Martensitic Transformation Temperatures and Hall Effect in Ni47−xMn41+xIn12 (x = 0, 1, 2) Alloys
Abstract
1. Introduction
2. Materials and Methods
3. Results and Discussion
4. Conclusions
Author Contributions
Funding
Institutional Review Board Statement
Informed Consent Statement
Data Availability Statement
Conflicts of Interest
References
- Tavares, S.; Yang, K.; Meyers, M.A. Heusler alloys: Past, properties, new alloys, and prospects. Prog. Mater. Sci. 2023, 132, 101017. [Google Scholar] [CrossRef]
- Katsnelson, M.I.; Irkhin, V.Y.; Chioncel, L.; Lichtenstein, A.I.; De Groot, R.A. Half-metallic ferromagnets: From band structure to many-body effects. Rev. Mod. Phys. 2008, 80, 315–378. [Google Scholar] [CrossRef]
- Wang, X.; Li, T.; Cheng, Z.; Wang, X.-L.; Chen, H. Recent advances in Dirac spin-gapless semiconductors. Appl. Phys. Rev. 2018, 5, 041103. [Google Scholar] [CrossRef]
- Manna, K.; Sun, Y.; Muechler, L.; Kübler, J.; Felser, C. Heusler, Weyl and Berry. Nat. Rev. Mater. 2018, 3, 244–256. [Google Scholar] [CrossRef]
- Marchenkov, V.V.; Irkhin, V.Y. Half-metallic ferromagnets, spin gapless semiconductors and topological semimetals based on Heusler alloys: Theory and experiment. Phys. Met. Metallogr. 2021, 122, 1133–1157. [Google Scholar] [CrossRef]
- Marchenkov, V.V.; Irkhin, V.Y.; Semiannikova, A.A. Unusual kinetic properties of usual Heusler alloys. J. Supercond. Nov. Magn. 2022, 35, 2153–2168. [Google Scholar] [CrossRef]
- Zhu, H.; He, R.; Mao, J.; Zhu, Q.; Li, C.; Sun, J.; Ren, W.; Wang, Y.; Liu, Z.; Tang, Z.; et al. Discovery of ZrCoBi based half Heuslers with high thermoelectric conversion efficiency. Nat. Commun. 2018, 9, 2497. [Google Scholar] [CrossRef]
- Berche, A.; Jund, P. Fully Ab-Inito determination of the thermoelectric properties of half-Heusler NiTiSn: Crucial role of interstitial Ni defects. Materials 2018, 11, 868. [Google Scholar] [CrossRef]
- Zhu, H.; Mao, J.; Li, Y.; Sun, J.; Wang, Y.; Zhu, Q.; Li, G.; Song, Q.; Zhou, J.; Fu, Y.; et al. Discovery of TaFeSb-based half-Heuslers with high thermoelectric performance. Nat. Commun. 2019, 10, 270. [Google Scholar] [CrossRef]
- Pushin, V.; Korolyov, A.; Kuranova, N.; Marchenkova, E.; Ustyugov, Y. New Metastable Baro-and Deformation-Induced Phases in Ferromagnetic Shape Memory Ni2MnGa-Based Alloys. Materials 2022, 115, 2277. [Google Scholar] [CrossRef]
- Khan, R.A.A.; Ghomashchi, R.; Xie, Z.; Chen, L. Ferromagnetic shape memory Heusler materials: Synthesis, microstructure characterization and magnetostructural properties. Materials 2018, 11, 988. [Google Scholar] [CrossRef]
- Kuchin, D.S.; Dilmieva, E.T.; Koshkid’ko, Y.S.; Kamantsev, A.P.; Koledov, V.V.; Mashirov, A.V.; Shavrov, V.G.; Cwik, J.; Rogacki, K.; Khovaylo, V.V. Direct measurement of shape memory effect for Ni54Mn21Ga25, Ni50Mn41.2In8.8 Heusler alloys in high magnetic field. J. Magn. Magn. Mater. 2019, 482, 317–322. [Google Scholar] [CrossRef]
- Qiao, K.; Liang, Y.; Zuo, S.; Zhang, C.; Yu, Z.; Long, Y.; Hu, F.; Shen, B.; Zhang, H. Regulation of Magnetocaloric Effect in Ni40Co10Mn40Sn10 Alloys by Using a Homemade Uniaxial Strain Pressure Cell. Materials 2022, 15, 4331. [Google Scholar] [CrossRef]
- Krenke, T.; Duman, E.; Acet, M.; Wassermann, E.F.; Moya, X.; Mañosa, L.; Planes, A.; Suard, E.; Ouladdiaf, B. Magnetic superelasticity and inverse magnetocaloric effect in Ni-Mn-In. Phys. Rev. B 2007, 75, 104414. [Google Scholar] [CrossRef]
- Wang, H.; Li, Y.; Yao, Y.; Xu, J.; Han, Z.; Fang, Y.; Zhang, L.; Zhang, C.; Qian, B.; Jiang, X. Effect of Ti doping on the phase transitions, magnetocaloric effect and exchange bias in Ni43Mn46Sn11−xTix Heusler alloys. J. Magn. Magn. Mater. 2020, 498, 166216. [Google Scholar] [CrossRef]
- Guha, S.; Datta, S.; Panda, S.K.; Kar, M. Room temperature magneto-caloric effect and electron transport properties study on Ni2.14Mn0.55Sb1.31 alloy. J. Alloys Compd. 2020, 843, 156033. [Google Scholar] [CrossRef]
- Sharma, V.K.; Chattopadhyay, M.K.; Kumar, R.; Ganguli, T.; Tiwari, P.; Roy, S.B. Magnetocaloric effect in Heusler alloys Ni50Mn34In16 and Ni50Mn34Sn16. J. Phys. Condens. Matter 2007, 19, 496207. [Google Scholar] [CrossRef]
- Han, Z.D.; Wang, D.H.; Zhang, C.L.; Xuan, H.C.; Zhang, J.R.; Gu, B.X.; Du, Y.W. Effect of lattice contraction on martensitic transformation and magnetocaloric effect in Ge doped Ni-Mn-Sn alloys. Mater. Sci. Eng. B 2009, 157, 40–43. [Google Scholar] [CrossRef]
- Chernenko, V.A. Compositional instability of β-phase in Ni-Mn-Ga alloys. Scr. Mater. 1999, 40, 523–527. [Google Scholar] [CrossRef]
- Liu, Z.H.; Zhang, M.; Wang, W.Q.; Wang, W.H.; Chen, J.L.; Wu, G.H.; Meng, F.B.; Liu, H.Y.; Liu, B.D.; Qu, J.P.; et al. Magnetic properties and martensitic transformation in quaternary Heusler alloy of NiMnFeGa. J. Appl. Phys. 2002, 92, 5006–5010. [Google Scholar] [CrossRef]
- Liu, Z.; Wu, Z.; Yang, H.; Liu, Y.; Liu, E.; Zhang, H.; Wu, G. Thermal and stress-induced martensitic transformations in quaternary Ni50Mn37(In,Sb)13 ferromagnetic shape memory alloys. Intermetallics 2010, 18, 1690–1694. [Google Scholar] [CrossRef]
- Gao, B.; Shen, J.; Hu, F.X.; Wang, J.; Sun, J.R.; Shen, B.G. Magnetic properties and magnetic entropy change in Heusler alloys Ni50Mn35−xCuxSn15. Appl. Phys. A 2009, 97, 443–447. [Google Scholar] [CrossRef]
- Kanomata, T.; Nozawa, T.; Kikuchi, D.; Nishihara, H.; Koyama, K.; Watanabe, K. Magnetic properties of ferromagnetic shape memory alloys Ni2−xCuxMnGa. Int. J. Appl. Electromagn. Mech. 2005, 21, 151–157. [Google Scholar] [CrossRef]
- Wang, R.L.; Yan, J.B.; Xiao, H.B.; Xu, L.S.; Marchenkov, V.V.; Xu, L.F.; Yang, C.P. Effect of electron density on the martensitic transition in Ni–Mn–Sn alloys. J. Alloys Compd. 2011, 509, 6834–6837. [Google Scholar] [CrossRef]
- Aksoy, S.; Acet, M.; Wassermann, E.F.; Krenke, T.; Moya, X.; Mañosa, L.; Planes, A.; Deen, P.P. Structural properties and magnetic interactions in martensitic Ni-Mn-Sb alloys. Philos. Mag. 2009, 89, 2093–2109. [Google Scholar] [CrossRef]
- Novikov, A.; Gan’shina, E.; Granovsky, A.; Zhukov, A.; Chernenko, V. Magneto-optical spectroscopy of Heusler alloys: Bulk samples, thin films and microwires. Solid State Phenom. 2012, 190, 335–338. [Google Scholar] [CrossRef]
- Kudruavtsev, Y.V.; Perekos, A.E.; Melnik, A.K.; Skirta, Y.B. Effect of crystalline structure on some physical properties of bulk and thin film Ni50Mn35In15 alloy samples. Met. Adv. Technol. 2019, 41, 1549–1566. [Google Scholar] [CrossRef]
- Jiráskova, Y.; Buršík, J.; Janičkovič, D.; Životský, O. Influence of preparation technology on microstructural and magnetic properties of Fe2MnSi and Fe2MnAl Heusler alloys. Materials 2019, 12, 710. [Google Scholar] [CrossRef]
- Kazakov, A.P.; Prudnikov, V.N.; Granovsky, A.B.; Zhukov, A.P.; Gonzalez, J.; Dubenko, I.; Pathak, A.K.; Stadler, S.; Ali, N. Direct measurements of field-induced adiabatic temperature changes near compound phase transitions in Ni-Mn-In based Heusler alloys. Appl. Phys. Lett. 2011, 98, 131911. [Google Scholar] [CrossRef]
- Pathak, A.K.; Khan, M.; Dubenko, I.; Stadler, S.; Ali, N. Large magnetic entropy change in Ni50Mn50−xInx Heusler alloys. Appl. Phys. Lett. 2007, 90, 262504. [Google Scholar] [CrossRef]
- Pathak, A.K.; Dubenko, I.; Stadler, S.; Ali, N. The effect of partial substitution of In by Si on the phase transitions and respective magnetic entropy changes of Ni50Mn35In15 Heusler alloy. J. Phys. D Appl. Phys. 2008, 41, 202004. [Google Scholar] [CrossRef]
- Dubenko, I.; Pathak, A.K.; Stadler, S.; Ali, N.; Kovarskii, Y.; Prudnikov, V.N.; Perov, N.S.; Granovsky, A.B. Giant Hall effect in Ni-Mn-In Heusler alloys. Phys. Rev. B 2009, 80, 092408. [Google Scholar] [CrossRef]
- Granovskii, A.B.; Prudnikov, V.N.; Kazakov, A.P.; Zhukov, A.P.; Dubenko, I.S. Determination of the normal and anomalous Hall effect coefficients in ferromagnetic Ni50Mn35In15−xSix Heusler alloys at the martensitic transformation. J. Exp. Theor. Phys. 2012, 115, 805–814. [Google Scholar] [CrossRef]
- Dubenko, I.; Pathak, A.K.; Ali, N.; Kovarskii, Y.; Prudnikov, V.N.; Perov, N.S.; Granovsky, A.B. Magnetotransport properties of Ni-Mn-In Heusler alloys: Giant Hall angle. J. Phys. Conf. Ser. 2010, 200, 052005. [Google Scholar] [CrossRef]
- Prudnikov, V.N.; Kazakov, A.P.; Titov, I.S.; Perov, N.S.; Granovskii, A.B.; Dubenko, I.S.; Pathak, A.K.; Ali, N.; Zhukov, A.P.; Gonzalez, J. Hall effect in a martensitic transformation in Ni-Co-Mn-In Heusler alloys. JEPT Lett. 2010, 92, 666–670. [Google Scholar] [CrossRef]
- Marchenkov, V.V.; Emelyanova, S.M. Low-temperature Hall effect and martensitic transition temperatures in magnetocaloric Ni50Mn35Sb15−xGex (x = 0, 1, 3) alloys. Low Temp. Phys. 2021, 47, 55–60. [Google Scholar] [CrossRef]
- González-Legarreta, L.; González-Alonso, D.; Rosa, W.O.; Caballero-Flores, R.; Suñol, J.J.; González, J.; Hernando, B. Magnetostructural phase transition in off-stoichiometric Ni–Mn–In Heusler alloy ribbons with low In content. J. Magn. Magn. Mater. 2015, 383, 190–195. [Google Scholar] [CrossRef]
- Sharma, V.K.; Chattopadhyay, M.K.; Shaeb, K.H.B.; Chouhan, A.; Roy, S.B. Large magnetoresistance in Ni50Mn34In16 alloy. Appl. Phys. Lett. 2006, 89, 222509. [Google Scholar] [CrossRef]
- Vasiliev, A.N.; Heczko, O.; Volkova, O.S.; Vasilchikova, T.N.; Voloshok, T.N.; Klimov, K.V.; Ito, W.; Kainuma, R.; Ishida, K.; Oikawa, K.; et al. On the electronic origin of the inverse magnetocaloric effect in Ni-Co-Mn-In Heusler alloys. J. Phys. D Appl. Phys. 2010, 43, 055004. [Google Scholar] [CrossRef]
- Wang, B.M.; Wang, L.; Liu, Y.; Zhao, B.C.; Zhao, Y.; Yang, Y.; Zhang, H. Strong thermal-history-dependent magnetoresistance behavior in Ni49,5Mn34,5In16. J. Appl. Phys. 2009, 106, 063909. [Google Scholar] [CrossRef]
- Kuranova, N.N.; Pushin, A.V.; Uksusnikov, A.N.; Belosludtseva, E.S.; Kourov, N.I.; Kuntsevich, T.E.; Pushin, V.G. Fine structure and mechanical properties of the shape-memory Ni50Ti32Hf18 alloy rapidly quenched by spinning. Tech. Phys. 2017, 62, 1189–1193. [Google Scholar] [CrossRef]
- Bao, B.; Long, Y.; Duan, J.F.; Shi, P.J.; Wu, G.H.; Ye, R.C.; Chang, Y.Q.; Zhang, J.; Rong, C.B. Phase transition processes and magnetocaloric effect in Ni2.15Mn0.85−xCoxGa alloys. J. Appl. Phys. 2008, 103, 07B335. [Google Scholar] [CrossRef]
- Vasil’ev, A.N.; Bozhko, A.D.; Khovailo, V.V.; Dikshtein, I.E.; Shavrov, V.G.; Buchelnikov, V.D.; Matsumoto, M.; Suzuki, S.; Takagi, T.; Tani, J. Structural and magnetic phase transitions in shape-memory alloys Ni2+xMn1−xGa. Phys. Rev. B 1999, 59, 1113–1120. [Google Scholar] [CrossRef]
- Wang, W.H.; Hu, F.X.; Chen, J.L.; Li, Y.X.; Wang, Z.; Gao, Z.Y.; Zheng, Y.F.; Zhao, L.C.; Wu, G.H.; Zan, W.S. Magnetic properties and structural phase transformations of NiMnGa alloys. IEEE Trans. Magn. 2001, 37, 2715–2717. [Google Scholar] [CrossRef]
- Krenke, T.; Acet, M.; Wassermann, E.F.; Moya, X.; Mañosa, L.; Planes, A. Magnetic transitions and the nature of ferromagnetism in the austenitic and martensitic states of Ni-Mn-Sn alloys. Phys. Rev. B 2005, 72, 014412. [Google Scholar] [CrossRef]
- Gonzàlez-Comas, A.; Obradó, E.; Mañosa, L.; Planes, A.; Chernenko, V.A.; Hattink, B.J.; Labarta, A. Premartensitic and martensitic phase transitions in ferromagnetic Ni2MnGa. Phys. Rev. B 1999, 60, 7085–7090. [Google Scholar] [CrossRef]
- Marchenkov, V.V.; Irkhin, V.Y.; Perevozchikova, Y.A.; Terent’ev, P.B.; Semiannikova, A.A.; Marchenkobva, E.B.; Eisterer, M. Kinetic properties and half-metallic magnetism in Mn2YAl Heusler alloys. J. Exp. Theor. Phys. 2019, 128, 919–925. [Google Scholar] [CrossRef]
- Marchenkov, V.V.; Kourov, N.I.; Irkhin, V.Y. Half-metallic ferromagnets and spin gapless semiconductors. Phys. Met. Metallogr. 2018, 119, 1321–1324. [Google Scholar] [CrossRef]
- Lifshits, I.M.; Azbel, M.Y.; Kaganov, M.I. Electron Theory of Metals; Consultants Bureau: New York, NY, USA, 1973; pp. 109–125. [Google Scholar]
- Chen, H.; Wang, Y.-D.; Nie, Z.; Li, R.; Cong, D.; Liu, W.; Ye, F.; Liu, Y.; Cao, P.; Tian, F.; et al. Unprecedented non-hysteretic superelasticity of [001]-oriented NiCoFeGa single crystals. Nat. Mater. 2020, 19, 712–718. [Google Scholar] [CrossRef]











| Alloy | Content of Phases, at.% | |
|---|---|---|
| Cubic (A) | Tetragonal (M) | |
| Ni45Mn43In12 | 34.1 | 65.9 |
| Ni46Mn42In12 | 36.9 | 63.1 |
| Ni47Mn41In12 | 39.5 | 60.5 |
| Alloy | Content of Each Element, at.% | ||
|---|---|---|---|
| Ni | Mn | In | |
| Ni45Mn43In12 | 45.21 | 42.75 | 12.04 |
| Ni46Mn42In12 | 46.11 | 41.71 | 12.18 |
| Ni47Mn41In12 | 46.58 | 41.17 | 12.25 |
| Alloy | As, K | Af, K | Ms, K | Mf, K |
|---|---|---|---|---|
| According to the temperature dependences of electrical resistivity ρ(T) | ||||
| Ni45Mn43In12 | 175 | 275 | 265 | 148 |
| Ni46Mn42In12 | 260 | 317 | 308 | 250 |
| Ni47Mn41In12 | 305 | 323 | 315 | 298 |
| According to the temperature dependences of magnetization M(T) | ||||
| Ni45Mn43In12 | 170 | 265 | 258 | 148 |
| Ni46Mn42In12 | 263 | 310 | 307 | 252 |
| Ni47Mn41In12 | 308 | 318 | 317 | 302 |
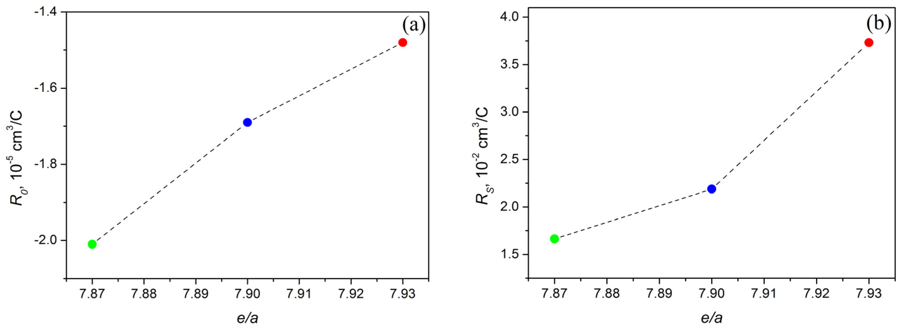
| Alloy | e/a | R0, 10−5 cm3/C | RS, 10−2 cm3/C | n, 1023 1/cm3 |
|---|---|---|---|---|
| Ni45Mn43In12 | 7.87 | −2.01 | 1.66 | 3.11 |
| Ni46Mn42In12 | 7.9 | −1.69 | 2.19 | 3.69 |
| Ni47Mn41In12 | 7.93 | −1.48 | 3.73 | 4.22 |
Disclaimer/Publisher’s Note: The statements, opinions and data contained in all publications are solely those of the individual author(s) and contributor(s) and not of MDPI and/or the editor(s). MDPI and/or the editor(s) disclaim responsibility for any injury to people or property resulting from any ideas, methods, instructions or products referred to in the content. |
© 2023 by the authors. Licensee MDPI, Basel, Switzerland. This article is an open access article distributed under the terms and conditions of the Creative Commons Attribution (CC BY) license (https://creativecommons.org/licenses/by/4.0/).
Share and Cite
Marchenkov, V.V.; Emelyanova, S.M.; Marchenkova, E.B. Martensitic Transformation Temperatures and Hall Effect in Ni47−xMn41+xIn12 (x = 0, 1, 2) Alloys. Materials 2023, 16, 672. https://doi.org/10.3390/ma16020672
Marchenkov VV, Emelyanova SM, Marchenkova EB. Martensitic Transformation Temperatures and Hall Effect in Ni47−xMn41+xIn12 (x = 0, 1, 2) Alloys. Materials. 2023; 16(2):672. https://doi.org/10.3390/ma16020672
Chicago/Turabian StyleMarchenkov, Vyacheslav V., Sabina M. Emelyanova, and Elena B. Marchenkova. 2023. "Martensitic Transformation Temperatures and Hall Effect in Ni47−xMn41+xIn12 (x = 0, 1, 2) Alloys" Materials 16, no. 2: 672. https://doi.org/10.3390/ma16020672
APA StyleMarchenkov, V. V., Emelyanova, S. M., & Marchenkova, E. B. (2023). Martensitic Transformation Temperatures and Hall Effect in Ni47−xMn41+xIn12 (x = 0, 1, 2) Alloys. Materials, 16(2), 672. https://doi.org/10.3390/ma16020672

