric arches and a full-scale arch frame. Thin-Walled Struct. 2016, 103, 90–104. [Google Scholar] [CrossRef]
- Wood, J.D. The flexure of a uniformly pressurized, circular, cylindrical shell. J. Appl. Mech. 1958, 25, 453–458. [Google Scholar] [CrossRef]
- Reissner, E. On finite bending of pressurized tubes. Trans. ASME 1959, 26, 386–392. [Google Scholar] [CrossRef]
- Comer, R.L.; Levy, S. Deflections of an inflated circular-cylindrical cantilever beam. AIAA J. 1963, 1, 1652–1655. [Google Scholar] [CrossRef]
- Fichter, W.B. A Theory for Inflated Thin-Wall Cylindrical Beams; NASA Technical Note D-3466; NASA: Washington, DC, USA, 1966. [Google Scholar]
- Le van, A.; Wielgosz, C. Bending and buckling of inflatable beams: Some new theoretical results. Thin-Walled Struct. 2005, 43, 1166–1187. [Google Scholar] [CrossRef]
- Apedo, K.L.; Ronel, S.; Jacquelin, E.; Massenzio, M.; Bennani, A. Theoretical analysis of inflatable beams made from orthotropic fabric. Thin-Walled Struct. 2009, 47, 1507–1522. [Google Scholar] [CrossRef]
- Apedo, K.L.; Ronel, S.; Jacquelin, E.; Massenzio, M.; Bennani, A. Nonlinear finite element analysis of inflatable beams made from orthotropic fabric. Int. J. Solids Struct. 2010, 47, 2017–2033. [Google Scholar] [CrossRef]
- Nguyen, Q.-T.; Thomas, J.-C. Inflation and bending of an orthotropic inflatable beam. Thin-Walled Struct. 2015, 88, 129–144. [Google Scholar] [CrossRef]
- Thomas, J.C.; Wielgosz, C. Deflections of highly inflated fabric tubes. Thin-Walled Struct. 2004, 42, 1049–1066. [Google Scholar] [CrossRef]
- Wicker, W.J. The structural characteristics of inflatable beams. Acta Astronaut. 1993, 30, 443–454. [Google Scholar] [CrossRef]
- Davids, W.G. Finite-element analysis of pressurized fabric tubes including pressure effects and local fabric wrinkling. Finite Elem. Anal. Des. 2007, 44, 24–33. [Google Scholar] [CrossRef]
- Davids, W.G.; Zhang, H. Beam finite-element for nonlinear analysis of pressurized fabric beam-columns. Eng. Struct. 2008, 30, 1969–1980. [Google Scholar] [CrossRef]
- Ye, Y.; Gan, J.; Ran, X.; Liu, H.; Wu, W. Bending and wrinkling behavior of polyester fabric membrane structures under inflation. J. Ind. Text. 2022, 51, 1007S–1033S. [Google Scholar] [CrossRef]
- Yunling, Y.; Gan, J.; Liu, H.; Guan, Q.; Zheng, Z.; Ran, X.; Gao, Z. Experimental and numerical studies on bending and failure behavior of inflated composite fabric membranes for marine applications. J. Mar. Sci. Eng. 2023, 11, 800. [Google Scholar]
- Nguyen, T.-T.; Ronel, S.; Massenzio, M.; Apedo, K.L.; Jacquelin, E. Analytical buckling analysis of an inflatable beam made of orthotropic technical textiles. Thin-Walled Struct. 2012, 51, 186–200. [Google Scholar] [CrossRef][Green Version]
- Liu, P.; Yue, M.; Feng, S.Z.; Ngamkhhanong, C. Structural behavior of air-inflated beams. Structures 2023, 47, 1613–1623. [Google Scholar] [CrossRef]
- Plaut, R.H.; Goh, J.K.S.; Kigudde, M.; Hammerand, D.C. Shell analysis of an inflatable arch subjected to snow and wind loading. Int. J. Solids Struct. 2000, 37, 4275–4288. [Google Scholar] [CrossRef]
- Xue, Z.M.; Wang, G.C.; Kang, J.T.; Tan, H.F. Buckling analysis of an inflated arch including wrinkling based on pseudo curved beam model. Thin-Walled Struct. 2018, 131, 336–346. [Google Scholar] [CrossRef]
- Wielgosz, C.; Thomas, J.-C. Deflections of inflatable fabric panels at high pressure. Thin-Walled Struct. 2002, 40, 523–536. [Google Scholar] [CrossRef]
- Falls, J.; Waters, J.K. Bending tests of inflatable dropstitch panels. In Proceedings of the 11th Annual Conference on Fast Sea Transportation, Honolulu, HI, USA, 26–29 September 2011. [Google Scholar]
- Cavallaro, P.V.; Hart, C.J.; Sadegh, A.M. Mechanics of air-inflated crop-stitch fabric panels subject to bending loads. In Proceedings of the ASME 2013 International Mechanical Engineering Congress and Exposition, San Diego, CA, USA, 15–21 November 2013. [Google Scholar]
- Davids, W.G.; Waugh, E.; Vel, S. Experimental and computational assessment of the bending behavior of inflatable drop-stitch fabric panels. Thin-Walled Struct. 2021, 167, 108178. [Google Scholar] [CrossRef]
- Lacorre, P.; Le van, A.; Bouzidi, R.; Thomas, J.-C. A plate theory for inflatable panels. Int. J. Solids Struct. 2022, 256, 111969. [Google Scholar] [CrossRef]
- Gere, J.M.; Timoshenko, S.P. Mechanics of Materials, 2nd ed.; PWS Engineering: Boston, MA, USA, 1984; p. 741. [Google Scholar]
- Crisfield, M.A. Non-Linear Finite Element Analysis of Solids and Structures, Vol. 1: Essentials; John Wiley and Sons Ltd.: West Sussex, UK, 1991; pp. 211–219. [Google Scholar]
- Crisfield, M.A. A fast incremental-iterative solution procedure that handles ‘snap-through’. Comput. Struct. 1981, 13, 55–62. [Google Scholar] [CrossRef]
- Sharpless, G.C.; Brown, G.J. Curved, Inflatable, Tubular Beam. US Patent No. 5,421,148, 6 June 1995. [Google Scholar]
- ASCE Standard 7-10; Minimum Design Loads for Buildings and Other Structures. American Society of Civil Engineers: Reston, VA, USA, 2010.
- ATSC 113: Weather for Sailing, Flying and Snow Sports. Available online: https://www.eoas.ubc.ca/courses/atsc113/snow/met_concepts/07-met_concepts/07b-newly-fallen-snow-density/ (accessed on 24 October 2023).

















Disclaimer/Publisher’s Note: The statements, opinions and data contained in all publications are solely those of the individual author(s) and contributor(s) and not of MDPI and/or the editor(s). MDPI and/or the editor(s) disclaim responsibility for any injury to people or property resulting from any ideas, methods, instructions or products referred to in the content. |
© 2023 by the author. Licensee MDPI, Basel, Switzerland. This article is an open access article distributed under the terms and conditions of the Creative Commons Attribution (CC BY) license (https://creativecommons.org/licenses/by/4.0/).
Share and Cite
Davids, W.G. Behavior of Inflatable Drop-Stitch Fabric Panels Subjected to Bending and Compression. Materials 2023, 16, 6919. https://doi.org/10.3390/ma16216919
Davids WG. Behavior of Inflatable Drop-Stitch Fabric Panels Subjected to Bending and Compression. Materials. 2023; 16(21):6919. https://doi.org/10.3390/ma16216919
Chicago/Turabian StyleDavids, William G. 2023. "Behavior of Inflatable Drop-Stitch Fabric Panels Subjected to Bending and Compression" Materials 16, no. 21: 6919. https://doi.org/10.3390/ma16216919
APA StyleDavids, W. G. (2023). Behavior of Inflatable Drop-Stitch Fabric Panels Subjected to Bending and Compression. Materials, 16(21), 6919. https://doi.org/10.3390/ma16216919

