Repairing Behaviors of Cracked Steel Plates Based on Bolted Fiber-Reinforced Polymer Plates
Abstract
:1. Introduction
2. Repair Experiment
2.1. Materials
2.2. Manufacturing and Repairing Mechanism
3. Repair Performance Analysis
3.1. Testing Results
3.2. Finite Element Models
3.3. Stress Distribution of Reference II
3.4. Effect of Preload of the Bolts
3.5. Effect of Crack Size
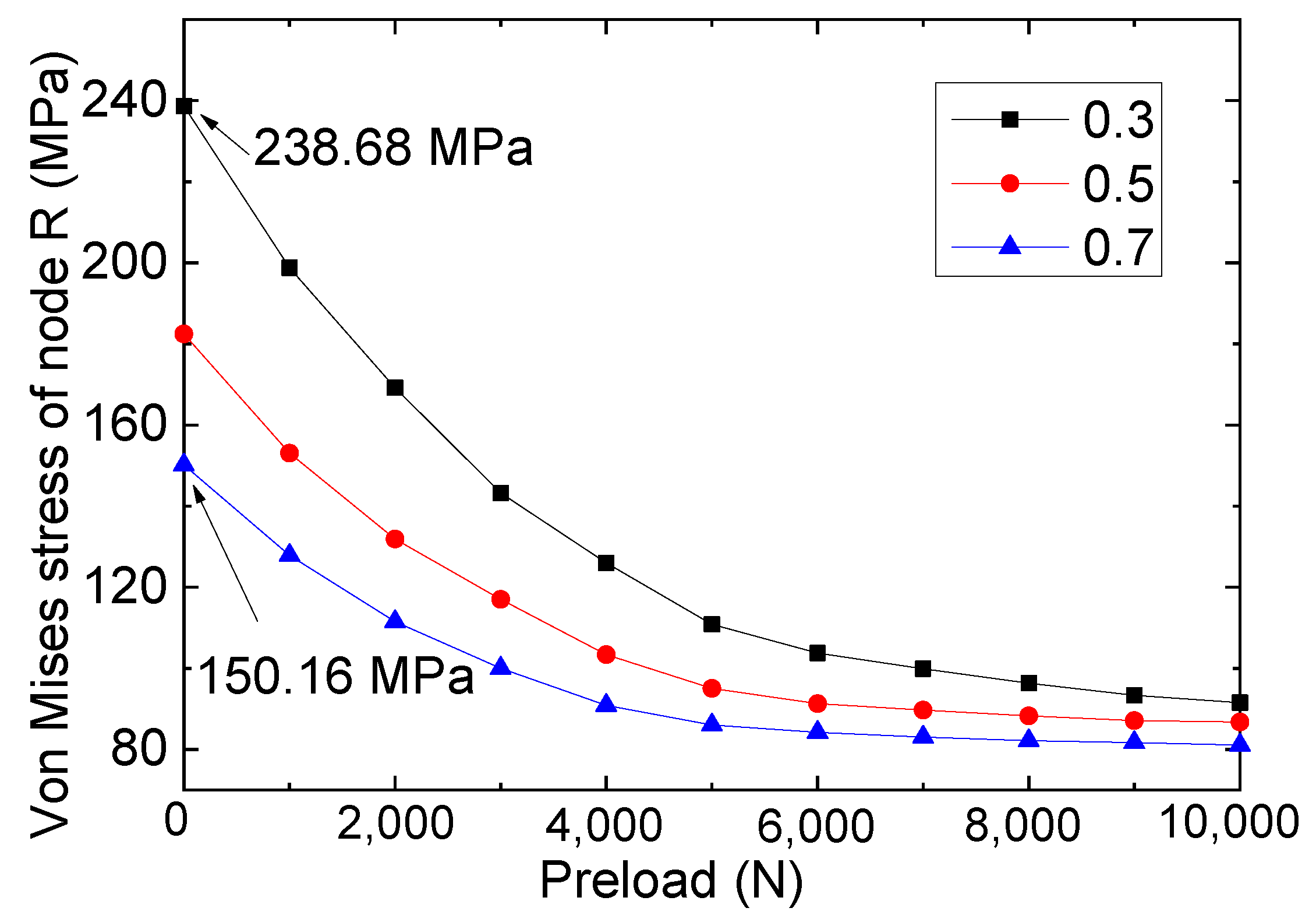
3.6. Effect of Interfacial Friction Coefficient
4. Conclusions
- By comparing the reference specimen (i.e., the pure cracked steel plate) and its corresponding repaired specimen (which was bolted with FRP plates), it was found that the bolted repairing method could significantly improve the tensile strengths of the cracked steel plates. Moreover, by examining the failure characteristics of the six specimens, composite failure modes—which included the cracking of the steel plate and bearing failure of the FRP—were observed in the repaired specimens.
- The bolt repair of the FRP plates effectively mitigated the stress concentration at the crack tip in the specimen. As a consequence, the extreme stress level occurring near the tip following strengthening measures amounted to 238.68 MPa for the bolted specimen with a 2 mm width crack, which is significantly lower than that of the reference specimen (pure cracked specimen with a 2 mm width crack).
- The discussion of the effect of the preloads of the bolts revealed that the pre-tightening force of bolts played a crucial role in influencing the stress magnitude within a specimen’s crack area. As the pre-tightening force increases, the stress levels within the crack area gradually trend upwards, and the change in the von Mises stress for node R can be modeled kinetically with a cubic function curve.
- The mechanical performance of the specimen will be affected by the interface friction coefficient, and as the interface friction coefficient increases (from 0.3 to 0.7), the stress of node R gradually decreases accordingly. In addition, based on the discussion on the working conditions featuring higher preloads (such as when the preloads were 10,000 N), it was concluded that the use of a higher bolt preload can help to eliminate the performance difference of the overall component caused by interface treatment errors. It is worth noting that this study mainly studied the repairing/strengthening effects of bolted specimens of FRP and cracked steel plates; however, the relaxation effects of bolted structures under vibrational loads may result in different performances, and the influences of relaxation effects require additional investigation in future studies.
Author Contributions
Funding
Institutional Review Board Statement
Informed Consent Statement
Data Availability Statement
Conflicts of Interest
References
- Wang, Q.; Wang, L.; JI, B.; Fu, Z. Modified effective notch stress method for fatigue evaluation of rib-deck welds integrating the critical distance approach. J. Constr. Steel Res. 2022, 196, 107373. [Google Scholar]
- Duan, M.; Zhang, S.; Wang, X.; Dong, F. Mechanical behavior in perfobond rib shear connector with UHPC-steel composite structure with coarse aggregate. KSCE J. Civ. Eng. 2020, 24, 1255–1267. [Google Scholar] [CrossRef]
- Duan, M.; Zou, X.; Bao, Y.; Li, G.; Chen, Y.; Li, Z. Experimental investigation of headed studs in steel-ultra-high performance concrete (UHPC) composite sections. Eng. Struct. 2022, 270, 114875. [Google Scholar] [CrossRef]
- Liu, J.; Guo, T.; Feng, D.; Liu, Z. Fatigue Performance of Rib-to-Deck Joints Strengthened with FRP Angles. ASCE’s J. Bridge Eng. 2018, 23, 04018060. [Google Scholar] [CrossRef]
- Rashnooie, R.; Zeinoddini, M.; Ahmadpour, F.; Aval, S.B.; Chen, T. A coupled XFEM fatigue modelling of crack growth, delamination and bridging in FRP strengthened metallic plates. Eng. Fract. Mech. 2023, 279, 109017. [Google Scholar] [CrossRef]
- Mohan, A.; Poobal, S. Crack detection using image processing: A critical review and analysis. Alex. Eng. J. 2018, 57, 787–798. [Google Scholar] [CrossRef]
- Hollaway, L.C. A review of the present and future utilisation of FRP composites in the civil infrastructure with reference to their important in-service properties. Constr. Build. Mater. 2010, 24, 2419–2445. [Google Scholar] [CrossRef]
- Wei, Y.; Zhang, Y.; Chai, J.; Wu, G.; Dong, Z. Experimental investigation of rectangular concrete-filled fiber reinforced polymer (FRP)-steel composite tube columns for various corner radii. Compos. Struct. 2020, 244, 112311. [Google Scholar] [CrossRef]
- Cristescu, N.D.; Craciun, E.M.; Soós, E. Mechanics of Elastic Composites; CRC Press: Boca Raton, FL, USA, 2003; Volume 1. [Google Scholar]
- Lepretre, E.; Chataigner, S.; Dieng, L.; Gaillet, L. Stress intensity factor assessment for the reinforcement of cracked steel plates using prestressed or non-prestressed adhesively bonded CFRP. Materials 2021, 14, 1625. [Google Scholar] [CrossRef]
- Craciun, E.M. Energy criteria for crack propagation in pre-stressed elastic composites. In Lecture Notes on Composite Materials: Current Topics and Achievements; Springer: Dordrecht, The Netherlands, 2009; pp. 193–237. [Google Scholar]
- Shi, X.; Guo, T.; Song, L.; Yang, J. Cyclic load tests and finite element modeling of self-centering hollow-core FRP-concrete-steel bridge columns. Alex. Eng. J. 2023, 70, 301–314. [Google Scholar] [CrossRef]
- Wei, Y.; Bai, J.; Zhang, Y.; Miao, K.; Zheng, K. Compressive performance of high-strength seawater and sea sand concrete-filled circular FRP-steel composite tube columns. Eng. Struct. 2021, 240, 112357. [Google Scholar] [CrossRef]
- Bocciarelli, M. A new cohesive law for the simulation of crack propagation under cyclic loading. Application to steel-and concrete-FRP bonded interface. Theor. Appl. Fract. Mech. 2021, 114, 102992. [Google Scholar] [CrossRef]
- Zhao, X.-L.; Zhang, L. State-of-the-art review on FRP strengthened steel structures. Eng. Struct. 2007, 29, 1808–1823. [Google Scholar] [CrossRef]
- Yun, Y.; Wu, Y.F.; Tang, W.C. Performance of FRP bonding systems under fatigue loading. Eng. Struct. 2008, 30, 3129–3140. [Google Scholar] [CrossRef]
- Wang, J.; Xiong, Y.; Li, Q.; Jin, D.; Hu, Y.; Che, T. Experimental investigation on the preparation and surface treatment of biomass fibers for stone mastic asphalt mixtures modification. Constr. Build. Mater. 2023, 408, 133667. [Google Scholar] [CrossRef]
- Saleem, M. Multiple crack extension model of steel anchor bolts subjected to impact loading. Constr. Build. Mater. 2018, 180, 364–374. [Google Scholar] [CrossRef]
- Hai, N.D.; Mutsuyoshi, H. Structural behavior of double-lap joints of steel splice plates bolted/bonded to pultruded hybrid CFRP/GFRP laminates. Constr. Build. Mater. 2012, 30, 347–359. [Google Scholar] [CrossRef]
- Feroldi, F.; Russo, S. Structural behavior of all-FRP beam-column plate-bolted joints. J. Compos. Constr. 2016, 20, 04016004. [Google Scholar] [CrossRef]
- Sweedan, A.M.I.; El-Sawy, K.M.; Mohammed, M.A.A. Interfacial behavior of mechanically anchored FRP laminates for strengthening steel beams. J. Constr. Steel Res. 2013, 80, 332–345. [Google Scholar] [CrossRef]
- Satasivam, S.; Feng, P.; Bai, Y.; Caprani, C. Composite actions within steel-FRP composite beam systems with novel blind bolt shear connections. Eng. Struct. 2017, 138, 63–73. [Google Scholar] [CrossRef]
- Abdelkerim, D.S.; Wang, X.; Ibrahim, H.A.; Wu, Z. Static and fatigue behavior of pultruded FRP multi-bolted joints with basalt FRP and hybrid steel-FRP bolts. Compos. Struct. 2019, 220, 324–337. [Google Scholar] [CrossRef]
- Olivier, G.; Csillag, F.; Christoforidou, A.; Tromp, L.; Veltkamp, M.; Pavlovic, M. Feasibility of bolted connectors in hybrid FRP-steel structures. Constr. Build. Mater. 2023, 383, 131100. [Google Scholar] [CrossRef]
- Mandal, B.; Anupam, C. Numerical failure assessment of multi-bolt FRP composite joints with varying sizes and preloads of bolts. Compos. Struct. 2018, 187, 169–178. [Google Scholar] [CrossRef]
- Yang, K.; Bai, Y.; Ding, C.T.; Kong, S.Y. Comparative study on·mechanical performance of bolted joints with steel and fibre-reinforced polymer bolts. J. Build. Eng. 2021, 41, 102457. [Google Scholar] [CrossRef]
- McCarthy, C.T.; McCarthy, M.A.; Stanley, W.F.; Lawlor, V.P. Experiences with modeling friction in composite bolted joints. J. Compos. Mater. 2005, 39, 1881–1908. [Google Scholar] [CrossRef]
- Meresht, E.S.; Farahani, T.S.; Neshati, J. Failure analysis of stress corrosion cracking occurred in a gas transmission steel pipeline. Eng. Fail. Anal. 2022, 18, 963–970. [Google Scholar] [CrossRef]
- Mohtadi-Bonab, M.A.; Ghesmati-Kucheki, H. Important factors on the failure of pipeline steels with focus on hydrogen induced cracks and improvement of their resistance. Met. Mater. Int. 2019, 25, 1109–1134. [Google Scholar] [CrossRef]












| Mechanical Property | GFRP | Steel Plates | Steel Bolts |
|---|---|---|---|
| Young’s modulus (GPa) | 20.22 (longitudinal direction) 12.39 (transversal direction) 13.66 (thickness direction) | 203 | 202 |
| Strength (MPa) | 537.86 (longitudinal direction) 303.24 (transversal direction) 327.43 (thickness direction) | 364 (yield strength) 542 (tensile strength) | 645 (shear strength) |
| Poisson’s ratio | 0.37 | 0.30 | 0.30 |
| Specimen | a and b and c/mm | Tensile Strength/N | Failure Mode |
|---|---|---|---|
| Type I | 40 and 20 and 1 | 1298 | Cracking of steel plate +shear-out failure of FRP |
| Type II | 40 and 20 and 2 | 1573 | Cracking of steel plate +shear-out failure of FRP |
| Type III | 40 and 20 and 3 | 1750 | Cracking of steel plate +shear-out failure of FRP |
| Reference I | 40 and 20 and 1 | 813 | Cracking of steel plate |
| Reference II | 40 and 20 and 2 | 1038 | Cracking of steel plate |
| Reference III | 40 and 20 and 3 | 1204 | Cracking of steel plate |
Disclaimer/Publisher’s Note: The statements, opinions and data contained in all publications are solely those of the individual author(s) and contributor(s) and not of MDPI and/or the editor(s). MDPI and/or the editor(s) disclaim responsibility for any injury to people or property resulting from any ideas, methods, instructions or products referred to in the content. |
© 2023 by the authors. Licensee MDPI, Basel, Switzerland. This article is an open access article distributed under the terms and conditions of the Creative Commons Attribution (CC BY) license (https://creativecommons.org/licenses/by/4.0/).
Share and Cite
Liu, J.; Wang, H.; Wei, Y.; Han, D.; Xiang, Y. Repairing Behaviors of Cracked Steel Plates Based on Bolted Fiber-Reinforced Polymer Plates. Materials 2023, 16, 6773. https://doi.org/10.3390/ma16206773
Liu J, Wang H, Wei Y, Han D, Xiang Y. Repairing Behaviors of Cracked Steel Plates Based on Bolted Fiber-Reinforced Polymer Plates. Materials. 2023; 16(20):6773. https://doi.org/10.3390/ma16206773
Chicago/Turabian StyleLiu, Jie, Haobo Wang, Yang Wei, Daguang Han, and Yunfei Xiang. 2023. "Repairing Behaviors of Cracked Steel Plates Based on Bolted Fiber-Reinforced Polymer Plates" Materials 16, no. 20: 6773. https://doi.org/10.3390/ma16206773
APA StyleLiu, J., Wang, H., Wei, Y., Han, D., & Xiang, Y. (2023). Repairing Behaviors of Cracked Steel Plates Based on Bolted Fiber-Reinforced Polymer Plates. Materials, 16(20), 6773. https://doi.org/10.3390/ma16206773

