Preparation of NaYF4:Tm, Yb, and Gd Luminescent Nanorods/SiO2 Nanospheres Composite Thin Film and Its Application in Perovskite Solar Cells
Abstract
1. Introduction
2. Materials and Methods
2.1. Synthesis of NYTYG (Y: Tm: Yb: Gd = 79.5 − x: 0.5: 20: x mol%) Nanorods
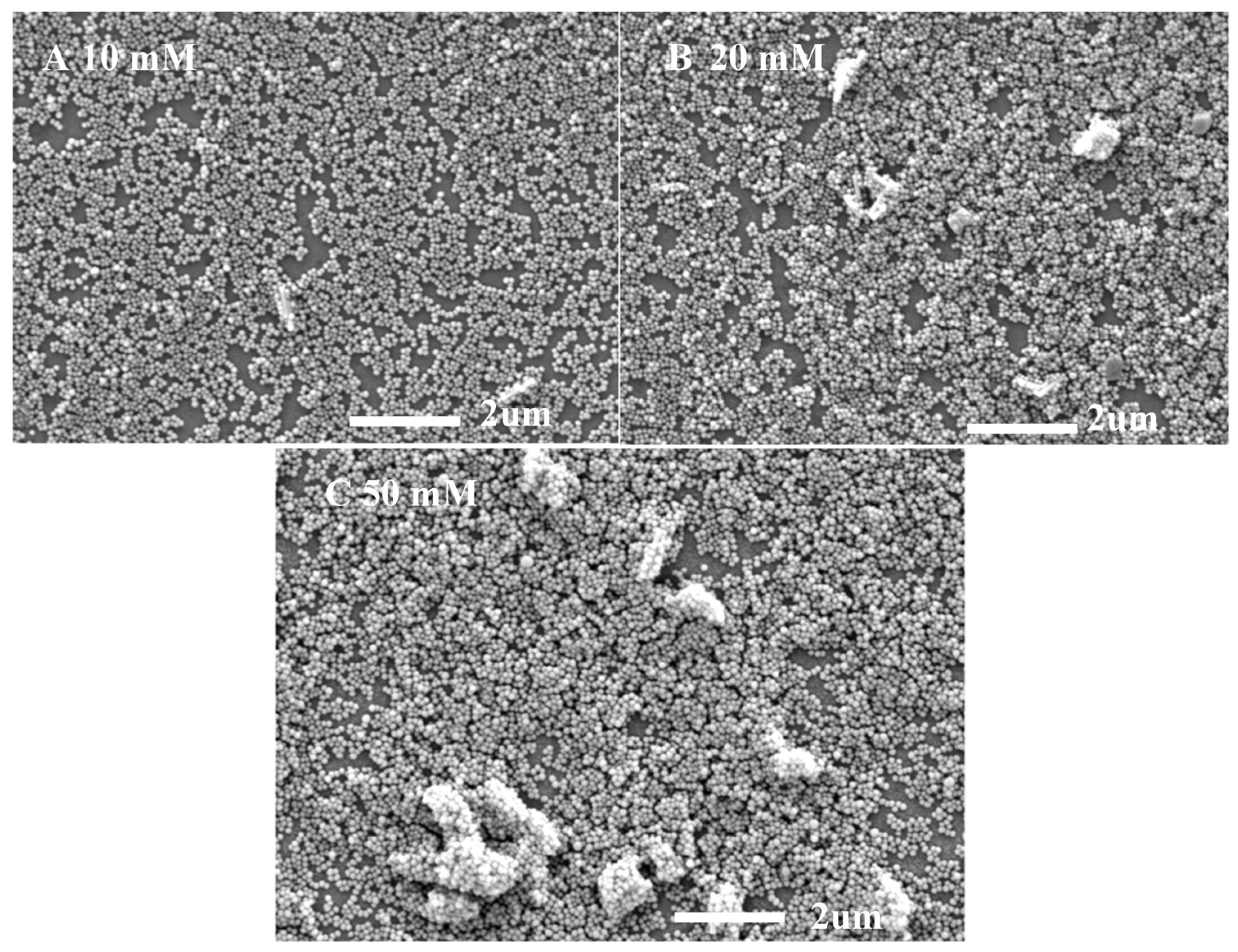
2.2. Preparation of NYTYG Photoconversion Nanorods/SiO2 Nanospheres Composite Films
2.3. Device Fabrication
2.4. Characterization
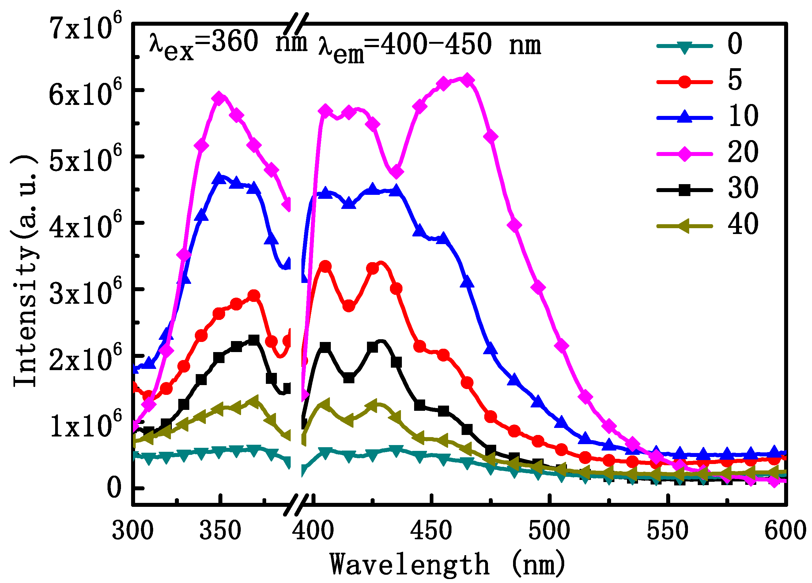
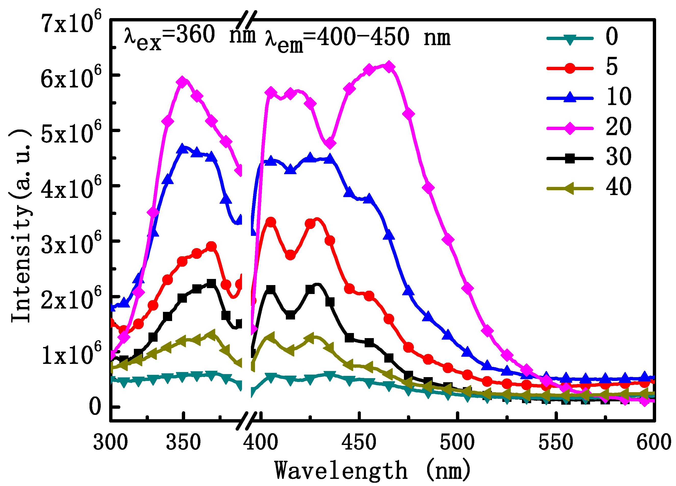
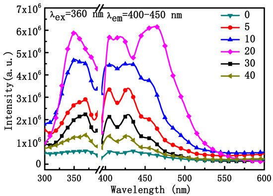
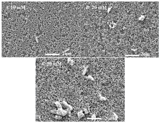
3. Results and Discussion
4. Conclusions
Author Contributions
Funding
Institutional Review Board Statement
Informed Consent Statement
Data Availability Statement
Conflicts of Interest
References
- Green, M.A.; Ho-Baillie, A.; Snaith, H.J. The emergence of perovskite solar cells. Nat. Photonics 2014, 8, 506–514. [Google Scholar] [CrossRef]
- Liu, Y.C.; Yang, Z.; Cui, D.; Ren, X.D.; Sun, J.K.; Liu, X.J.; Zhang, J.R.; Wei, Q.B.; Fan, H.B.; Yu, F.Y.; et al. Two-Inch-Sized Perovskite CH3NH3PbX3 (X = Cl, Br, I) Crystals: Growth and Characterization. Adv. Mater. 2015, 27, 5176–5183. [Google Scholar] [CrossRef] [PubMed]
- Park, N.G. Perovskite solar cells: An emerging photovoltaic technology. Mater. Today 2015, 18, 65–72. [Google Scholar] [CrossRef]
- Yin, W.J.; Shi, T.T.; Yan, Y.F. Unusual defect physics in CH3NH3PbI3 perovskite solar cell absorber. Appl. Phys. Lett. 2014, 104, 4. [Google Scholar] [CrossRef]
- Wehrenfennig, C.; Eperon, G.E.; Johnston, M.B.; Snaith, H.J.; Herz, L.M. High Charge Carrier Mobilities and Lifetimes in Organolead Trihalide Perovskites. Adv. Mater. 2014, 26, 1584–1589. [Google Scholar] [CrossRef] [PubMed]
- La-o-vorakiat, C.; Salim, T.; Kadro, J.; Khuc, M.T.; Haselsberger, R.; Cheng, L.; Xia, H.X.; Gurzadyan, G.G.; Su, H.B.; Lam, Y.M.; et al. Elucidating the role of disorder and free-carrier recombination kinetics in CH3NH3PbI3 perovskite films. Nat. Commun. 2015, 6, 7. [Google Scholar] [CrossRef]
- Stranks, S.D.; Eperon, G.E.; Grancini, G.; Menelaou, C.; Alcocer, M.J.P.; Leijtens, T.; Herz, L.M.; Petrozza, A.; Snaith, H.J. Electron-Hole Diffusion Lengths Exceeding 1 Micrometer in an Organometal Trihalide Perovskite Absorber. Science 2013, 342, 341–344. [Google Scholar] [CrossRef]
- Xing, G.C.; Mathews, N.; Sun, S.Y.; Lim, S.S.; Lam, Y.M.; Gratzel, M.; Mhaisalkar, S.; Sum, T.C. Long-Range Balanced Electron- and Hole-Transport Lengths in Organic-Inorganic CH3NH3PbI3. Science 2013, 342, 344–347. [Google Scholar] [CrossRef]
- Shi, D.; Adinolfi, V.; Comin, R.; Yuan, M.J.; Alarousu, E.; Buin, A.; Chen, Y.; Hoogland, S.; Rothenberger, A.; Katsiev, K.; et al. Low trap-state density and long carrier diffusion in organolead trihalide perovskite single crystals. Science 2015, 347, 519–522. [Google Scholar] [CrossRef]
- Xing, G.C.; Mathews, N.; Lim, S.S.; Yantara, N.; Liu, X.F.; Sabba, D.; Gratzel, M.; Mhaisalkar, S.; Sum, T.C. Low-temperature solution-processed wavelength-tunable perovskites for lasing. Nat. Mater. 2014, 13, 476–480. [Google Scholar] [CrossRef]
- Yang, B.; Dyck, O.; Poplawsky, J.; Keum, J.; Puretzky, A.; Das, S.; Ivanov, I.; Rouleau, C.; Duscher, G.; Geohegan, D.; et al. Perovskite Solar Cells with Near 100% Internal Quantum Efficiency Based on Large Single Crystalline Grains and Vertical Bulk Heterojunctions. J. Am. Chem. Soc. 2015, 137, 9210–9213. [Google Scholar] [CrossRef] [PubMed]
- Burn, P.L.; Meredith, P. The rise of the perovskites: The future of low cost solar photovoltaics. NPG Asia Mater. 2014, 6, e79. [Google Scholar] [CrossRef][Green Version]
- Docampo, P.; Ball, J.M.; Darwich, M.; Eperon, G.E.; Snaith, H.J. Efficient organometal trihalide perovskite planar-heterojunction solar cells on flexible polymer substrates. Nat. Commun. 2013, 4, 2761. [Google Scholar] [CrossRef] [PubMed]
- Li, G.; Zhu, R.; Yang, Y. Polymer solar cells. Nat. Photonics 2012, 6, 153–161. [Google Scholar] [CrossRef]
- Yan, T.; Zhang, C.; Li, S.; Wu, Y.; Sun, Q.; Cui, Y.; Hao, Y. Multifunctional Aminoglycoside Antibiotics Modified SnO2 Enabling High Efficiency and Mechanical Stability Perovskite Solar Cells. Adv. Funct. Mater. 2023, 33, 2302336. [Google Scholar] [CrossRef]
- Wei, J.; Xu, R.; Li, Y.; Li, C.; Chen, J.; Zhao, X.; Xie, Z.; Lee, C.; Zhang, W.; Tang, J. Enhanced Light Harvesting in Perovskite Solar Cells by a Bioinspired Nanostructured Back Electrode. Adv. Energy Mater. 2017, 7, 1700492. [Google Scholar] [CrossRef]
- Snaith, H.J. Perovskites: The Emergence of a New Era for Low-Cost, High-Efficiency Solar Cells. J. Phys. Chem. Lett. 2013, 4, 3623–3630. [Google Scholar] [CrossRef]
- Huang, P.S.; Du, J.; Biewer, M.C.; Stefan, M.C. Developments of furan and benzodifuran semiconductors for organic photovoltaics. J. Mater. Chem. A 2015, 3, 6244–6257. [Google Scholar] [CrossRef]
- Li, M.H.; Shao, J.Y.; Jiang, Y.; Qiu, F.Z.; Wang, S.; Zhang, J.; Han, G.; Tang, J.; Wang, F.; Wei, Z.; et al. Electrical Loss Management by Molecularly Manipulating Dopant-free Poly(3-hexylthiophene) towards 16.93 % CsPbI2Br Solar Cells. Angew. Chem. Int. Ed. 2021, 60, 16388–16393. [Google Scholar] [CrossRef]
- McMeekin, D.P.; Sadoughi, G.; Rehman, W.; Eperon, G.E.; Saliba, M.; Horantner, M.T.; Haghighirad, A.; Sakai, N.; Korte, L.; Rech, B.; et al. A mixed-cation lead mixed-halide perovskite absorber for tandem solar cells. Science 2016, 351, 151–155. [Google Scholar] [CrossRef]
- Green, M.A.; Dunlop, E.D.; Yoshita, M.; Kopidakis, N.; Bothe, K.; Siefer, G.; Hao, X. Solar cell efficiency tables (version 62). Prog. Photovolt. Res. Appl. 2023, 31, 651–663. [Google Scholar] [CrossRef]
- Ding, M.; Lu, C.; Cao, L.; Song, J.; Ni, Y.; Xu, Z. Facile synthesis of β-NaYF4: Ln3+ (Ln = Eu, Tb, Yb/Er, Yb/Tm) microcrystals with down- and up-conversion luminescence. J. Mater. Sci. 2013, 48, 4989–4998. [Google Scholar] [CrossRef]
- Chen, D.; Huang, P.; Yu, Y.; Huang, F.; Yang, A.; Wang, Y. Dopant-induced phase transition: A new strategy of synthesizing hexagonal upconversion NaYF4 at low temperature. Chem. Commun. 2011, 47, 5801–5803. [Google Scholar] [CrossRef] [PubMed]
- Li, J.; Hao, Z.; Zhang, X.; Luo, Y.; Zhao, J.; Lu, S.; Cao, J.; Zhang, J. Hydrothermal synthesis and upconversion luminescence properties of beta-NaGdF4: Yb3+/Tm3+ and beta-NaGdF4: Yb3+/Ho3+ submicron crystals with regular morphologies. J. Colloid Interface Sci. 2013, 392, 206–212. [Google Scholar] [CrossRef] [PubMed]
- Fan, S.; Wang, S.; Yu, L.; Sun, H.; Gao, G.; Hu, L. Ion-redistribution induced efficient upconversion in beta-NaYF4: 20%Yb3+, 2%Er3+ microcrystals with well controlled morphology and size. Opt. Express 2017, 25, 180–190. [Google Scholar] [CrossRef]
- Klier, D.T.; Kumke, M.U. Upconversion Luminescence Properties of NaYF4: Yb: Er Nanoparticles Codoped with Gd3+. J. Phys. Chem. C 2015, 119, 3363–3373. [Google Scholar] [CrossRef]
- Pilch, A.; Wawrzyńczyk, D.; Kurnatowska, M.; Czaban, B.; Samoć, M.; Strek, W.; Bednarkiewicz, A. The concentration dependent up-conversion luminescence of Ho3+ and Yb3+ co-doped β-NaYF4. J. Lumin. 2017, 182, 114–122. [Google Scholar] [CrossRef]
- Tong, L.; Lu, E.; Pichaandi, J.; Zhao, G.; Winnik, M.A. Synthesis of Uniform NaLnF4(Ln: Sm to Ho) Nanoparticles for Mass Cytometry. J. Phys. Chem. C 2016, 120, 6269–6280. [Google Scholar] [CrossRef]
- Ahmed, H.A.; Walshe, J.; Kennedy, M.; Confrey, T.; Doran, J.; McCormack, S.J. Enhancement in solar cell efficiency by luminescent down-shifting layers. Adv. Energy Res. 2013, 1, 117–126. [Google Scholar] [CrossRef]
- Luoshan, M.; Bai, L.; Bu, C.; Liu, X.; Zhu, Y.; Guo, K.; Jiang, R.; Li, M.; Zhao, X. Surface plasmon resonance enhanced multi-shell-modified upconversion NaYF4: Yb3+, Er3+@SiO2@Au@TiO2crystallites for dye-sensitized solar cells. J. Power Sources 2016, 307, 468–473. [Google Scholar] [CrossRef]
- Wang, J.; Niu, Y.; Hojamberdiev, M.; Alamgir, F.M.; Cai, Y.; Jacob, K. Novel triple-layered photoanodes based on TiO2 nanoparticles, TiO2 nanotubes, and β-NaYF4: Er3+, Yb3+@SiO2@TiO2 for highly efficient dye-sensitized solar cells. Sol. Energy Mater. Sol. Cells 2017, 160, 361–371. [Google Scholar] [CrossRef]
- Roh, J.; Yu, H.; Jang, J. Hexagonal beta-NaYF4: Yb3+, Er3+ Nanoprism-Incorporated Upconverting Layer in Perovskite Solar Cells for Near-Infrared Sunlight Harvesting. ACS Appl. Mater. Interfaces 2016, 8, 19847–19852. [Google Scholar] [CrossRef] [PubMed]
- He, M.; Pang, X.C.; Liu, X.Q.; Jiang, B.B.; He, Y.J.; Snaith, H.; Lin, Z.Q. Monodisperse Dual-Functional Upconversion Nanoparticles Enabled Near-Infrared Organolead Halide Perovskite Solar Cells. Angew. Chem. Int. Ed. 2016, 55, 4280–4284. [Google Scholar] [CrossRef] [PubMed]
- Que, M.D.; Que, W.X.; Yin, X.T.; Chen, P.; Yang, Y.W.; Hu, J.X.; Yu, B.Y.; Du, Y.P. Enhanced conversion efficiency in perovskite solar cells by effectively utilizing near infrared light. Nanoscale 2016, 8, 14432–14437. [Google Scholar] [CrossRef]
- Shen, J.; Li, Z.; Cheng, R.; Luo, Q.; Luo, Y.; Chen, Y.; Chen, X.; Sun, Z.; Huang, S. Eu3+ doped NaGdF4 nanocrystal down-converting layer for efficient dye sensitized solarcells. ACS Appl. Mater. Interfaces 2014, 6, 17454–17462. [Google Scholar] [CrossRef]
- Chen, X.; Xu, W.; Song, H.W.; Chen, C.; Xia, H.P.; Zhu, Y.S.; Zhou, D.L.; Cui, S.B.; Dai, Q.L.; Zhang, J.Z. Highly Efficient LiYF4: Yb3+, Er3+ Upconversion Single Crystal under Solar Cell Spectrum Excitation and Photovoltaic Application. ACS Appl. Mater. Interfaces 2016, 8, 9071–9079. [Google Scholar] [CrossRef]
- Sakhuja, M.; Son, J.; Verma, L.K.; Yang, H.; Bhatia, C.S.; Danner, A.J. Omnidirectional study of nanostructured glass packaging for solar modules. Prog. Photovolt. Res. Appl. 2014, 22, 356–361. [Google Scholar] [CrossRef]
- Raut, H.K.; Ganesh, V.A.; Nair, A.S.; Ramakrishna, S. Anti-reflective coatings: A critical, in-depth review. Energy Environ. Sci. 2011, 4, 3779. [Google Scholar] [CrossRef]
- Leem, J.W.; Kim, S.; Lee, S.H.; Rogers, J.A.; Kim, E.; Yu, J.S. Efficiency Enhancement of Organic Solar Cells Using Hydrophobic Antireflective Inverted Moth-Eye Nanopatterned PDMS Films. Adv. Energy Mater. 2014, 4, 1301315. [Google Scholar] [CrossRef]
- Ballif, C.; Dicker, J.; Borchert, D.; Hofmann, T. Solar glass with industrial porous SiO2 antireflection coating: Measurements of photovoltaic module properties improvement and modelling of yearly energy yield gain. Sol. Energy Mater. Sol. Cells 2004, 82, 331–344. [Google Scholar] [CrossRef]
- Leem, J.W.; Yu, J.S.; Heo, J.; Park, W.K.; Park, J.H.; Cho, W.J.; Kim, D.E. Nanostructured encapsulation coverglasses with wide-angle broadband antireflection and self-cleaning properties for III-V multi-junction solar cell applications. Sol. Energy Mater. Sol. Cells 2014, 120, 555–560. [Google Scholar] [CrossRef]
- Prevo, B.G.; Hwang, Y.; Velev, O.D. Convective assembly of antireflective silica coatings with controlled thickness and refractive index. Chem. Mater. 2005, 17, 3642–3651. [Google Scholar] [CrossRef]
- Szczyrbowski, J.; Brauer, G.; Teschner, G.; Zmelty, A. Antireflective coatings on large scale substrates produced by reactive twin-magnetron sputtering. J. Non-Cryst. Solids 1997, 218, 25–29. [Google Scholar] [CrossRef]
- Liu, L.Q.; Wang, X.L.; Jing, M.; Zhang, S.G.; Zhang, G.Y.; Dou, S.X.; Wang, G. Broadband and Omnidirectional, Nearly zero reflective Photovoltaic Glass. Adv. Mater. 2012, 24, 6318–6322. [Google Scholar] [CrossRef]
- Du, Y.; He, H.B.; Jin, Y.X.; Kong, F.Y.; Guan, H.Y.; Fan, Z.X. Graded porous glasses for antireflective applications formed by chemical treatment. Appl. Surf. Sci. 2012, 258, 6431–6435. [Google Scholar] [CrossRef]
- Glaubitt, W.; Lobmann, P. Antireflective coatings prepared by sol-gel processing: Principles and applications. J. Eur. Ceram. Soc. 2012, 32, 2995–2999. [Google Scholar] [CrossRef]
- Xin, C.F.; Peng, C.; Xu, Y.D.; Wu, J.Q. Effects of polysiloxane doping on transmittance and durability of sol-gel derived antireflective coatings for photovoltaic glass. Solar Energy 2012, 86, 3345–3352. [Google Scholar] [CrossRef]
- Yuchao, N.; Guowei, H.; Ying, C.; Wenwen, D.; Deming, S.; Jing, L. Fabrication of anti-reflective coatings on solar collector tubes. Adv. Mater. Res. 2011, 306, 125–129. [Google Scholar]
- Luo, Q.; Deng, X.; Zhang, C.; Yu, M.; Zhou, X.; Wang, Z.; Chen, X.; Huang, S. Enhancing photovoltaic performance of perovskite solar cells with silica nanosphere antireflection coatings. Solar Energy 2018, 169, 128–135. [Google Scholar] [CrossRef]
- Jun, S.; Me, Z.; Wu, X.; Ling, O.; Xiao, Y. Sol-gel derived SiO2 antireflective(AR) coating used in solar cells. Rare Metal Mat. Eng. 2008, 37, 47–50. [Google Scholar]
- Jiang, T.; Liu, Y.; Liu, S.; Liu, N.; Qin, W. Upconversion emission enhancement of Gd3+ ions induced by surface plasmon field in Au@NaYF4 nanostructures codoped with Gd3+–Yb3+–Tm3+ ions. J. Colloid Interface Sci. 2012, 377, 81–87. [Google Scholar] [CrossRef] [PubMed]









| Sample Concentration | Glass Substrate | NYTYG | NYG 10 mM | SiO2 | |||
|---|---|---|---|---|---|---|---|
| 5 mM | 10 mM | 20 mM | 50 mM | ||||
| Tmean (%) | 91.5 | 94.1 | 93.9 | 94.5 | 91.2 | 94.1 | 94.3 |
| Tmax (%) | 92.4 | 94.7 | 94.4 | 95.1 | 92.7 | 94.6 | 94.9 |
| Device | VOC (V) | JSC (mA/cm2) | Fill Factor (%) | Efficiency (%) |
|---|---|---|---|---|
| Control | 1.00 | 20.29 | 71.69 | 14.51 |
| NYTYG (5 mM) | 1.00 | 20.95 | 71.54 | 15.02 |
| NYTYG (10 mM) | 1.00 | 21.20 | 71.82 | 15.22 |
| NYTYG (20 mM) | 1.01 | 21.34 | 72.75 | 15.67 |
| NYTYG (50 mM) | 0.99 | 20.54 | 72.79 | 14.74 |
| NYG (10 mM) | 1.00 | 20.69 | 72.15 | 14.96 |
| SiO2 | 0.99 | 20.76 | 72.26 | 14.88 |
Disclaimer/Publisher’s Note: The statements, opinions and data contained in all publications are solely those of the individual author(s) and contributor(s) and not of MDPI and/or the editor(s). MDPI and/or the editor(s) disclaim responsibility for any injury to people or property resulting from any ideas, methods, instructions or products referred to in the content. |
© 2023 by the authors. Licensee MDPI, Basel, Switzerland. This article is an open access article distributed under the terms and conditions of the Creative Commons Attribution (CC BY) license (https://creativecommons.org/licenses/by/4.0/).
Share and Cite
Luo, Q.; Yu, J.; Deng, X.; Cao, M.; Ma, S.; Hua, Q.; Xue, D.; An, F. Preparation of NaYF4:Tm, Yb, and Gd Luminescent Nanorods/SiO2 Nanospheres Composite Thin Film and Its Application in Perovskite Solar Cells. Materials 2023, 16, 6917. https://doi.org/10.3390/ma16216917
Luo Q, Yu J, Deng X, Cao M, Ma S, Hua Q, Xue D, An F. Preparation of NaYF4:Tm, Yb, and Gd Luminescent Nanorods/SiO2 Nanospheres Composite Thin Film and Its Application in Perovskite Solar Cells. Materials. 2023; 16(21):6917. https://doi.org/10.3390/ma16216917
Chicago/Turabian StyleLuo, Qi, Jian Yu, Xueshuang Deng, Ming Cao, Shifang Ma, Qiongxin Hua, Dan Xue, and Fenghui An. 2023. "Preparation of NaYF4:Tm, Yb, and Gd Luminescent Nanorods/SiO2 Nanospheres Composite Thin Film and Its Application in Perovskite Solar Cells" Materials 16, no. 21: 6917. https://doi.org/10.3390/ma16216917
APA StyleLuo, Q., Yu, J., Deng, X., Cao, M., Ma, S., Hua, Q., Xue, D., & An, F. (2023). Preparation of NaYF4:Tm, Yb, and Gd Luminescent Nanorods/SiO2 Nanospheres Composite Thin Film and Its Application in Perovskite Solar Cells. Materials, 16(21), 6917. https://doi.org/10.3390/ma16216917

