Study on the Effect of Freeze–Thaw Action on the Electrical Conductivity and Sensing Properties of Graphene-Based Cement Composites
Abstract
1. Introduction
2. Materials and Methods
2.1. Materials
2.1.1. Cement
2.1.2. Silica Fume
2.1.3. Graphene
2.1.4. Mixing Water
2.1.5. Admixtures
2.2. Specimen Preparation
2.3. Test Methods
2.3.1. Freeze–Thaw Test
2.3.2. Electrical Resistivity Measurement
2.3.3. Humidity Sensitivity Test
2.3.4. Thermosensitivity Test
2.3.5. Pressure Sensitivity Test
3. Results and Discussion
3.1. Electrical Conductivity
3.1.1. Polarization Effect
3.1.2. Percolation Threshold
3.1.3. Microscopic Analysis of the Effect of Freeze–Thaw on Electrical Conductivity
3.2. Humidity Sensitivity Property
3.2.1. Influence of Freeze–Thaw on Polarization Effect under Different Humidity
3.2.2. Effect of Freeze–Thaw on Electrical Resistivity under Different Humidity
3.3. Thermosensitive Property
3.3.1. Influence of Freeze–Thaw on Polarization Effect at Different Temperatures
3.3.2. Influence of Freeze–Thaw on Electrical Resistivity under a Single Heating
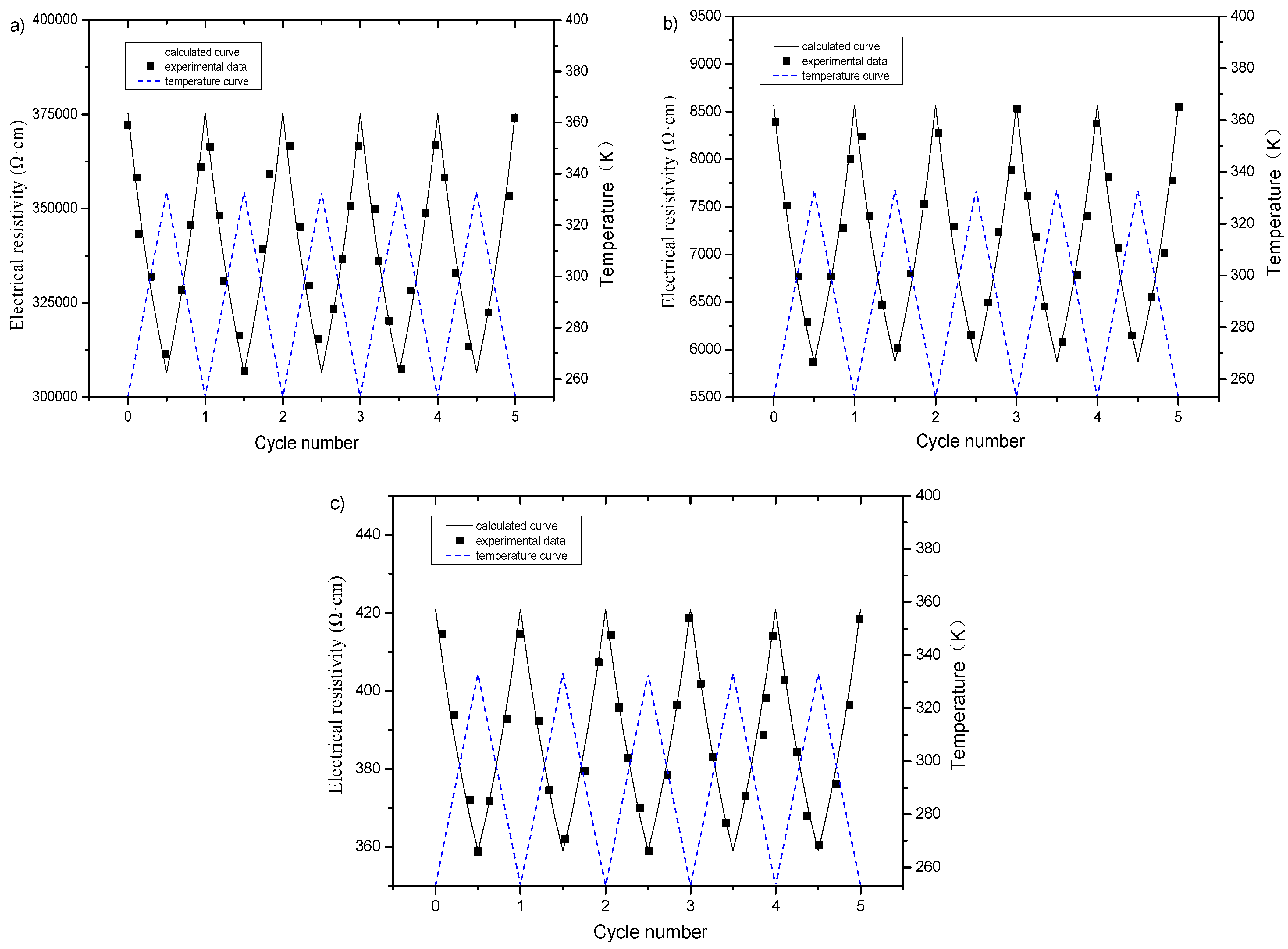
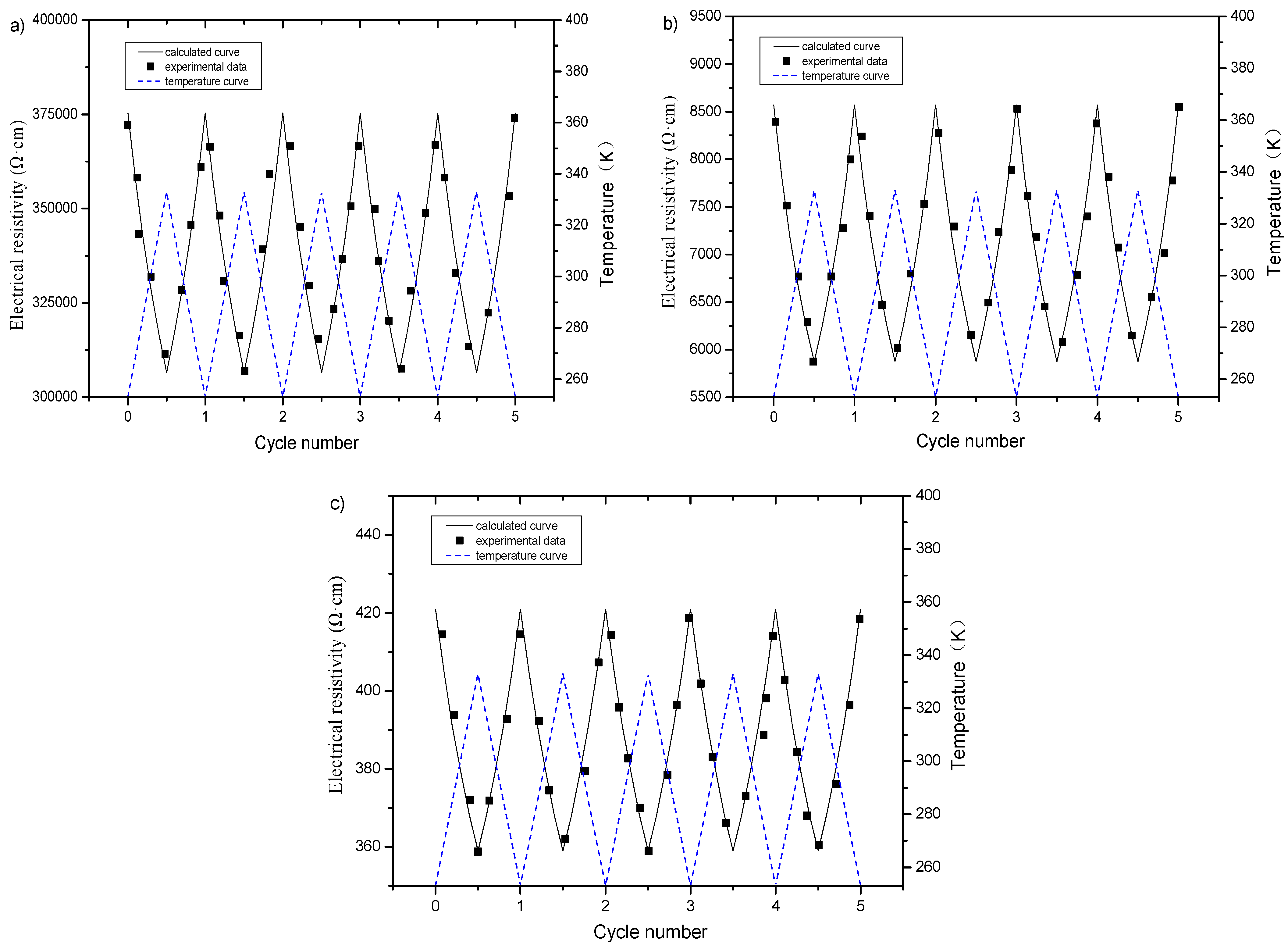
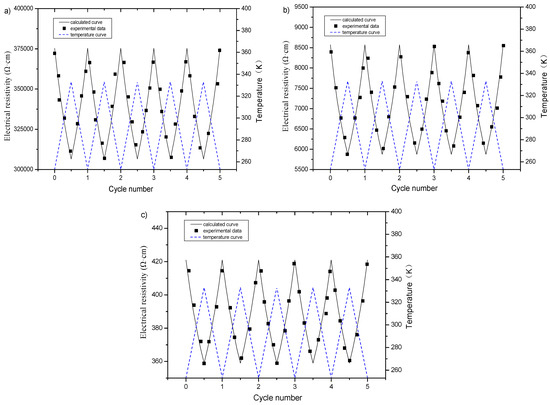
3.3.3. Influence of Freeze–Thaw on Electrical Resistivity under Cyclic Temperature Rise and Fall
3.4. Pressure-Sensitive Property
3.4.1. Influence of Freeze–Thaw on Electrical Resistivity under Monotonic Loading
3.4.2. Influence of Freeze–Thaw on Electrical Resistivity under Cyclic Loading
Different Loading Amplitudes
Different Loading Rates
4. Conclusions
- (1).
- The influence of freeze–thaw on the electrical conductivity of graphene is mainly manifested in the influence on the electrical resistivity and the extension of the polarization time, and the influence on the percolation transition zone is small. Freeze–thaw leads to an increase in electrical resistivity, which is positively correlated with the number of freeze–thaw cycles.
- (2).
- With the increase of freeze–thaw cycles, the cracks in the matrix increase, the crack width becomes larger, and the gel becomes loose. The water in the pores freezes and expands, making the pore size larger, generating new pores, and increasing the matrix porosity. More pores are generated in the matrix, which reduces the ionic conductivity of the composite with graphene content in zone A, increases the spacing of graphene particles in the composite with graphene content in zone B, resulting in a decrease in its tunneling conductivity, destroys the contact continuity of graphene particles in the composite with graphene content in zone C, and increases the resistivity of the specimens.
- (3).
- After freeze–thaw, the polarization time of the specimen decreases with the increase of the relative water content, and the freeze–thaw action does not change the influence trend of relative water content on electrical resistivity. The resistivities of specimens incorporating graphene content of zone A and zone B decrease with the increase of water content after freeze–thaw, while the resistivity of specimens containing graphene content of zone C increases slightly with the increase of water content. For the specimens with graphene content of zone A or zone B and relative water content of 50 and 100%, respectively, ionic conduction in pore solution is an important form of their conduction. The microcracks caused by freeze–thaw increase the porosity, enhance the conductive network of pore solution, and reduce the resistance of specimens. The water content has little effect on the contacting conduction of the zone C specimen. The relationship between resistivity and water content of graphene-based cement composites under freeze–thaw action can be expressed by the improved Logistic function.
- (4).
- The temperature has a great influence on the polarization effect of graphene-based cement composites after freeze–thaw, and the polarization time gradually shortens with the increase of temperature. In general, the electrical resistivity of the specimen decreases with the increase of temperature. Nevertheless, there is a temperature inflection point for specimen incorporating graphene content of zone B or zone C, and the resistivity increases with the increase of temperature after the inflection point. The reason is that before the inflection point, the thermal motion is dominant, which makes the resistivity decrease. After the inflection point, the change in material volume caused by temperature rise is the main factor, resulting in an increase in resistivity. The relationship between resistivity and temperature of graphene-based cement composites under freeze–thaw action can be expressed by the exponential function. In the temperature range of 273 to 333 K, the response of resistivity to temperature of composites after freeze–thaw is stable, reversible and repeatable, with good thermosensitivity and decreased sensitivity.
- (5).
- After freeze–thaw, the composites incorporating graphene content of the zone B still show satisfactory pressure-sensitive property, and the sensitivity increases significantly with the degree of freeze–thaw. The compressive stress shortens the distance between the graphene particles in the specimens with graphene content of zone B, enhances the tunneling conduction, and leads to a decrease in resistivity. Freeze–thaw causes more microcracks and larger porosity of the composites, and the change in the compaction process is greater than that before freeze–thaw.
Author Contributions
Funding
Institutional Review Board Statement
Informed Consent Statement
Data Availability Statement
Conflicts of Interest
References
- Gencel, O.; Karadag, O.; Oren, O.H.; Bilir, T. Steel slag and its applications in cement and concrete technology: A review. Constr. Build. Mater. 2021, 283, 122783. [Google Scholar] [CrossRef]
- Jiang, L.; Liu, Z.; Ye, Y. Durability of concrete incorporating large volumes of low-quality fly ash. Cem. Concr. Res. 2004, 34, 1467–1469. [Google Scholar] [CrossRef]
- Wasim, M.; Ngo, T.D.; Law, D. A state-of-the-art review on the durability of geopolymer concrete for sustainable structures and infrastructure. Constr. Build. Mater. 2021, 291, 123381. [Google Scholar] [CrossRef]
- Mesquita, E.; Arêde, A.; Pinto, N.; Antunes, P.; Varum, H. Long-term monitoring of a damaged historic structure using a wireless sensor network. Eng. Struct. 2018, 161, 108–117. [Google Scholar] [CrossRef]
- Chan, T.H.T.; Li, J.; Caprani, C. Structural identification and evaluation for SHM applications. J. Civ. Struct. Health Monit. 2018, 8, 719–720. [Google Scholar] [CrossRef]
- Dong, W.; Li, W.; Wang, K.; Luo, Z.; Sheng, D. Self-sensing capabilities of cement-based sensor with layer-distributed conductive rubber fibres. Sens. Actuators A Phys. 2020, 301, 111763. [Google Scholar] [CrossRef]
- Li, W.; Dong, W.; Shen, L.; Castel, A.; Shah, S.P. Conductivity and piezoresistivity of nano-carbon black (NCB) enhanced functional cement-based sensors using polypropylene fibres. Mater. Lett. 2020, 270, 127736. [Google Scholar] [CrossRef]
- Azhari, F.; Banthia, N. A 3D percolation model for conductive fibrous composites: Application in cement-based sensors. J. Mater. Sci. 2015, 50, 5817–5821. [Google Scholar] [CrossRef]
- Zhang, L.; Ding, S.; Dong, S.; Li, Z.; Ouyang, J.; Yu, X.; Han, B. Piezoresistivity, mechanisms and model of cement-based materials with CNT/NCB composite fillers. Mater. Res. Express 2017, 4, 125704. [Google Scholar] [CrossRef]
- Dong, W.; Guo, Y.; Sun, Z.; Tao, Z.; Li, W. Development of piezoresistive cement-based sensor using recycled waste glass cullets coated with carbon nanotubes. J.Clean. Prod. 2021, 314, 127968. [Google Scholar] [CrossRef]
- Buasiri, T.; Habermehl-Cwirzen, K.; Cwirzen, A. State of the Art on Sensing Capability of Poorly or Nonconductive Matrixes with a Special Focus on Portland Cement-Based Materials. J. Mater. Civ. Eng. 2019, 31, 03119003. [Google Scholar] [CrossRef]
- Kawashima, S.; Hou, P.; Corr, D.J.; Shah, S.P. Modification of cement-based materials with nanoparticles. Cem. Concr. Compos. 2013, 36, 8–15. [Google Scholar] [CrossRef]
- Aitcin, P.C. The durability characteristics of high performance concrete: A review. Cem. Concr. Compos. 2003, 25, 409–420. [Google Scholar] [CrossRef]
- Metaxa, Z.S.; Seo, J.-W.T.; Konsta-Gdoutos, M.S.; Hersam, M.C.; Shah, S.P. Highly concentrated carbon nanotube admixture for nano-fiber reinforced cementitious materials. Cem. Concr. Compos. 2012, 34, 612–617. [Google Scholar] [CrossRef]
- Ji, T.; Liao, X.; Zhang, S.; He, Y.; Zhang, X.; Zhang, X.; Li, W. Cement-Based Thermoelectric Device for Protection of Carbon Steel in Alkaline Chloride Solution. Materials 2022, 15, 4461. [Google Scholar] [CrossRef]
- Soliman, N.A.; Chanut, N.; Deman, V.; Lallas, Z.; Ulm, F.J. Electric energy dissipation and electric tortuosity in electron conductive cement-based materials. Phys. Rev. Mater. 2020, 4, 125401. [Google Scholar] [CrossRef]
- Nalon, G.H.; Ribeiro, J.C.L.; de Araújo, E.N.D.; Pedroti, L.G.; de Carvalho, J.M.F.; Santos, R.F.; Aparecido-Ferreira, A. Effects of different kinds of carbon black nanoparticles on the piezoresistive and mechanical properties of cement-based composites. J. Build. Eng. 2020, 32, 101724. [Google Scholar] [CrossRef]
- Novoselov, K.S.; Geim, A.K.; Morozov, S.V.; Jiang, D.; Zhang, Y.; Dubonos, S.V.; Grigorieva, I.V.; Firsov, A.A. Electric Field Effect in Atomically Thin Carbon Films. Science 2004, 306, 666–669. [Google Scholar] [CrossRef]
- Shamsaei, E.; de Souza, F.B.; Yao, X.; Benhelal, E.; Akbari, A.; Duan, W. Graphene-based nanosheets for stronger and more durable concrete: A review. Constr. Build. Mater. 2018, 183, 642–660. [Google Scholar] [CrossRef]
- Sun, S.; Ding, S.; Han, B.; Dong, S.; Yu, X.; Zhou, D.; Ou, J. Multi-layer graphene-engineered cementitious composites with multifunctionality/intelligence. Compos. Part B 2017, 129, 221–232. [Google Scholar] [CrossRef]
- Al-Dahawi, A.; Sarwary, M.H.; Öztürk, O.; Yıldırım, G.; Akın, A.; Şahmaran, M.; Lachemi, M. Electrical percolation threshold of cementitious composites possessing self-sensing functionality incorporating different carbon-based materials. Smart Mater. Struct. 2016, 25, 105005. [Google Scholar] [CrossRef]
- Liu, H.; Deshmukh, A.; Salowitz, N.; Zhao, J.; Sobolev, K. Resistivity Signature of Graphene-Based Fiber-Reinforced Composite Subjected to Mechanical Loading. Front. Mater. 2022, 9, 818176. [Google Scholar] [CrossRef]
- Pei, C.; Ueda, T.; Zhu, J. Investigation of the effectiveness of graphene/polyvinyl alcohol on the mechanical and electrical properties of cement composites. Mater. Struct. 2020, 53, 66. [Google Scholar] [CrossRef]
- Papanikolaou, I.; Arena, N.; Al-Tabbaa, A. Graphene nanoplatelet reinforced concrete for self-sensing structures—A lifecycle assessment perspective. J. Clean. Prod. 2019, 240, 118202. [Google Scholar] [CrossRef]
- Bai, S.; Jiang, L.; Jiang, Y.; Jin, M.; Jiang, S.; Tao, D. Research on electrical conductivity of graphene/cement composites. Adv. Cem. Res. 2020, 32, 45–52. [Google Scholar] [CrossRef]
- Sedaghat, A.; Ram, M.K.; Zayed, A.; Kamal, R.; Shanahan, N. Investigation of Physical Properties of Graphene-Cement Composite for Structural Applications. Open J. Compos. Mater. 2014, 4, 10. [Google Scholar] [CrossRef]
- Du, H.; Quek, S.T.; Pang, S.D. Smart Multifunctional Cement Mortar Containing Graphite Nanoplatelet. In Proceedings of the Sensors and Smart Structures Technologies for Civil, Mechanical, and Aerospace Systems 2013, San Diego, CA, USA, 19 April 2013. [Google Scholar] [CrossRef]
- Uher, V.; Černý, V.; Drochytka, R.; Baránek, Š. The Effect of Exposure Conditions on the Properties of Cementitious Composites with Reduced Electrical Resistivity. Buildings 2022, 12, 2124. [Google Scholar] [CrossRef]
- Kim, H.K.; Nam, I.W.; Lee, H.K. Enhanced effect of carbon nanotube on mechanical and electrical properties of cement composites by incorporation of silica fume. Compos. Struct. 2014, 107, 60–69. [Google Scholar] [CrossRef]
- Bai, S.; Jiang, L.; Xu, N.; Jin, M.; Jiang, S. Enhancement of mechanical and electrical properties of graphene/cement composite due to improved dispersion of graphene by addition of silica fume. Constr. Build. Mater. 2018, 164, 433–441. [Google Scholar] [CrossRef]
- Li, X.; Korayem, A.H.; Li, C.; Liu, Y.; He, H.; Sanjayan, J.G.; Duan, W.H. Incorporation of graphene oxide and silica fume into cement paste: A study of dispersion and compressive strength. Constr. Build. Mater. 2016, 123, 327–335. [Google Scholar] [CrossRef]
- Cui, X.; Sun, S.; Han, B.; Yu, X.; Ouyang, J.; Zeng, S.; Ou, J. Mechanical, thermal and electromagnetic properties of nanographite platelets modified cementitious composites. Compos. Part A 2017, 93, 49–58. [Google Scholar] [CrossRef]
- Zhao, X.; Huang, C.W.; Fu, J.L.; Liu, J.T. Electrical Properties of Graphene Cement Based Composites. J. Build. Mater. 2022, 25, 8–15. [Google Scholar] [CrossRef]
- Jing, G.; Ye, Z.; Wu, J.; Wang, S.; Cheng, X.; Strokova, V.; Nelyubova, V. Introducing reduced graphene oxide to enhance the thermal properties of cement composites. Cem. Concr. Compos. 2020, 109, 103559. [Google Scholar] [CrossRef]
- Saafi, M.; Tang, L.; Fung, J.; Rahman, M.; Sillars, F.; Liggat, J.; Zhou, X. Graphene/fly ash geopolymeric composites as self-sensing structural materials. Smart Mater. Struct. 2014, 23, 065006. [Google Scholar] [CrossRef]
- Azhari, F. Cement-Based Sensors for Structural Health Monitoring. Master’s Thesis, University of British Columbia, Vancouver, BC, Canada, 2008. [Google Scholar] [CrossRef]
- Xu, J.; Zhang, D. Pressure-sensitive properties of emulsion modified graphene nanoplatelets/cement composites. Cem. Concr. Compos. 2017, 84, 74–82. [Google Scholar] [CrossRef]
- Danoglidis, P.A.; Konsta-Gdoutos, M.S.; Gdoutos, E.E.; Shah, S.P. Strength, energy absorption capability and self-sensing properties of multifunctional carbon nanotube reinforced mortars. Constr. Build. Mater. 2016, 120, 265–274. [Google Scholar] [CrossRef]
- Parvaneh, V.; Khiabani, S.H. Mechanical and piezoresistive properties of self-sensing smart concretes reinforced by carbon nanotubes. Mech. Adv. Mater. Struct. 2019, 26, 993–1000. [Google Scholar] [CrossRef]
- Andrawes, B.; Chan, L.Y. Compression and tension stress-sensing of carbon nanotube-reinforced cement. Mag. Concr. Res. 2012, 64, 253–258. [Google Scholar] [CrossRef]
- Ding, Y.; Huang, Y.; Zhang, Y.; Jalali, S.; Aguiar, J.B. Self-monitoring of freeze–thaw damage using triphasic electric conductive concrete. Constr. Build. Mater. 2015, 101, 440–446. [Google Scholar] [CrossRef]
- Qin, X.C.; Meng, S.P.; Cao, D.F.; Tu, Y.M.; Sabourova, N.; Grip, N.; Ohlsson, U.; Blanksvärd, T.; Sas, G.; Elfgren, L. Evaluation of freeze-thaw damage on concrete material and prestressed concrete specimens. Constr. Build. Mater. 2016, 125, 892–904. [Google Scholar] [CrossRef]
- Hong, G.; Choi, S.; Yoo, D.-Y.; Oh, T.; Song, Y.; Yeon, J.H. Moisture dependence of electrical resistivity in under-percolated cement-based composites with multi-walled carbon nanotubes. J. Mater. Res. Technol. 2022, 16, 47–58. [Google Scholar] [CrossRef]
- Demircilioğlu, E.; Teomete, E.; Schlangen, E.; Baeza, F.J. Temperature and moisture effects on electrical resistance and strain sensitivity of smart concrete. Constr. Build. Mater. 2019, 224, 420–427. [Google Scholar] [CrossRef]
- Li, H.; Alamuse; Cai, Y.; Liu, H.D.; He, Q. Study on the scale effect of graphene’s coefficient of thermal expansion. China Plast. Ind. 2017, 45, 104–107. [Google Scholar] [CrossRef]
- Fang, J.X.; Lu, D. Solid State Physics, 1st ed.; Shanghai Science and Technology Press: Shanghai, China, 1980. [Google Scholar]
- Guo, Y.Z. Semiconductor Physics, 1st ed.; National Defense Industry Press: Beijing, China, 1988. [Google Scholar]
- Azhari, F.; Banthia, N. Cement-based sensors with carbon fibers and carbon nanotubes for piezoresistive sensing. Cem. Concr. Compos. 2012, 34, 866–873. [Google Scholar] [CrossRef]




















| Composition | CaO | SiO2 | Al2O3 | Fe2O3 | MgO | SO3 | Na2O | K2O | TiO2 | MnO2 | P2O5 | LOI |
|---|---|---|---|---|---|---|---|---|---|---|---|---|
| Content | 63.55 | 21.5 | 5.18 | 4.32 | 0.91 | 1.09 | 0.22 | 0.52 | 0.15 | 0.12 | 0.04 | 2.4 |
| Density (g/m3) | Specific Surface Area(m2/kg) | Standard Consistency Water Consumption(%) | Setting Time (min) | Compressive Strength(MPa) | Flexural Strength(MPa) | |||
|---|---|---|---|---|---|---|---|---|
| Initial | Final | 3 Days | 28 Days | 3 Days | 28 Days | |||
| 3.18 | 360 | 25.4 | 136 | 222 | 26.4 | 52.1 | 5.2 | 8.3 |
| Composition | SiO2 | Al2O3 | Fe2O3 | MgO | Na2O | CaO |
|---|---|---|---|---|---|---|
| Content | 85~95 | 1.1 ± 0.1 | 0.9 ± 0.2 | 0.7 ± 0.1 | 1.3 ± 0.2 | 0.3 ± 0.1 |
| Purity (%) | Layers | Ratio of Monolayer (%) | Diameter (μm) | Diameter to Thickness Ratio | Bulk Density(g/mL) | Specific Surface Area(m2/g) |
|---|---|---|---|---|---|---|
| >98 | 1~3 | >80 | 7~12 | average 9500 | 0.01~0.02 | 50~200 |
| Specimen No | Cement (g) | Silica Fume (g) | Graphene (g) | Water (g) | Dispersant (mg) | Superplasticizer (g) | Defoamer (g) |
|---|---|---|---|---|---|---|---|
| G0 | 90 | 10 | 0 | 50 | 0 | 0 | 0 |
| G0.5 | 90 | 10 | 0.5 | 50 | 15 | 0 | 0 |
| G1 | 90 | 10 | 1 | 50 | 30 | 0 | 0 |
| G1.3 | 90 | 10 | 1.3 | 50 | 39 | 0 | 0 |
| G1.5 | 90 | 10 | 1.5 | 50 | 45 | 0 | 0.1 |
| G1.7 | 90 | 10 | 1.7 | 50 | 51 | 0.2 | 0.1 |
| G2 | 90 | 10 | 2 | 50 | 60 | 0.2 | 0.1 |
| G2.3 | 90 | 10 | 2.3 | 50 | 69 | 0.2 | 0.2 |
| G2.5 | 90 | 10 | 2.5 | 50 | 75 | 0.5 | 0.2 |
| G2.7 | 90 | 10 | 2.7 | 50 | 81 | 0.8 | 0.3 |
| G3 | 90 | 10 | 3 | 50 | 90 | 1 | 0.3 |
| Graphene Content(%) | Number of Freeze–thaw Cycles | Polarization Time(min) |
|---|---|---|
| 1.0 | 0 | 35 |
| 25 | 35 | |
| 50 | 40 | |
| 75 | 45 | |
| 100 | 50 | |
| 2.0 | 0 | 30 |
| 25 | 35 | |
| 50 | 40 | |
| 75 | 40 | |
| 100 | 45 | |
| 3.0 | 0 | 10 |
| 25 | 10 | |
| 50 | 15 | |
| 75 | 20 | |
| 100 | 30 |
| Graphene Content (%) | Relative Water Content (%) | Polarization Time (min) |
|---|---|---|
| 1 | 0 | 40 |
| 50 | 20 | |
| 100 | 12 | |
| 2 | 0 | 40 |
| 50 | 14 | |
| 100 | 10 | |
| 3 | 0 | 15 |
| 50 | 6 | |
| 100 | 4 |
| Graphene Content (%) | Temperature (K) | Polarization Time (min) |
|---|---|---|
| 1 | 273 | 45 |
| 293 | 35 | |
| 313 | 30 | |
| 333 | 25 | |
| 2 | 273 | 45 |
| 293 | 40 | |
| 313 | 30 | |
| 333 | 25 | |
| 3 | 273 | 20 |
| 293 | 15 | |
| 313 | 15 | |
| 333 | 10 |
| Graphene Content(%) | Before Freeze–Thaw | After Freeze–Thaw | ||||
|---|---|---|---|---|---|---|
| ρm | b | R2 | ρm | b | R2 | |
| 1 | 147,093 | 247 | 0.9781 | 153,545 | 244 | 0.9674 |
| 2 | 889 | 558 | 0.9888 | 1619 | 455 | 0.9832 |
| 3 | 113 | 290 | 0.9958 | 207 | 194 | 0.9964 |
| Graphene Content(%) | Before Freeze–Thaw(%) | After Freeze–Thaw(%) |
|---|---|---|
| 1 | 16.6 | 15.2 |
| 2 | 32.6 | 27.2 |
| 3 | 19.8 | 13.4 |
Disclaimer/Publisher’s Note: The statements, opinions and data contained in all publications are solely those of the individual author(s) and contributor(s) and not of MDPI and/or the editor(s). MDPI and/or the editor(s) disclaim responsibility for any injury to people or property resulting from any ideas, methods, instructions or products referred to in the content. |
© 2023 by the authors. Licensee MDPI, Basel, Switzerland. This article is an open access article distributed under the terms and conditions of the Creative Commons Attribution (CC BY) license (https://creativecommons.org/licenses/by/4.0/).
Share and Cite
Chen, H.; Xu, N.; Jiang, P.; Jiang, L. Study on the Effect of Freeze–Thaw Action on the Electrical Conductivity and Sensing Properties of Graphene-Based Cement Composites. Materials 2023, 16, 855. https://doi.org/10.3390/ma16020855
Chen H, Xu N, Jiang P, Jiang L. Study on the Effect of Freeze–Thaw Action on the Electrical Conductivity and Sensing Properties of Graphene-Based Cement Composites. Materials. 2023; 16(2):855. https://doi.org/10.3390/ma16020855
Chicago/Turabian StyleChen, Huihui, Ning Xu, Peng Jiang, and Linhua Jiang. 2023. "Study on the Effect of Freeze–Thaw Action on the Electrical Conductivity and Sensing Properties of Graphene-Based Cement Composites" Materials 16, no. 2: 855. https://doi.org/10.3390/ma16020855
APA StyleChen, H., Xu, N., Jiang, P., & Jiang, L. (2023). Study on the Effect of Freeze–Thaw Action on the Electrical Conductivity and Sensing Properties of Graphene-Based Cement Composites. Materials, 16(2), 855. https://doi.org/10.3390/ma16020855

