Enhancement of Hydration Activity and Microstructure Analysis of γ-C2S
Abstract
:1. Introduction
2. Materials and Methods
2.1. Synthesis of γ-C2S and Characterization
2.2. Testing Methods
3. Results and Discussion
3.1. Heat of Hydration Analysis
3.2. XRD
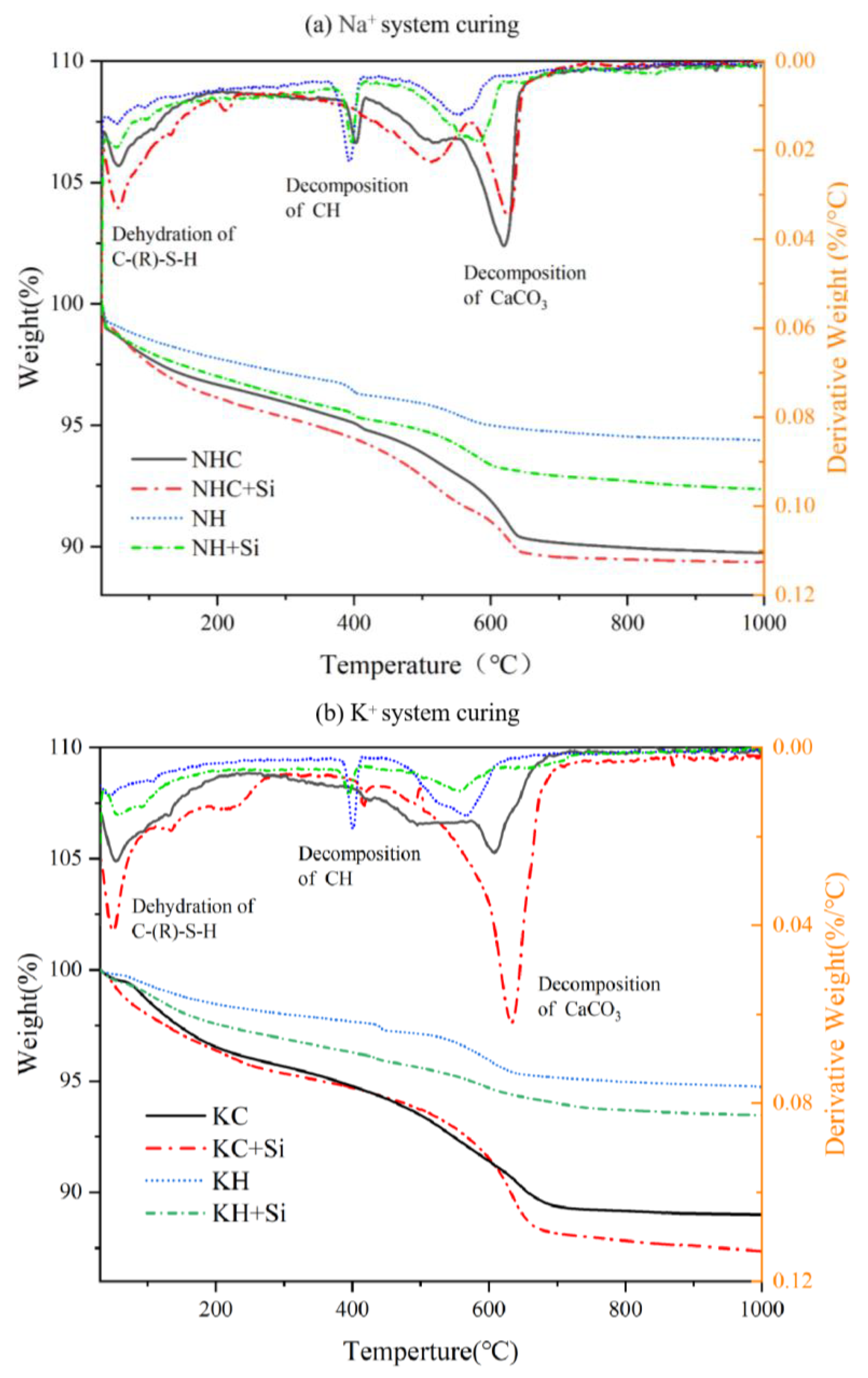
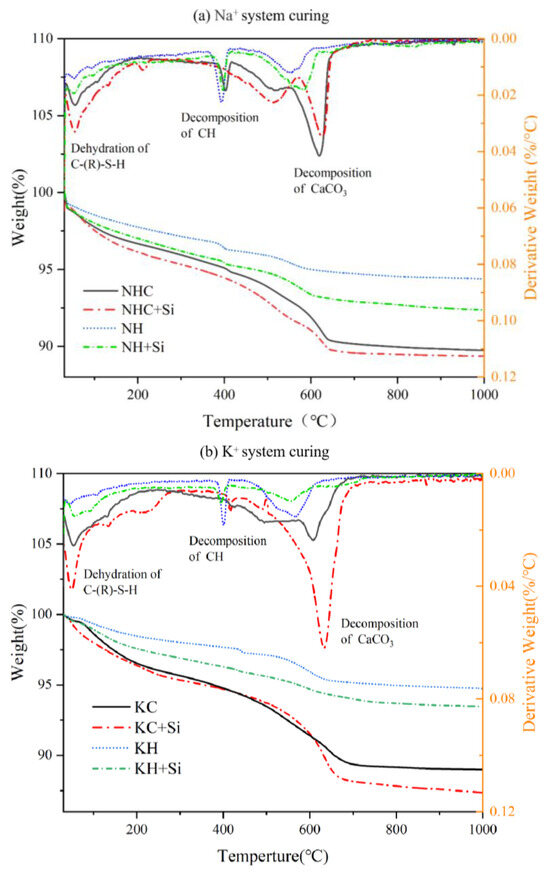
3.3. Thermal Analysis
3.4. Microstructure and EDS Energy Spectrum Analysis
3.5. 29Si MAS NMR Analysis
4. Conclusions
- The highest total heat release during the first 3 days of hydration is observed with the Na2CO3 activator, followed by the K2CO3 and KOH activators, and the lowest cumulative heat release is for the NaOH activator. The cumulative exothermic capacity of the chemically activated samples can be significantly increased with the inclusion of nano-SiO2.
- The primary products of γ-C2S slurry activated with chemical activators are C-(R)-S-H gels, calcium carbonate, and portlandite. Nano-SiO2 primarily serves as a seed to provide nucleation sites for the growth of γ-C2S hydration products. It does not alter the hydration product type but reduces the Ca/Si ratio of the hydrated product (C-(R)-S-H gel). The morphology of C-(R)-S-H gels is influenced by the Ca/Si and the type of chemical activator.
- 29Si NMR spectroscopy shows that the C-(R)-S-H phase mainly comprises Q1 (end chain) and Q2 (bridging silicate tetrahedra) with a structure similar to C-S-H. Variations in the calcium–silica ratio impact the degree of C-(R)-S-H polymerization. The decalcification reaction induced by nano-SiO2 can effectively increase the degree of C-(R)-S-H polymerization and form favorable structures.
- K2CO3 exhibits the most effective activation effect on γ-C2S, while NaOH displays the worst. It is confirmed by measurement methods (TGA, SEM, and NMR) that KC+Si-activated γ-C2S has the highest total hydration after 28 days of sample reaction. Under the combination of K2CO3 and nano-SiO2 (KC+Si group), the 28-day hydration degree of γ-C2S slurry can reach up to 48%. The NHC+Si group achieves approximately 37% hydration, while the KH+Si and NH+Si groups are only about 20% after the same hydration duration.
Author Contributions
Funding
Institutional Review Board Statement
Informed Consent Statement
Data Availability Statement
Conflicts of Interest
References
- Mu, Y.D.; Liu, Z.C.; Wang, F.Z.; Huang, X. Carbonation characteristics of gamma-dicalcium silicate for low-carbon building material. Constr. Build. Mater. 2018, 177, 322–331. [Google Scholar] [CrossRef]
- Supriya; Chaudhury, R.; Sharma, U.; Thapliyal, P.C.; Singh, L.P. Low-CO2 emission strategies to achieve net zero target in cement sector. J. Clean. Prod. 2023, 417, 137466. [Google Scholar] [CrossRef]
- Sharma, R.; Pei, J.; Jang, J.G. Microstructural evolution of belite-rich cement mortar subjected to water, carbonation, and hybrid curing regime. Cem. Concr. Compos. 2023, 139, 105028. [Google Scholar] [CrossRef]
- Chang, J.; Jiang, T.; Cui, K. Influence on compressive strength and CO2 capture after accelerated carbonation of combination β-C2S with γ-C2S. Constr. Build. Mater. 2021, 312, 125359. [Google Scholar] [CrossRef]
- Jiang, T.; Cui, K.; Chang, J. Development of low-carbon cement: Carbonation of compounded C2S by β-C2S and γ-C2S. Cem. Concr. Compos. 2023, 139, 105071. [Google Scholar] [CrossRef]
- Kriskova, L.; Pontikes, Y.; Zhang, F.; Cizer, Ö.; Jones, P.T.; Van Balen, K.; Blanpain, B. Influence of mechanical and chemical activation on the hydraulic properties of gamma dicalcium silicate. Cem. Concr. Res. 2014, 55, 59–68. [Google Scholar] [CrossRef]
- Ashraf, W. Microstructure of chemically activated gamma-dicalcium silicate paste. Constr. Build. Mater. 2018, 185, 617–627. [Google Scholar] [CrossRef]
- Zhang, J.; Zhang, W.; Ye, J.; Ren, X.; Liu, L.; Shen, W. Influence of alkaline carbonates on the hydration characteristics of β-C2S. Constr. Build. Mater. 2021, 296, 123661. [Google Scholar] [CrossRef]
- El Fami, N.; Ez-zaki, H.; Diouri, A.; Sassi, O.; Boukhari, A. Improvement of hydraulic and mechanical properties of dicalcium silicate by alkaline activation. Constr. Build. Mater. 2020, 247, 118589. [Google Scholar] [CrossRef]
- Rashad, A.M. Effects of ZnO2, ZrO2, Cu2O3, CuO, CaCO3, SF, FA, cement and geothermal silica waste nanoparticles on properties of cementitious materials—A short guide for Civil Engineer. Constr. Build. Mater. 2013, 48, 1120–1133. [Google Scholar] [CrossRef]
- Chen, J.; Kou, S.-c.; Poon, C.-s. Hydration and properties of nano-TiO2 blended cement composites. Cem. Concr. Compos. 2012, 34, 642–649. [Google Scholar] [CrossRef]
- Zhao, S.; Liu, Z.; Wang, F. Carbonation reactivity enhancement of γ-C2S through biomineralization. J. CO2 Util. 2020, 39, 101183. [Google Scholar] [CrossRef]
- Bai, S.; Guan, X.; Li, G. Early-age hydration heat evolution and kinetics of Portland cement containing nano-silica at different temperatures. Constr. Build. Mater. 2022, 334, 127363. [Google Scholar] [CrossRef]
- Goyal, R.; Verma, V.; Singh, N.B. Effect of nano TiO2 & ZnO on the hydration properties of Portland cement. Mater. Today Proc. 2022, 65, 1956–1963. [Google Scholar] [CrossRef]
- Singh, L.P.; Bhattacharyya, S.K.; Shah, S.P.; Mishra, G.; Ahalawat, S.; Sharma, U. Studies on early stage hydration of tricalcium silicate incorporating silica nanoparticles: Part I. Constr. Build. Mater. 2015, 74, 278–286. [Google Scholar] [CrossRef]
- Yang, F.; Xie, J.; Wang, W.; Wang, W.; Wang, Z. The role of nano-TiO2 on the mechanical properties and hydration behavior of C2S, C3S and C4A3. Constr. Build. Mater. 2023, 388, 131558. [Google Scholar] [CrossRef]
- Thomas, J.J.; Ghazizadeh, S.; Masoero, E. Kinetic mechanisms and activation energies for hydration of standard and highly reactive forms of β-dicalcium silicate (C2S). Cem. Concr. Res. 2017, 100, 322–328. [Google Scholar] [CrossRef]
- AlTawaiha, H.; Alhomaidat, F.; Eljufout, T. A Review of the Effect of Nano-Silica on the Mechanical and Durability Properties of Cementitious Composites. Infrastructures 2023, 8, 132. [Google Scholar] [CrossRef]
- Golewski, G.L. Combined Effect of Coal Fly Ash (CFA) and Nanosilica (nS) on the Strength Parameters and Microstructural Properties of Eco-Friendly Concrete. Energies 2023, 16, 452. [Google Scholar] [CrossRef]
- Tu, W.; Zhu, Y.; Fang, G.; Wang, X.; Zhang, M. Internal curing of alkali-activated fly ash-slag pastes using superabsorbent polymer. Cem. Concr. Res. 2019, 116, 179–190. [Google Scholar] [CrossRef]
- Althoey, F.; Zaid, O.; Martínez-García, R.; Alsharari, F.; Ahmed, M.; Arbili, M.M. Impact of Nano-silica on the hydration, strength, durability, and microstructural properties of concrete: A state-of-the-art review. Case Stud. Constr. Mater. 2023, 18, e01997. [Google Scholar] [CrossRef]
- Ihli, J.; Wong, W.C.; Noel, E.H.; Kim, Y.-Y.; Kulak, A.N.; Christenson, H.K.; Duer, M.J.; Meldrum, F.C. Dehydration and crystallization of amorphous calcium carbonate in solution and in air. Nat. Commun. 2014, 5, 3169. [Google Scholar] [CrossRef] [PubMed]
- Goñi, S.; Puertas, F.; Hernández, M.S.; Palacios, M.; Guerrero, A.; Dolado, J.S.; Zanga, B.; Baroni, F. Quantitative study of hydration of C3S and C2S by thermal analysis. J. Therm. Anal. Calorim. 2010, 102, 965–973. [Google Scholar] [CrossRef]
- Xu, J.; Yang, H.; Yang, Z.; Huang, M.; Zhang, Y.; Yang, C. The effect of TiO2@CoAl-LDH nanosphere on early hydration of cement and its photocatalytic depollution performance under UV–visible light. Constr. Build. Mater. 2022, 319, 126227. [Google Scholar] [CrossRef]
- Ashraf, W.; Olek, J. Elucidating the accelerated carbonation products of calcium silicates using multi-technique approach. J. CO2 Util. 2018, 23, 61–74. [Google Scholar] [CrossRef]
- Yuan, B.; Yang, S.; Xu, B.; Qiao, X.; Duan, J. Effects of amorphous nano-silica on hydration products of tricalcium silicate at 80 °C. Constr. Build. Mater. 2023, 370, 130716. [Google Scholar] [CrossRef]
- Martins, G.L.O.; Fraga, Y.S.B.; de Paula, A.; Rêgo, J.H.d.S.; Terrades, A.M.; Rojas, M.F. Analysis of the Microstructure and Porosity of Cement Pastes with Functionalized Nanosilica with Different Contents of Aminosilane. Materials 2023, 16, 5675. [Google Scholar] [CrossRef]
- Feng, X.X.; Feng, N. Investigation of the binding forms of the alkalis in C-S-H. Jianzhu Cailiao Xuebao/J. Build. Mater. 2004, 7, 3479–3486. [Google Scholar]
- Liu, H.; Yu, Y.; Liu, H.; Jin, J.; Liu, S. Hybrid effects of nano-silica and graphene oxide on mechanical properties and hydration products of oil well cement. Constr. Build. Mater. 2018, 191, 311–319. [Google Scholar] [CrossRef]
- Wei, T.; Cheng, X.; Liu, H.; Zhang, H.; Zhang, L.; Mei, K.; Zhang, C.; Liu, K.; Zhuang, J. Crystallization of tricalcium silicate blended with different silica powder dosages at high temperature. Constr. Build. Mater. 2022, 316, 125884. [Google Scholar] [CrossRef]
- Hansen, M.R.; Jakobsen, H.J.; Skibsted, J. 29Si chemical shift anisotropies in calcium silicates from high-field 29Si MAS NMR spectroscopy. Inorg. Chem. 2003, 42, 2368–2377. [Google Scholar] [CrossRef] [PubMed]
- Richardson, I.G. The nature of C-S-H in hardened cements. Cem. Concr. Res. 1999, 29, 1131–1147. [Google Scholar] [CrossRef]
- He, Y.; Zhao, X.; Lu, L.; Struble, L.J.; Hu, S. Effect of C/S ratio on morphology and structure of hydrothermally synthesized calcium silicate hydrate. J. Wuhan Univ. Technol. -Mater. Sci. Ed. 2011, 26, 770–773. [Google Scholar] [CrossRef]
- Bach, T.T.H.; Chabas, E.; Pochard, I.; Cau Dit Coumes, C.; Haas, J.; Frizon, F.; Nonat, A. Retention of alkali ions by hydrated low-pH cements: Mechanism and Na+/K+ selectivity. Cem. Concr. Res. 2013, 51, 14–21. [Google Scholar] [CrossRef]
- Intararit, N.; Asavapisit, S.; Sinyoung, S.; Kunchariyakun, K. Effect of Na2SiO3 and Na2CO3 on hydration properties of dicalcium silicate prepared from black rice husk ash. J. Appl. Sci. 2017, 16, 68–74. [Google Scholar] [CrossRef]
- Kunther, W.; Ferreiro, S.; Skibsted, J. Influence of the Ca/Si ratio on the compressive strength of cementitious calcium-silicate-hydrate binders. J. Mater. Chem. A 2017, 5, 17401–17412. [Google Scholar] [CrossRef]
- Aghaee, K.; Khayat, K.H. Effect of internal curing and shrinkage-mitigating materials on microstructural characteristics of fiber-reinforced mortar. Constr. Build. Mater. 2023, 386, 131527. [Google Scholar] [CrossRef]
- Lothenbach, B.; Scrivener, K.; Hooton, R.D. Supplementary cementitious materials. Cem. Concr. Res. 2011, 41, 1244–1256. [Google Scholar] [CrossRef]










| Sample Name | IQn(%) | MCL | α (%) | ||
|---|---|---|---|---|---|
| IQ0 | IQ1 | IQ2 | |||
| NHC+Si | 63.42 | 20.43 | 16.15 | 3.58 | 36.58 |
| NH+Si | 86.98 | 5.10 | 7.92 | 5.11 | 13.02 |
| KC+Si | 52.22 | 25.00 | 22.78 | 3.82 | 47.78 |
| KH+Si | 76.82 | 7.56 | 15.62 | 6.13 | 23.18 |
Disclaimer/Publisher’s Note: The statements, opinions and data contained in all publications are solely those of the individual author(s) and contributor(s) and not of MDPI and/or the editor(s). MDPI and/or the editor(s) disclaim responsibility for any injury to people or property resulting from any ideas, methods, instructions or products referred to in the content. |
© 2023 by the authors. Licensee MDPI, Basel, Switzerland. This article is an open access article distributed under the terms and conditions of the Creative Commons Attribution (CC BY) license (https://creativecommons.org/licenses/by/4.0/).
Share and Cite
Yan, Z.; Jiang, Y.; Yin, K.; Wang, L.; Pan, T. Enhancement of Hydration Activity and Microstructure Analysis of γ-C2S. Materials 2023, 16, 6762. https://doi.org/10.3390/ma16206762
Yan Z, Jiang Y, Yin K, Wang L, Pan T. Enhancement of Hydration Activity and Microstructure Analysis of γ-C2S. Materials. 2023; 16(20):6762. https://doi.org/10.3390/ma16206762
Chicago/Turabian StyleYan, Ziyue, Yaqing Jiang, Kangting Yin, Limeng Wang, and Tinghong Pan. 2023. "Enhancement of Hydration Activity and Microstructure Analysis of γ-C2S" Materials 16, no. 20: 6762. https://doi.org/10.3390/ma16206762
APA StyleYan, Z., Jiang, Y., Yin, K., Wang, L., & Pan, T. (2023). Enhancement of Hydration Activity and Microstructure Analysis of γ-C2S. Materials, 16(20), 6762. https://doi.org/10.3390/ma16206762
