Creep Crack Growth Behavior during Hot Water Immersion of an Epoxy Adhesive Using a Spring-Loaded Double Cantilever Beam Test Method
Abstract
1. Introduction
2. Methods
2.1. Compliance-Based Fracture Energy Calculation
2.2. Load–Displacement Curve in the Spring-Loaded Testing Method
3. Experimental
3.1. Materials and Specimens
3.2. Experimental Setup
3.3. Spring-Loaded DCB Test
4. Results and Discussion
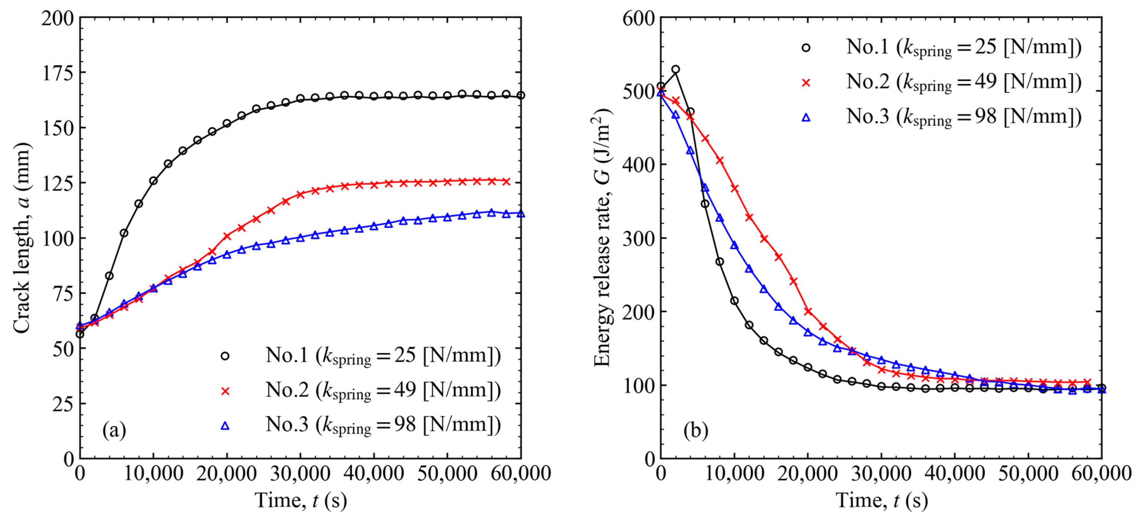
4.1. Verification of the Spring-Loaded DCB Test
4.2. Effects of the Surface Treatment and Immersion Temperature
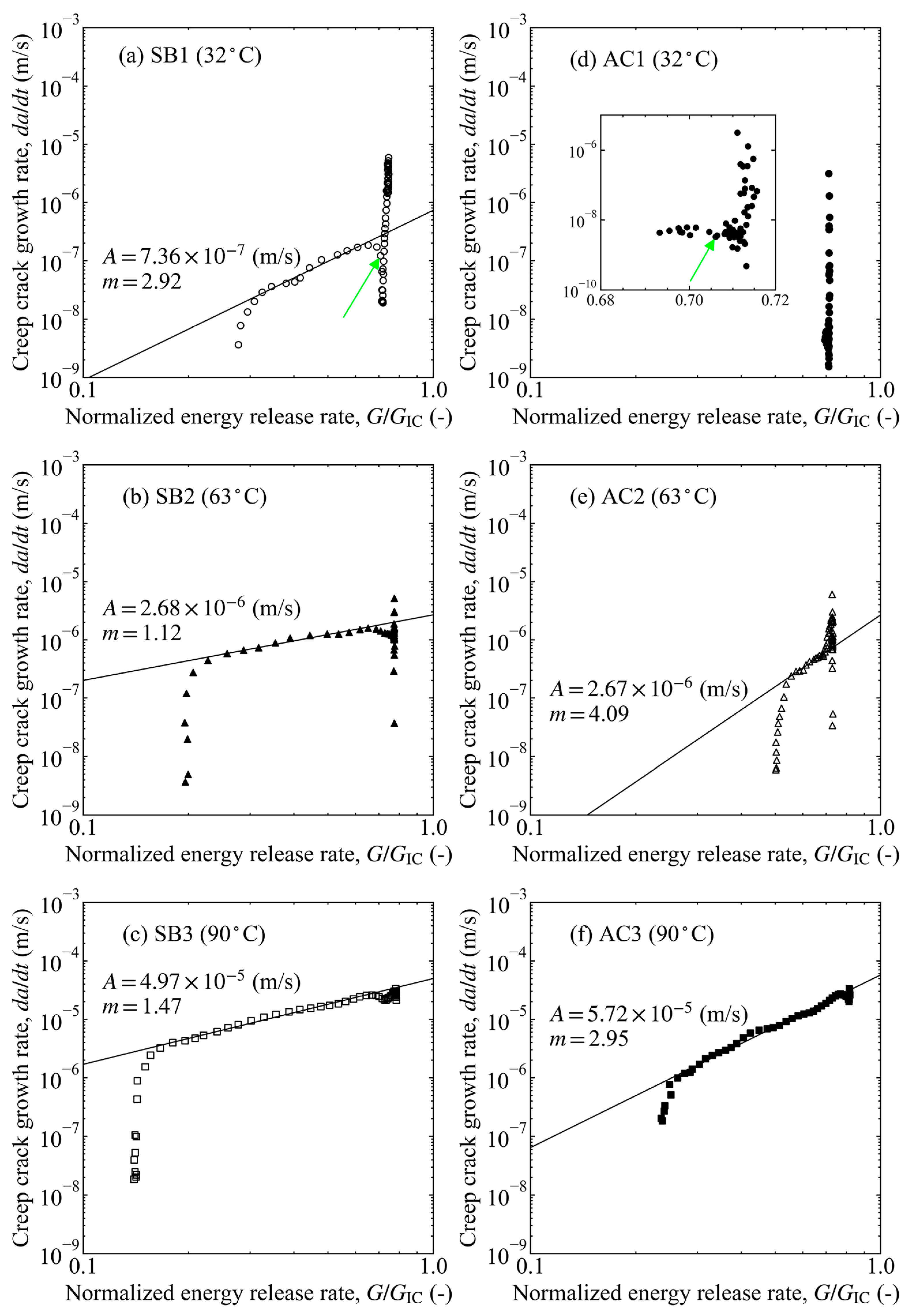
4.3. Creep Crack Growth Rate
5. Conclusions
Author Contributions
Funding
Institutional Review Board Statement
Informed Consent Statement
Data Availability Statement
Acknowledgments
Conflicts of Interest
References
- Viana, G.; Costa, M.; Banea, M.D.; da Silva, L.F.M. A review on the temperature and moisture degradation of adhesive joints. Proc. Inst. Mech. Eng. L 2017, 231, 488–501. [Google Scholar] [CrossRef]
- Houjou, K.; Shimamoto, K.; Akiyama, H.; Sato, C. Effect of cyclic moisture absorption/desorption on the strength of epoxy adhesive joints and moisture diffusion coefficient. J. Adhes. 2022, 98, 1535–1551. [Google Scholar] [CrossRef]
- Han, X.; Crocombe, A.D.; Anwar, S.N.R.; Hu, P.; Li, W.D. The effect of a hot-wet environment on adhesively bonded joints under a sustained load. J. Adhes. 2014, 90, 420–436. [Google Scholar] [CrossRef]
- Shimamoto, K.; Akiyama, H. Estimating the mechanical residual strength from IR spectra using machine learning for degraded adhesives. J. Adhes. 2022, 98, 2423–2445. [Google Scholar] [CrossRef]
- Borges, C.S.P.; Marques, E.A.S.; Carbas, R.J.C.; Ueffing, C.; Weißgraeber, P.; da Silva, L.F.M. Review on the effect of moisture and contamination on the interfacial properties of adhesive joints. Proc. Inst. Mech. Eng. C 2021, 235, 527–549. [Google Scholar] [CrossRef]
- Shimamoto, K.; Batorova, S.; Houjou, K.; Akiyama, H.; Sato, C. Accelerated test method for water resistance of adhesive joints by interfacial cutting of open-faced specimens. J. Adhes. 2021, 97, 1255–1270. [Google Scholar] [CrossRef]
- Shimamoto, K.; Batorova, S.; Houjou, K.; Akiyama, H.; Sato, C. Degradation of epoxy adhesive containing dicyandiamide and carboxyl-terminated butadiene acrylonitrile rubber due to water with open-faced specimens. J. Adhes. 2021, 97, 1388–1403. [Google Scholar] [CrossRef]
- Jhin, G.; Azari, S.; Ameli, A.; Datla, N.V.; Papini, M.; Spelt, J.K. Crack growth rate and crack path in adhesively bonded joints: Comparison of creep, fatigue and fracture. Int. J. Adhes. Adhes. 2013, 46, 74–84. [Google Scholar] [CrossRef]
- Pascoe, J.A.; Alderliesten, R.C.; Benedictus, R. Methods for the prediction of fatigue delamination growth in composites and adhesive bonds—A critical review. Eng. Fract. Mech. 2013, 112–113, 72–96. [Google Scholar] [CrossRef]
- Sekiguchi, Y.; Sato, C. Effect of bond-line thickness on fatigue crack growth of structural acrylic adhesive joints. Materials 2021, 14, 1723. [Google Scholar] [CrossRef]
- Costa, M.; Viana, G.; da Silva, L.F.M.; Campilho, R.D.S.G. Environmental effect on the fatigue degradation of adhesive joints: A review. J. Adhes. 2017, 93, 127–146. [Google Scholar] [CrossRef]
- Datla, N.V.; Ameli, A.; Azari, S.; Papini, M.; Spelt, J.K. Effects of hygrothermal aging on the fatigue behavior of two toughened epoxy adhesives. Eng. Fract. Mech. 2012, 79, 61–77. [Google Scholar] [CrossRef]
- Wang, M.; Liu, A.; Liu, Z.; Wang, P.-C. Effect of hot humid environmental exposure on fatigue crack growth of adhesive-bonded aluminum A356 joints. Int. J. Adhes. Adhes. 2013, 40, 1–10. [Google Scholar] [CrossRef]
- Sugiman, S.; Crocombe, A.D.; Aschroft, I.A. The fatigue response of environmentally degraded adhesively bonded aluminium structures. Int. J. Adhes. Adhes. 2013, 41, 80–91. [Google Scholar] [CrossRef]
- Houjou, K.; Sekiguchi, Y.; Shimamoto, K.; Akiyama, H.; Sato, C. Energy release rate and crack propagation rate behaviour of moisture-deteriorated epoxy adhesives through the double cantilever beam method. J. Adhes. 2022. Online First version. [Google Scholar] [CrossRef]
- Han, X.; Crocombe, A.D.; Anwar, S.N.R.; Hu, P. The strength prediction of adhesive single lap joints exposed to long term loading in a hostile environment. Int. J. Adhes. Adhes. 2014, 55, 1–11. [Google Scholar] [CrossRef]
- Manterola, J.; Zurbitu, J.; Renart, J.; Turon, A.; Urresti, I. Durability study of flexible bonded joints: The effect of sustained loads in mode I fracture tests. Polym. Test. 2020, 88, 106570. [Google Scholar] [CrossRef]
- de Zeeuw, C.; de Freitas, S.T.; Zarouchas, D.; Schilling, M.; Fernandes, R.L.; Portella, P.D.; Niebergall, U. Creep behaviour of steel bonded joints under hygrothermal conditions. Int. J. Adhes. Adhes. 2019, 91, 54–63. [Google Scholar] [CrossRef]
- Tan, W.; Na, J.-X.; Zhou, Z.-F. Effect of temperature and humidity on the creep and aging behavior of adhesive joints under static loads. J. Adhes. 2022. Online First version. [Google Scholar] [CrossRef]
- ASTM D2919-01; Standard Test Method for Determining Durability of Adhesive Joints Stressed in Shear by Tension Loading. ASTM International: West Conshohocken, PA, USA, 2014. [CrossRef]
- Ebnesajjad, S. Chapter 10—Durability of adhesive bonds. In Adhesive Technology Handbook, 2nd ed.; William Andrew Publishing: Norwich, NY, USA, 2009. [Google Scholar] [CrossRef]
- Hayashibara, H.; Iwata, T.; Ando, T.; Murakami, C.; Mori, E.; Kobayashi, I. Degradation of structural adhesive bonding joints on ship exposure decks. J. Mar. Sci. Technol. 2020, 25, 510–519. [Google Scholar] [CrossRef]
- ASTM D3433-99; Standard Test Method for Fracture Strength in Cleavage of Adhesives in Bonded Metal Joints. ASTM International: West Conshohocken, PA, USA, 2020. [CrossRef]
- ISO 25217:2009; Adhesives–Determination of the Mode I Adhesive Fracture Energy of Structural Adhesive Joints Using Double Cantilever Beam and Tapered Double Cantilever Beam Specimens. International Organization for Standardization: Geneva, Switzerland, 2009.
- Sun, F.; Blackman, B.R.K. Using digital image correlation to automate the measurement of crack length and fracture energy in the mode I testing of structural adhesive joints. Eng. Fract. Mech. 2021, 255, 107957. [Google Scholar] [CrossRef]
- Terasaki, N.; Fujio, Y.; Sakata, Y.; Horiuchi, S.; Akiyama, H. Visualization of crack propagation for assisting double cantilever beam test through mechanoluminescence. J. Adhes. 2018, 94, 867–879. [Google Scholar] [CrossRef]
- de Moura, M.F.S.F.; Morais, J.J.L.; Dourado, N. A new data reduction scheme for mode I wood fracture characterization using the double cantilever beam test. Eng. Fract. Mech. 2008, 75, 3852–3865. [Google Scholar] [CrossRef]
- ISO 10354:1992; Adhesives–Characterization of Durability of Structural-Adhesive-Bonded Assemblies–Wedge Rupture Test. International Organization for Standardization: Geneva, Switzerland, 1992.
- ASTM D3762-03; Standard Test Method for Adhesive-Bonded Surface Durability of Aluminum (Wedge Test). ASTM International: West Conshohocken, PA, USA, 2010. [CrossRef]
- Cognard, J. The mechanics of the wedge test. J. Adhes. 1986, 20, 1–13. [Google Scholar] [CrossRef]
- Adams, R.D.; Cowap, J.W.; Farquharson, G.; Margary, G.M.; Vaughn, D. The relative merits of the Boeing wedge test and the double cantilever beam test for assessing the durability of adhesively bonded joints, with particular reference to the use of fracture mechanics. Int. J. Adhes. Adhes. 2009, 29, 609–620. [Google Scholar] [CrossRef]
- Sargent, J.P. Durability studies for aerospace applications using peel and wedge tests. Int. J. Adhes. Adhes. 2005, 25, 247–256. [Google Scholar] [CrossRef]
- Yu, S.; Tong, M.N.; Critchlow, G. Wedge test of carbon-nanotube-reinforced epoxy adhesive joints. J. Appl. Polym. Sci. 2009, 111, 2957–2962. [Google Scholar] [CrossRef]
- Kempe, M.; Wohlgemuth, J.; Miller, D.; Postak, L.; Booth, D.; Phillips, N. Investigation of a wedge adhesion test for edge seals. In Proceedings of the Reliability of Photovoltaic Cells, Modules, Components, and Systems IX, San Diego, CA, USA, 26 September 2016; Volume 9938, p. 993803. [Google Scholar] [CrossRef]
- van Dam, J.P.B.; Abrahami, S.T.; Yilmaz, A.; Gonzalez-Garcia, Y.; Terryn, H.; Mol, J.M.C. Effect of surface roughness and chemistry on the adhesion and durability of a steel-epoxy adhesive interface. Int. J. Adhes. Adhes. 2020, 96, 102450. [Google Scholar] [CrossRef]
- Budzik, M.; Jumel, J.; Imielińska, K.; Shanahan, M.E.R. Accurate and continuous adhesive fracture energy determination using an instrumented wedge test. Int. J. Adhes. Adhes. 2009, 29, 694–701. [Google Scholar] [CrossRef]
- Budzik, M.K.; Jumel, J.; Shanahan, M.E.R. An in situ technique for the assessment of adhesive properties of a joint under load. Int. J. Fract. 2011, 171, 111–124. [Google Scholar] [CrossRef]
- Dillard, D.A.; Liechti, K.M.; Lefebvre, D.R.; Lin, C.; Thornton, J.S.; Brinson, H.F. Development of Alternative Techniques for Measuring the Fracture Toughness of Rubber-to-Metal Bonds in Harsh Environments. Adhesively Bonded Joints: Testing, Analysis and Design; ASTM STP; Johnson, W.S., Ed.; American Society for Testing and Materials: Philadelphia, PA, USA, 1988; Volume 981, pp. 83–97. [Google Scholar] [CrossRef]
- Hasegawa, K.; Crocombe, A.D.; Coppuck, F.; Jewel, D.; Maher, S. Characterising bonded joints with a thick and flexible adhesive layer—Part 1: Fracture testing and behaviour. Int. J. Adhes. Adhes. 2015, 63, 124–131. [Google Scholar] [CrossRef]
- Sekiguchi, Y.; Katano, M.; Sato, C. Experimental study of the mode I adhesive fracture energy in DCB specimens bonded with a polyurethane adhesive. J. Adhes. 2017, 93, 235–255. [Google Scholar] [CrossRef]
- Gheibi, M.R.; Shojaeefard, M.H.; Googarchin, H.S. A comparative study on the fracture energy determination theories for an automotive structural adhesive: Experimental and numerical investigation. Eng. Fract. Mech. 2019, 212, 13–27. [Google Scholar] [CrossRef]
- Plausinis, D.; Spelt, J.K. Designing for time-dependent crack growth in adhesive joints. Int. J. Adhes. Adhes. 1995, 15, 143–154. [Google Scholar] [CrossRef]
- Kook, S.-Y.; Dauskardt, R.H. Moisture-assisted subcritical debonding of a polymer/metal interface. J. Appl. Phys. 2002, 91, 1293–1303. [Google Scholar] [CrossRef]
- Lane, M.W.; Liu, X.H.; Shaw, T.M. Environmental effects on cracking and delamination of dielectric films. IEEE Trans. Device Mater. Reliab. 2004, 4, 142–147. [Google Scholar] [CrossRef]
- Tan, T.; Rahbar, N.; Buono, A.; Wheeler, G.; Soboyejo, W. Sub-critical crack growth in adhesive/marble interfaces. Mater. Sci. Eng. A 2011, 528, 3697–3704. [Google Scholar] [CrossRef]
- Birringer, R.P.; Shaviv, R.; Besser, P.R.; Dauskardt, R.H. Environmentally assisted debonding of copper/barrier interfaces. Acta Mater. 2012, 60, 2219–2228. [Google Scholar] [CrossRef]
- Bosco, N.; Tracy, J.; Dauskardt, R. Environmental influence on module delamination rate. IEEE J. Photovolt. 2019, 9, 469–475. [Google Scholar] [CrossRef]
- Springer, M.; Bosco, N. Environmental influence on cracking and debonding of electrically conductive adhesives. Eng. Fract. Mech. 2021, 241, 107398. [Google Scholar] [CrossRef]
- Sekiguchi, Y.; Houjou, K.; Shimamoto, K.; Sato, C. Two-parameter analysis of fatigue crack growth behavior in structural acrylic adhesive joints. Fatigue Fract. Eng. Mater. Struct. 2022. Online First version. [Google Scholar] [CrossRef]














| No. | (N/mm) | (J/m2) | Surface Treatment | (°C) |
|---|---|---|---|---|
| 1 | 25 | 500 | Sandblasting | 90 |
| 2 | 49 | 500 | ||
| 3 | 98 | 498 | ||
| 4 | 49 | 621 | ||
| 5 | 49 | 372 | ||
| 6 | 49 | 253 |
| Specimen | (N/mm) | (J/m2) | Surface Treatment | T (°C) |
|---|---|---|---|---|
| SB1 | 25 | 475 | Sandblasting | 32 |
| SB2 | 504 | 63 | ||
| SB3 | 500 | 90 | ||
| AC1 | 25 | 465 | Pickling | 32 |
| AC2 | 492 | 63 | ||
| AC3 | 539 | 90 |
Disclaimer/Publisher’s Note: The statements, opinions and data contained in all publications are solely those of the individual author(s) and contributor(s) and not of MDPI and/or the editor(s). MDPI and/or the editor(s) disclaim responsibility for any injury to people or property resulting from any ideas, methods, instructions or products referred to in the content. |
© 2023 by the authors. Licensee MDPI, Basel, Switzerland. This article is an open access article distributed under the terms and conditions of the Creative Commons Attribution (CC BY) license (https://creativecommons.org/licenses/by/4.0/).
Share and Cite
Nakamura, K.; Sekiguchi, Y.; Shimamoto, K.; Houjou, K.; Akiyama, H.; Sato, C. Creep Crack Growth Behavior during Hot Water Immersion of an Epoxy Adhesive Using a Spring-Loaded Double Cantilever Beam Test Method. Materials 2023, 16, 607. https://doi.org/10.3390/ma16020607
Nakamura K, Sekiguchi Y, Shimamoto K, Houjou K, Akiyama H, Sato C. Creep Crack Growth Behavior during Hot Water Immersion of an Epoxy Adhesive Using a Spring-Loaded Double Cantilever Beam Test Method. Materials. 2023; 16(2):607. https://doi.org/10.3390/ma16020607
Chicago/Turabian StyleNakamura, Kota, Yu Sekiguchi, Kazumasa Shimamoto, Keiji Houjou, Haruhisa Akiyama, and Chiaki Sato. 2023. "Creep Crack Growth Behavior during Hot Water Immersion of an Epoxy Adhesive Using a Spring-Loaded Double Cantilever Beam Test Method" Materials 16, no. 2: 607. https://doi.org/10.3390/ma16020607
APA StyleNakamura, K., Sekiguchi, Y., Shimamoto, K., Houjou, K., Akiyama, H., & Sato, C. (2023). Creep Crack Growth Behavior during Hot Water Immersion of an Epoxy Adhesive Using a Spring-Loaded Double Cantilever Beam Test Method. Materials, 16(2), 607. https://doi.org/10.3390/ma16020607

