Developments in Laminate Modification of Adhesively Bonded Composite Joints
Abstract
1. Introduction
2. Joint Configuration and Geometry
2.1. Joint Geometry
2.2. Effect of Surface Preparation
2.3. Effect of Manufacturing Process
2.4. Alternative Joint Configurations
3. Adhesive Layer Modifications
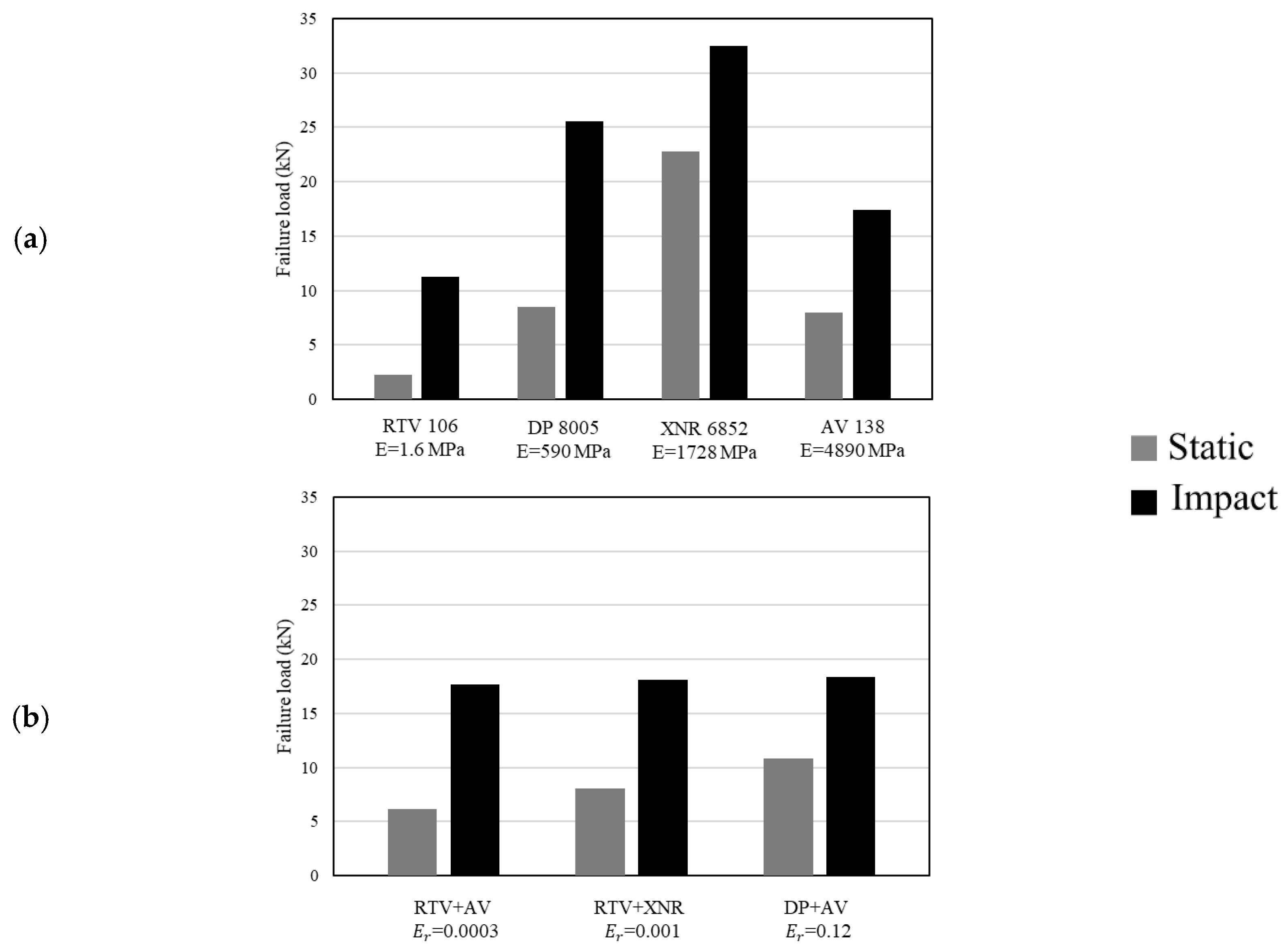
3.1. Mixed and Functionally Graded Adhesive Layer
3.2. Nano-Reinforced Adhesive Layers
4. Substrate Modifications
4.1. Effect of Stacking Sequence
4.2. Thin-Ply Laminates
4.3. Composite Metal Laminates
4.4. Toughened Surface Layers
5. Discussion
6. Conclusions
- It has been shown that, optimising the joint geometry, e.g., the substrate thickness, can cause an increase in the failure load, although substrate delamination will still be a concern. Advanced joint configurations were proposed for composite joints, being shown that, among all configurations under analysis, the FJF joints exhibit the highest static performance, but are still susceptible to delamination due to the modifications that must be made to the composite.
- The adhesive layer can be modified by using a functionally graded or a nano-reinforced adhesive layer. The former overcomes non-uniform distribution of the adhesive layer and allows for the delay of delamination failure. The latter creates efficient stress transfer between nanoparticles and the polymer matrix, which improves the strength of the bond.
- The use of different fibre orientations does allow the joint to improve its performance and strength, forcing the crack to grow through more complex crack paths.
- The use of thin-plies in laminates can cause a delay in crack initiation and propagation due to lowered ply thickness and increased fibre ratios. In addition, the higher degree of design freedom they provide allows for the use of a wider range different fibre orientations and leads to an increase in the static performance of the joint. However, there are very few papers studying the effect of using of thin-plies in composite joints and this technique has now been shown as a viable concept for future research and developments.
- Fully cohesive failure has been obtained for the case of CMLs subjected to different loading conditions. This approach creates a tough and compliant load transfer platform from the adhesive to the metal, which shields the composite core from failure.
- Finally, the use of adherends reinforced with toughened layers follows an approach which is similar to that of CMLs, as it is also able to provide fully cohesive failure. This method allows for the mitigation of the peel stress concentrations in the adhesive layer, virtually eliminating failure by delamination of the substrate.
Funding
Institutional Review Board Statement
Informed Consent Statement
Data Availability Statement
Acknowledgments
Conflicts of Interest
References
- Wang, C.; Huang, Y.D.; Xv, H.Y.; Liu, W.B. The durability of adhesive/carbon–carbon composites joints in salt water. Int. J. Adhes. Adhes. 2004, 24, 471–477. [Google Scholar] [CrossRef]
- Seong, M.S.; Kim, T.H.; Nguyen, K.H.; Kweon, J.H.; Choi, J.H. A parametric study on the failure of bonded single-lap joints of carbon composite and aluminum. Compos. Struct. 2008, 86, 135–145. [Google Scholar] [CrossRef]
- Burkholder, G.L.; Kwon, Y.W.; Pollak, R.D. Effect of carbon nanotube reinforcement on fracture strength of composite adhesive joints. J. Mater. Sci. 2011, 46, 3370–3377. [Google Scholar] [CrossRef]
- Kelly, G. Quasi-static strength and fatigue life of hybrid (bonded/bolted) composite single-lap joints. Compos. Struct. 2006, 72, 119–129. [Google Scholar] [CrossRef]
- Jongbloed, B.C.; Teuwen, J.J.; Benedictus, R.; Villegas, I.F. A Study on Through-the-Thickness Heating in Continuous Ultrasonic Welding of Thermoplastic Composites. Materials 2021, 14, 6620. [Google Scholar] [CrossRef] [PubMed]
- Korycki, A.; Garnier, C.; Bonmatin, M.; Laurent, E.; Chabert, F. Assembling of Carbon Fibre/PEEK Composites: Comparison of Ultrasonic, Induction, and Transmission Laser Welding. Materials 2022, 15, 6365. [Google Scholar] [CrossRef] [PubMed]
- Villegas, I.F. Ultrasonic welding of thermoplastic composites. Front. Mater. 2019, 6, 291. [Google Scholar] [CrossRef]
- Jeevi, G.; Nayak, S.K.; Abdul Kader, M. Review on adhesive joints and their application in hybrid composite structures. J. Adhes. Sci. Technol. 2019, 33, 1497–1520. [Google Scholar] [CrossRef]
- Marannano, G.; Zuccarello, B. Numerical experimental analysis of hybrid double lap aluminum-CFRP joints. Compos. Part B Eng. 2015, 71, 28–39. [Google Scholar] [CrossRef]
- Choi, J.I.; Hasheminia, S.M.; Chun, H.J.; Park, J.C. Experimental study on failure mechanism of hybrid composite joints with different adhesives. Fibers Polym. 2017, 18, 569–574. [Google Scholar] [CrossRef]
- Ariaee, S.; Tutunchi, A.; Kianvash, A.; Entezami, A.A. Modeling and optimization of mechanical behavior of bonded composite–steel single lap joints by response surface methodology. Int. J. Adhes. Adhes. 2014, 54, 30–39. [Google Scholar] [CrossRef]
- Vietri, U.; Guadagno, L.; Raimondo, M.; Vertuccio, L.; Lafdi, K. Nanofilled epoxy adhesive for structural aeronautic materials. Compos. Part B Eng. 2014, 61, 73–83. [Google Scholar] [CrossRef]
- Kim, C.H.; Choi, J.H.; Kweon, J.H. Defect detection in adhesive joints using the impedance method. Compos. Struct. 2015, 120, 183–188. [Google Scholar] [CrossRef]
- Kinloch, A.J. The science of adhesion. J. Mater. Sci. 1980, 15, 2141–2166. [Google Scholar] [CrossRef]
- Balkova, R.; Holcnerova, S.; Cech, V. Testing of adhesives for bonding of polymer composites. Int. J. Adhes. Adhes. 2002, 22, 291–295. [Google Scholar] [CrossRef]
- Sancaktar, E.; Kumar, S. Selective use of rubber toughening to optimize lap-joint strength. J. Adhes. Sci. Technol. 2000, 14, 1265–1296. [Google Scholar] [CrossRef]
- Dean, G.; Crocker, L.; Read, B.; Wright, L. Prediction of deformation and failure of rubber-toughened adhesive joints. Int. J. Adhes. Adhes. 2004, 24, 295–306. [Google Scholar] [CrossRef]
- Zhang, J.; Luo, R.; Yang, C. A multi-wall carbon nanotube-reinforced high-temperature resistant adhesive for bonding carbon/carbon composites. Carbon 2012, 50, 4922–4925. [Google Scholar] [CrossRef]
- Adams, R.D.; Peppiatt, N.A. Stress analysis of adhesive-bonded lap joints. J. Strain Anal. 1974, 9, 185–196. [Google Scholar] [CrossRef]
- Neto, J.A.B.P.; Campilho, R.D.; Da Silva, L.F.M. Parametric study of adhesive joints with composites. Int. J. Adhes. Adhes. 2012, 37, 96–101. [Google Scholar] [CrossRef]
- Da Silva, L.F.; Rodrigues, T.N.S.S.; Figueiredo, M.A.V.; De Moura, M.F.S.F.; Chousal, J.A.G. Effect of adhesive type and thickness on the lap shear strength. J. Adhes. 2006, 82, 1091–1115. [Google Scholar] [CrossRef]
- Kang, S.G.; Kim, M.G.; Kim, C.G. Evaluation of cryogenic performance of adhesives using composite–aluminum double-lap joints. Compos. Struct. 2007, 78, 440–446. [Google Scholar] [CrossRef]
- Da Silva, L.F.; Adams, R.D. Techniques to reduce the peel stresses in adhesive joints with composites. Int. J. Adhes. Adhes. 2007, 27, 227–235. [Google Scholar] [CrossRef]
- Machado, J.J.M.; Gamarra, R.; Marques, E.A.S.; da Silva, L.F. Improvement in impact strength of composite joints for the automotive industry. Compos. Part B Eng. 2018, 138, 243–255. [Google Scholar] [CrossRef]
- Ganesh, V.K.; Choo, T.S. Modulus graded composite adherends for single-lap bonded joints. J. Compos. Mater. 2002, 36, 1757–1767. [Google Scholar] [CrossRef]
- Boss, J.N.; Ganesh, V.K.; Lim, C.T. Modulus grading versus geometrical grading of composite adherends in single-lap bonded joints. Compos. Struct. 2003, 62, 113–121. [Google Scholar] [CrossRef]
- Potter, K.D.; Guild, F.J.; Harvey, H.J.; Wisnom, M.R.; Adams, R.D. Understanding and control of adhesive crack propagation in bonded joints between carbon fibre composite adherends I. Experimental. Int. J. Adhes. Adhes. 2001, 21, 435–443. [Google Scholar] [CrossRef]
- Mouritz, A.P. Review of z-pinned composite laminates. Compos. Part A Appl. Sci. Manuf. 2007, 38, 2383–2397. [Google Scholar] [CrossRef]
- Ko, F.K. Three-dimensional fabrics for composites. In Textile Structural Composites; Chou, T.W., Ko, F.K., Eds.; Elsevier: Amsterdam, The Netherlands, 1989; pp. 129–171. [Google Scholar]
- Sawyer, J.W. Effect of stitching on the strength of bonded composite single lap joints. AIAA J. 1985, 23, 1744–1748. [Google Scholar] [CrossRef]
- Chan, W.S. Design approaches for edge delamination resistance in laminated composites. J. Compos. Technol. Res. 1991, 13, 91–96. [Google Scholar]
- Hader-Kregl, L.; Wallner, G.M.; Kralovec, C.; Eyßell, C. Effect of inter-plies on the short beam shear delamination of steel/composite hybrid laminates. J. Adhes. 2019, 95, 1088–1100. [Google Scholar] [CrossRef]
- Vogelesang, L.B.; Vlot, A. Development of fibre metal laminates for advanced aerospace structures. J. Mater. Process. Technol. 2000, 103, 1–5. [Google Scholar] [CrossRef]
- Simões, B.D.; Nunes, D.; Ramezani, F.; Carbas, R.J.; Marques, E.A.; da Silva, L.F. Experimental and Numerical Study of Thermal Residual Stresses on Multimaterial Adherends in Single-Lap Joints. Materials 2022, 15, 8541. [Google Scholar] [CrossRef] [PubMed]
- Mokhtari, M.; Madani, K.; Belhouari, M.; Touzain, S.; Feaugas, X.; Ratwani, M. Effects of composite adherend properties on stresses in double lap bonded joints. Mater. Des. 2013, 44, 633–639. [Google Scholar] [CrossRef]
- Pramanik, A.; Basak, A.K.; Dong, Y.; Sarker, K.; Uddin, M.S.; Littlefair, G.; Dixit, A.R.; Chattopadhyaya, S. Joining of carbon fibre reinforced polymer (CFRP) composites and aluminium alloys—A review. Compos. Part A Appl. Sci. Manuf. 2017, 101, 1–29. [Google Scholar] [CrossRef]
- Dos Reis, M.Q.; Marques, E.A.S.; Carbas, R.J.C.; Da Silva, L.F.M. Functionally graded adherends in adhesive joints: An overview. J. Adv. Join. Process. 2020, 2, 10003. [Google Scholar] [CrossRef]
- Budhe, S.; Banea, M.D.; De Barros, S.; Da Silva, L.F.M. An updated review of adhesively bonded joints in composite materials. Int. J. Adhes. Adhes. 2017, 72, 30–42. [Google Scholar] [CrossRef]
- Shang, X.; Marques, E.A.S.; Machado, J.J.M.; Carbas, R.J.C.; Jiang, D.; Da Silva, L.F.M. Review on techniques to improve the strength of adhesive joints with composite adherends. Compos. Part B Eng. 2019, 177, 107363. [Google Scholar] [CrossRef]
- Matthews, F.L.; Kilty, F.; Godwin, E.W. A review of the strength of joints in fibre-reinforced plastics. Part 2. Adhesively bonded joints. Composites 1982, 13, 29–37. [Google Scholar] [CrossRef]
- Araújo, H.A.M.; Machado, J.J.M.; Marques, E.A.S.; Da Silva, L.F.M. Dynamic behaviour of composite adhesive joints for the automotive industry. Compos. Struct. 2017, 171, 549–561. [Google Scholar] [CrossRef]
- Reis, N.; Ferreira, J.A.M.; Antunes, F. Effect of adherend’s rigidity on the shear strength of single lap adhesive joints. Int. J. Adhes. Adhes. 2011, 31, 193–201. [Google Scholar] [CrossRef]
- Ozel, A.; Yazici, B.; Akpinar, S.; Aydin, M.D.; Temiz, Ş. A study on the strength of adhesively bonded joints with different adherends. Compos. Part B Eng. 2014, 62, 167–174. [Google Scholar] [CrossRef]
- Ye, J.; Yan, Y.; Hong, Y.; Guo, F. An integrated constitutive model for tensile failure analysis and overlap design of adhesive-bonded composite joints. Compos. Struct. 2019, 223, 110986. [Google Scholar] [CrossRef]
- Demiral, M.; Kadioglu, F. Failure behaviour of the adhesive layer and angle ply composite adherends in single lap joints: A numerical study. Int. J. Adhes. Adhes. 2018, 87, 181–190. [Google Scholar] [CrossRef]
- da Costa Mattos, H.S.; Monteiro, A.H.; Palazzetti, R. Failure analysis of adhesively bonded joints in composite materials. Mater. Des. 2012, 33, 242–247. [Google Scholar] [CrossRef]
- Li, J.; Yan, Y.; Zhang, T.; Liang, Z. Experimental study of adhesively bonded CFRP joints subjected to tensile loads. Int. J. Adhes. Adhes. 2015, 57, 95–104. [Google Scholar] [CrossRef]
- Kanerva, M.; Saarela, O. The peel ply surface treatment for adhesive bonding of composites: A review. Int. J. Adhes. Adhes. 2013, 43, 60–69. [Google Scholar] [CrossRef]
- Islam, M.S.; Tong, L.; Falzon, J. Influence of metal surface preparation on its surface profile, contact angle, surface energy and adhesion with glass fibre prepreg. Int. J. Adhes. Adhes. 2014, 51, 32–41. [Google Scholar] [CrossRef]
- Encinas, N.; Oakley, B.R.; Belcher, M.A.; Blohowiak, K.Y.; Dillingham, R.G.; Abenojar, J.; Martínez, M.A. Surface modification of aircraft used composites for adhesive bonding. Int. J. Adhes. Adhes. 2014, 50, 157–163. [Google Scholar] [CrossRef]
- Li, S.; Sun, T.; Liu, C.; Yang, W.; Tang, Q. A study of laser surface treatment in bonded repair of composite aircraft structures. R. Soc. Open Sci. 2018, 5, 171272. [Google Scholar] [CrossRef] [PubMed]
- Wingfield, J.R.J. Treatment of composite surfaces for adhesive bonding. Int. J. Adhes. Adhes. 1993, 13, 151–156. [Google Scholar] [CrossRef]
- Baker, A. Bonded Repair of Aircraft Structures; Springer Science & Business Media: New York, NY, USA, 1988; Volume 7. [Google Scholar]
- Palmieri, F.L.; Belcher, M.A.; Wohl, C.J.; Blohowiak, K.Y.; Connell, J.W. Laser ablation surface preparation for adhesive bonding of carbon fiber reinforced epoxy composites. Int. J. Adhes. Adhes. 2016, 68, 95–101. [Google Scholar] [CrossRef]
- Fischer, F.; Kreling, S.; Gäbler, F.; Delmdahl, R. Using excimer lasers to clean CFRP prior to adhesive bonding. Reinf. Plast. 2013, 57, 43–46. [Google Scholar] [CrossRef]
- Mohan, J.; Ramamoorthy, A.; Ivanković, A.; Dowling, D.; Murphy, N. Effect of an atmospheric pressure plasma treatment on the mode I fracture toughness of a co-cured composite joint. J. Adhes. 2014, 90, 733–754. [Google Scholar] [CrossRef]
- Holtmannspötter, J.; Czarnecki, J.V.; Feucht, F.; Wetzel, M.; Gudladt, H.J.; Hofmann, T.; Meyer, J.C.; Niedernhuber, M. On the fabrication and automation of reliable bonded composite repairs. J. Adhes. 2015, 91, 39–70. [Google Scholar] [CrossRef]
- Arenas, J.M.; Alía, C.; Narbón, J.J.; Ocaña, R.; González, C. Considerations for the industrial application of structural adhesive joints in the aluminium–composite material bonding. Compos. Part B Eng. 2013, 44, 417–423. [Google Scholar] [CrossRef]
- Kanerva, M.; Sarlin, E.; Hoikkanen, M.; Rämö, K.; Saarela, O.; Vuorinen, J. Interface modification of glass fibre–polyester composite–composite joints using peel plies. Int. J. Adhes. Adhes. 2015, 59, 40–52. [Google Scholar] [CrossRef]
- Buchmann, C.; Langer, S.; Filsinger, J.; Drechsler, K. Analysis of the removal of peel ply from CFRP surfaces. Compos. Part B Eng. 2016, 89, 352–361. [Google Scholar] [CrossRef]
- Thull, D.; Zimmer, F.; Hofmann, T.; Holtmannspoetter, J.; Koerwien, T.; Hoffmann, M. Investigation of fluorine-based release agents for structural adhesive bonding of carbon fibre reinforced plastics. Appl. Adhes. Sci. 2019, 7, 2. [Google Scholar] [CrossRef]
- Rhee, K.Y.; Yang, J.H. A study on the peel and shear strength of aluminum/CFRP composites surface-treated by plasma and ion assisted reaction method. Compos. Sci. Technol. 2003, 63, 33–40. [Google Scholar] [CrossRef]
- Ramaswamy, K.; O’Higgins, R.M.; Kadiyala, A.K.; McCarthy, M.A.; McCarthy, C.T. Evaluation of grit-blasting as a pre-treatment for carbon-fibre thermoplastic composite to aluminium bonded joints tested at static and dynamic loading rates. Compos. Part B Eng. 2020, 185, 107765. [Google Scholar] [CrossRef]
- Prolongo, S.G.; Gude, M.R.; Del Rosario, G.; Ureña, A. Surface pretreatments for composite joints: Study of surface profile by SEM image analysis. J. Adhes. Sci. Technol. 2010, 24, 1855–1867. [Google Scholar] [CrossRef]
- Schmutzler, H.; Popp, J.; Büchter, E.; Wittich, H.; Schulte, K.; Fiedler, B. Improvement of bonding strength of scarf-bonded carbon fibre/epoxy laminates by Nd: YAG laser surface activation. Compos. Part A Appl. Sci. Manuf. 2014, 67, 123–130. [Google Scholar] [CrossRef]
- De Barros, S.; Kenedi, P.P.; Ferreira, S.M.; Budhe, S.; Bernardino, A.J.; Souza, L.F.G. Influence of mechanical surface treatment on fatigue life of bonded joints. J. Adhes. 2017, 93, 599–612. [Google Scholar] [CrossRef]
- Brack, N.; Rider, A.N. The influence of mechanical and chemical treatments on the environmental resistance of epoxy adhesive bonds to titanium. Int. J. Adhes. Adhes. 2014, 48, 20–27. [Google Scholar] [CrossRef]
- Baker, A.A.; Chester, R.J. Minimum surface treatments for adhesively bonded repairs. Int. J. Adhes. Adhes. 1992, 12, 73–78. [Google Scholar] [CrossRef]
- Schubbe, J.J.; Mall, S. Investigation of a cracked thick aluminum panel repaired with a bonded composite patch. Eng. Fract. Mech. 1999, 63, 305–323. [Google Scholar] [CrossRef]
- Oliveira, V.; Sharma, S.P.; De Moura, M.F.S.F.; Moreira, R.D.F.; Vilar, R. Surface treatment of CFRP composites using femtosecond laser radiation. Opt. Lasers Eng. 2017, 94, 37–43. [Google Scholar] [CrossRef]
- De Freese, J.; Holtmannspötter, J.; Raschendorfer, S.; Hofmann, T. End milling of Carbon Fiber Reinforced Plastics as surface pretreatment for adhesive bonding—Effect of intralaminar damages and particle residues. J. Adhes. 2018, 96, 1122–1140. [Google Scholar] [CrossRef]
- Morano, C.; Tao, R.; Alfano, M.; Lubineau, G. Effect of Mechanical Pretreatments on Damage Mechanisms and Fracture Toughness in CFRP/Epoxy Joints. Materials 2021, 14, 1512. [Google Scholar] [CrossRef]
- Leone, C.; Genna, S. Effects of surface laser treatment on direct co-bonding strength of CFRP laminates. Compos. Struct. 2018, 194, 240–251. [Google Scholar] [CrossRef]
- Akman, E.; Erdoğan, Y.; Bora, M.Ö.; Çoban, O.; Oztoprak, B.G.; Demir, A. Investigation of the differences between photochemical and photothermal laser ablation on the shear strength of CFRP/CFRP adhesive joints. Int. J. Adhes. Adhes. 2020, 98, 102548. [Google Scholar] [CrossRef]
- Akman, E.; Erdoğan, Y.; Bora, M.Ö.; Çoban, O.; Oztoprak, B.G.; Demir, A. Investigation of accumulated laser fluence and bondline thickness effects on adhesive joint performance of CFRP composites. Int. J. Adhes. Adhes. 2019, 89, 109–116. [Google Scholar] [CrossRef]
- Brune, K.; Lima, L.; Noeske, M.; Thiel, K.; Tornow, C.; Dieckhoff, S.; Hoffmann, M.; Stübing, D. Pre-bond quality assurance of CFRP surfaces using optically stimulated electron emission. In Proceedings of the 3rd International Conference of Engineering Against Failure, ICEAF, Kos, Greece, 26–28 June 2013; pp. 300–307. [Google Scholar]
- Kumar, R.L.; Bhat, M.R.; Murthy, C.R.L. Non Destructive Evaluation of Degradation in Bond Line of Glass Fiber Reinforced Polymer Composite Adhesive Lap Joints. Int. J. Aerosp. Innov. 2013, 5, 61–72. [Google Scholar] [CrossRef]
- Malinowski, P.; Wandowski, T.; Ostachowicz, W. The use of electromechanical impedance conductance signatures for detection of weak adhesive bonds of carbon fibre–reinforced polymer. Struct. Health Monit. 2015, 14, 332–344. [Google Scholar] [CrossRef]
- Teixeira de Freitas, S.; Zarouchas, D.; Poulis, J.A. The use of acoustic emission and composite peel tests to detect weak adhesion in composite structures. J. Adhes. 2018, 94, 743–766. [Google Scholar] [CrossRef]
- Yılmaz, B.; Jasiūnienė, E. Advanced ultrasonic NDT for weak bond detection in composite-adhesive bonded structures. Int. J. Adhes. Adhes. 2020, 102, 102675. [Google Scholar] [CrossRef]
- Baek, S.J.; Kim, M.S.; An, W.J.; Choi, J.H. Defect detection of composite adhesive joints using electrical resistance method. Compos. Struct. 2019, 220, 179–184. [Google Scholar] [CrossRef]
- Kwon, D.J.; Wang, Z.J.; Choi, J.Y.; Shin, S.; DeVries, K.L.; Park, J.M. Damage sensing and fracture detection of CNT paste using electrical resistance measurements. Compos. Part B Eng. 2016, 90, 386–391. [Google Scholar] [CrossRef]
- An, W.J.; Kim, C.H.; Kim, T.H.; Choi, J.H. Study on strength and defect detection capability of bonded joints according to CNT content. Compos. Struct. 2019, 207, 204–212. [Google Scholar] [CrossRef]
- Kumar, R.V.; Bhat, M.R.; Murthy, C.R.L. Evaluation of kissing bond in composite adhesive lap joints using digital image correlation: Preliminary studies. Int. J. Adhes. Adhes. 2013, 42, 60–68. [Google Scholar] [CrossRef]
- Ashcroft, I.A.; Hughes, D.J.; Shaw, S.J. Adhesive bonding of fibre reinforced polymer composite materials. Assem. Autom. 2000, 20, 150–161. [Google Scholar] [CrossRef]
- Masmanidis, I.T.; Philippidis, T.P. Progressive damage modeling of adhesively bonded lap joints. Int. J. Adhes. Adhes. 2015, 59, 53–61. [Google Scholar] [CrossRef]
- Bishop, S.M.; Gilmore, R.B. Fatigue of Bonded CFRP Joints: Fracture Mechanisms and Environmental Effects, Adhesion 90; Plastics and Rubber Institute: Cambridge, UK, 1990. [Google Scholar]
- Mohan, J.; Ivanković, A.; Murphy, N. Mixed-mode fracture toughness of co-cured and secondary bonded composite joints. Eng. Fract. Mech. 2015, 134, 148–167. [Google Scholar] [CrossRef]
- Song, M.G.; Kweon, J.H.; Choi, J.H.; Byun, J.H.; Song, M.H.; Shin, S.J.; Lee, T.J. Effect of manufacturing methods on the shear strength of composite single-lap bonded joints. Compos. Struct. 2010, 92, 2194–2202. [Google Scholar] [CrossRef]
- Mohan, J.; Ivanković, A.; Murphy, N. Mode I fracture toughness of co-cured and secondary bonded composite joints. Int. J. Adhes. Adhes. 2014, 51, 13–22. [Google Scholar] [CrossRef]
- Sebastiani, G.; Pfeifer, S.; Röber, L.; Katoh, J.; Yamaguchi, Z.; Takada, S. Bonding Strength of FRP-Metal Hybrids. Technol. Lightweight Struct. 2019, 3, 1–8. [Google Scholar] [CrossRef]
- Mohan, J.; Ivanković, A.; Murphy, N. Effect of prepreg storage humidity on the mixed-mode fracture toughness of a co-cured composite joint. Compos. Part A Appl. Sci. Manuf. 2013, 45, 23–34. [Google Scholar] [CrossRef]
- Balzani, C.; Wagner, W.; Wilckens, D.; Degenhardt, R.; Büsing, S.; Reimerdes, H.G. Adhesive joints in composite laminates—A combined numerical/experimental estimate of critical energy release rates. Int. J. Adhes. Adhes. 2012, 32, 23–38. [Google Scholar] [CrossRef]
- Hart-Smith, L.J. Designing to minimize peel stresses in adhesive-bonded joints. In Delamination and Debonding of Materials; ASTM International: West Conshohocken, PA, USA, 1985. [Google Scholar]
- Reis, N.B.; Antunes, F.J.V.; Ferreira, J.A.M. Influence of superposition length on mechanical resistance of single-lap adhesive joints. Compos. Struct. 2005, 67, 125–133. [Google Scholar] [CrossRef]
- Kaye, R.H.; Heller, M. Through-thickness shape optimisation of bonded repairs and lap-joints. Int. J. Adhes. Adhes. 2002, 22, 7–21. [Google Scholar] [CrossRef]
- Lang, T.P.; Mallick, K. The effect of recessing on the stresses in adhesively bonded single-lap joints. Int. J. Adhes. Adhes. 1999, 19, 257–271. [Google Scholar] [CrossRef]
- Tsai, M.Y.; Morton, J. The effect of a spew fillet on adhesive stress distributions in laminated composite single-lap joints. Compos. Struct. 1995, 32, 123–131. [Google Scholar] [CrossRef]
- Rispler, A.R.; Tong, L.; Steven, G.P.; Wisnom, M.R. Shape optimisation of adhesive fillets. Int. J. Adhes. Adhes. 2000, 20, 221–231. [Google Scholar] [CrossRef]
- Chen, I.; Wang, K.Y.; Huang, H.H. Strength and failure modes of adhesively bonded composite joints with easily fabricated nonflat interfaces. Compos. Struct. 2019, 225, 111162. [Google Scholar] [CrossRef]
- Zeng, Q.G.; Sun, C.T. Novel design of a bonded lap joint. AIAA J. 2001, 39, 1991–1996. [Google Scholar] [CrossRef]
- Kishore, A.N.; Prasad, N.S. An experimental study of Flat-Joggle-Flat bonded joints in composite laminates. Int. J. Adhes. Adhes. 2012, 35, 55–58. [Google Scholar] [CrossRef]
- de Freitas, S.T.; Sinke, J. Adhesion properties of bonded composite-to-aluminium joints using peel tests. J. Adhes. 2014, 90, 511–525. [Google Scholar] [CrossRef]
- de Freitas, S.T.; Banea, M.D.; Budhe, S.; De Barros, S. Interface adhesion assessment of composite-to-metal bonded joints under salt spray conditions using peel tests. Compos. Struct. 2017, 164, 68–75. [Google Scholar] [CrossRef]
- Dadian, A.; Rahnama, S. Experimental and numerical study of optimum functionally graded Aluminum/GFRP adhesive lap shear joints using Epoxy/CTBN. Int. J. Adhes. Adhes. 2021, 107, 102854. [Google Scholar] [CrossRef]
- Da Silva, L.F.; Adams, R.D. Joint strength predictions for adhesive joints to be used over a wide temperature range. Int. J. Adhes. Adhes. 2007, 27, 362–379. [Google Scholar] [CrossRef]
- Akhavan-Safar, A.; Ramezani, F.; Delzendehrooy, F.; Ayatollahi, M.R.; da Silva, L.F.M. A review on bi-adhesive joints: Benefits and challenges. Int. J. Adhes. Adhes. 2022, 114, 103098. [Google Scholar] [CrossRef]
- Ramezani, F.; Ayatollahi, M.R.; Akhavan-Safar, A.; Da Silva, L.F.M. A comprehensive experimental study on bi-adhesive single lap joints using DIC technique. Int. J. Adhes. Adhes. 2020, 102, 102674. [Google Scholar] [CrossRef]
- Jairaja, R.; Naik, G.N. Single and dual adhesive bond strength analysis of single lap joint between dissimilar adherends. Int. J. Adhes. Adhes. 2019, 92, 142–153. [Google Scholar]
- Arenas, J.M.; Alía, C.; Narbón, J.J.; Ocaña, R.; Recio, M.M. Considerations for application of structural adhesives for joining aluminium with compound materials in the manufacturing of competition motorcycles. In AIP Conference Proceedings; American Institute of Physics: New York, NY, USA, 2012; Volume 1431, pp. 959–966. [Google Scholar]
- Machado, J.J.M.; Gamarra, R.; Marques, E.A.S.; da Silva, L.F. Numerical study of the behaviour of composite mixed adhesive joints under impact strength for the automotive industry. Compos. Struct. 2018, 185, 373–380. [Google Scholar] [CrossRef]
- Stapleton, S.E.; Waas, A.M.; Arnold, S.M. Functionally graded adhesives for composite joints. Int. J. Adhes. Adhes. 2012, 35, 36–49. [Google Scholar] [CrossRef]
- Da Silva, L.F.; Adams, R.D. Adhesive joints at high and low temperatures using similar and dissimilar adherends and dual adhesives. Int. J. Adhes. Adhes. 2007, 27, 216–226. [Google Scholar] [CrossRef]
- Jojibabu, P.; Zhang, Y.X.; Prusty, B.G. A review of research advances in epoxy-based nanocomposites as adhesive materials. Int. J. Adhes. Adhes. 2020, 96, 102454. [Google Scholar] [CrossRef]
- Al-Turaif, H.A. Effect of nano TiO2 particle size on mechanical properties of cured epoxy resin. Prog. Org. Coat. 2010, 69, 241–246. [Google Scholar] [CrossRef]
- Akpinar, I.A.; Gültekin, K.; Akpinar, S.; Akbulut, H.; Ozel, A. Experimental analysis on the single-lap joints bonded by a nanocomposite adhesives which obtained by adding nanostructures. Compos. Part B Eng. 2017, 110, 420–428. [Google Scholar] [CrossRef]
- Tutunchi, A.; Kamali, R.; Kianvash, A. Adhesive strength of steel–epoxy composite joints bonded with structural acrylic adhesives filled with silica nanoparticles. J. Adhes. Sci. Technol. 2015, 29, 195–206. [Google Scholar] [CrossRef]
- Pavlidou, S.; Papaspyrides, C.D. A review on polymer–layered silicate nanocomposites. Prog. Polym. Sci. 2008, 33, 1119–1198. [Google Scholar] [CrossRef]
- Feng, L.; Bae, D.H. Joining STS304l sheets by using nano-adhesives. J. Mech. Sci. Technol. 2013, 27, 1943–1947. [Google Scholar] [CrossRef]
- Hsiao, K.T.; Alms, J.; Advani, S.G. Use of epoxy/multiwalled carbon nanotubes as adhesives to join graphite fibre reinforced polymer composites. Nanotechnology 2003, 14, 791. [Google Scholar] [CrossRef]
- Kinloch, A.J.; Lee, J.H.; Taylor, A.C.; Sprenger, S.; Eger, C.; Egan, D. Toughening structural adhesives via nano-and micro-phase inclusions. J. Adhes. 2003, 79, 867–873. [Google Scholar] [CrossRef]
- Patel, S.; Bandyopadhyay, A.; Ganguly, A.; Bhowmick, A.K. Synthesis and properties of nanocomposite adhesives. J. Adhes. Sci. Technol. 2006, 20, 371–385. [Google Scholar] [CrossRef]
- Park, S.W.; Lee, D.G. Strength of double lap joints bonded with carbon black reinforced adhesive under cryogenic environment. J. Adhes. Sci. Technol. 2009, 23, 619–638. [Google Scholar] [CrossRef]
- Dorigato, A.; Pegoretti, A. The role of alumina nanoparticles in epoxy adhesives. J. Nanopart. Res. 2011, 13, 2429–2441. [Google Scholar] [CrossRef]
- Shang, X.; Marques, E.A.S.; Machado, J.J.M.; Carbas, R.J.C.; Jiang, D.; Da Silva, L.F.M. A strategy to reduce delamination of adhesive joints with composite substrates. Proc. Inst. Mech. Eng. Part L J. Mater. Des. Appl. 2019, 233, 521–530. [Google Scholar] [CrossRef]
- Meguid, S.A.; Sun, Y. On the tensile and shear strength of nano-reinforced composite interfaces. Mater. Des. 2004, 25, 289–296. [Google Scholar] [CrossRef]
- Srivastava, V.K. Effect of carbon nanotubes on the strength of adhesive lap joints of C/C and C/C–SiC ceramic fibre composites. Int. J. Adhes. Adhes. 2011, 31, 486–489. [Google Scholar] [CrossRef]
- Faulkner, S.D.; Kwon, Y.W.; Bartlett, S.; Rasmussen, E.A. Study of composite joint strength with carbon nanotube reinforcement. J. Mater. Sci. 2009, 44, 2858–2864. [Google Scholar] [CrossRef]
- Kumar, A.; Kumar, K.; Ghosh, K.; Rathi, A.; Yadav, K.L. MWCNTs toward superior strength of epoxy adhesive joint on mild steel adherent. Compos. Part B Eng. 2018, 143, 207–216. [Google Scholar] [CrossRef]
- Gude, M.R.; Prolongo, S.G.; Gómez-del Río, T.; Ureña, A. Mode-I adhesive fracture energy of carbon fibre composite joints with nanoreinforced epoxy adhesives. Int. J. Adhes. Adhes. 2011, 31, 695–703. [Google Scholar] [CrossRef]
- Khashaba, U.A.; Aljinaidi, A.A.; Hamed, M.A. Analysis of adhesively bonded CFRE composite scarf joints modified with MWCNTs. Compos. Part A Appl. Sci. Manuf. 2015, 71, 59–71. [Google Scholar] [CrossRef]
- Zielecki, W.; Kubit, A.; Trzepieciński, T.; Narkiewicz, U.; Czech, Z. Impact of multiwall carbon nanotubes on the fatigue strength of adhesive joints. Int. J. Adhes. Adhes. 2017, 73, 16–21. [Google Scholar] [CrossRef]
- Kang, M.H.; Choi, J.H.; Kweon, J.H. Fatigue life evaluation and crack detection of the adhesive joint with carbon nanotubes. Compos. Struct. 2014, 108, 417–422. [Google Scholar] [CrossRef]
- Bily, M.A.; Kwon, Y.W.; Pollak, R.D. Study of composite interface fracture and crack growth monitoring using carbon nanotubes. Appl. Compos. Mater. 2010, 17, 347–362. [Google Scholar] [CrossRef]
- Hua, Y.; Gu, L.; Trogdon, M. Three-dimensional modeling of carbon/epoxy to titanium single-lap joints with variable adhesive recess length. Int. J. Adhes. Adhes. 2012, 38, 25–30. [Google Scholar] [CrossRef]
- Moya-Sanz, E.M.; Ivañez, I.; Garcia-Castillo, S.K. Effect of the geometry in the strength of single-lap adhesive joints of composite laminates under uniaxial tensile load. Int. J. Adhes. Adhes. 2017, 72, 23–29. [Google Scholar] [CrossRef]
- Ostapiuk, M.; Bieniaś, J. Fracture analysis and shear strength of aluminum/CFRP and GFRP adhesive joint in fiber metal laminates. Materials 2019, 13, 7. [Google Scholar] [CrossRef] [PubMed]
- Akpinar, S. Effects of laminate carbon/epoxy composite patches on the strength of double-strap adhesive joints: Experimental and numerical analysis. Mater. Des. 2013, 51, 501–512. [Google Scholar] [CrossRef]
- Hazimeh, R.; Challita, G.; Khalil, K.; Othman, R. Experimental investigation of the influence of substrates’ fibers orientations on the impact response of composite double-lap joints. Compos. Struct. 2015, 134, 82–89. [Google Scholar] [CrossRef]
- Purimpat, S.; Jérôme, R.; Shahram, A. Effect of fiber angle orientation on a laminated composite single-lap adhesive joint. Adv. Compos. Mater. 2013, 22, 139–149. [Google Scholar] [CrossRef]
- Arteiro, A.; Catalanotti, G.; Xavier, J.; Linde, P.; Camanho, P.P. A strategy to improve the structural performance of non-crimp fabric thin-ply laminates. Compos. Struct. 2018, 188, 438–449. [Google Scholar] [CrossRef]
- Ramezani, F.; Carbas, R.J.; Marques, E.A.; Ferreira, A.M.; da Silva, L.F. A study of the fracture mechanisms of hybrid carbon fiber reinforced polymer laminates reinforced by thin-ply. Polym. Compos. 2022. [Google Scholar] [CrossRef]
- Sihn, S.; Kim, R.Y.; Kawabe, K.; Tsai, S.W. Experimental studies of thin-ply laminated composites. Compos. Sci. Technol. 2007, 67, 996–1008. [Google Scholar] [CrossRef]
- Roure, T. C-PLY™, a new structural approach to multiaxials in composites: BI-ANGLE NCF. JEC Compos. 2011, 68, 53–54. [Google Scholar]
- Amacher, R.; Cugnoni, J.; Botsis, J.; Sorensen, L.; Smith, W.; Dransfeld, C. Thin ply composites: Experimental characterization and modeling of size-effects. Compos. Sci. Technol. 2014, 101, 121–132. [Google Scholar] [CrossRef]
- Kötter, B.; Karsten, J.; Körbelin, J.; Fiedler, B. CFRP thin-ply fibre metal laminates: Influences of ply thickness and metal layers on open hole tension and compression properties. Materials 2020, 13, 910. [Google Scholar] [CrossRef]
- Yokozeki, T.; Kuroda, A.; Yoshimura, A.; Ogasawara, T.; Aoki, T. Damage characterization in thin-ply composite laminates under out-of-plane transverse loadings. Compos. Struct. 2010, 93, 49–57. [Google Scholar] [CrossRef]
- Mania, R.J.; York, C.B. Buckling strength improvements for Fibre Metal Laminates using thin-ply tailoring. Compos. Struct. 2017, 159, 424–432. [Google Scholar] [CrossRef]
- Zubillaga, L.; Turon, A.; Renart, J.; Costa, J.; Linde, P. An experimental study on matrix crack induced delamination in composite laminates. Compos. Struct. 2015, 127, 10–17. [Google Scholar] [CrossRef]
- Wisnom, M.R.; Khan, B.; Hallett, S.R. Size effects in unnotched tensile strength of unidirectional and quasi-isotropic carbon/epoxy composites. Compos. Struct. 2008, 84, 21–28. [Google Scholar] [CrossRef]
- Kim, R.Y.; Soni, S.R. Experimental and analytical studies on the onset of delamination in laminated composites. J. Compos. Mater. 1984, 18, 70–80. [Google Scholar] [CrossRef]
- Saito, H.; Takeuchi, H.; Kimpara, I. Experimental evaluation of the damage growth restraining in 90 layer of thin-ply CFRP cross-ply laminates. Adv. Compos. Mater. 2012, 21, 57–66. [Google Scholar] [CrossRef]
- Camanho, P.P.; Dávila, C.G.; Pinho, S.T.; Iannucci, L.; Robinson, P. Prediction of in situ strengths and matrix cracking in composites under transverse tension and in-plane shear. Compos. Part A Appl. Sci. Manuf. 2006, 37, 165–176. [Google Scholar] [CrossRef]
- Kupski, J.; Zarouchas, D.; de Freitas, S.T. Thin-plies in adhesively bonded carbon fiber reinforced polymers. Compos. Part B Eng. 2020, 184, 107627. [Google Scholar] [CrossRef]
- Carbas, R.J.; Palmares, M.P.; Da Silva, L.F. Experimental and FE study of hybrid laminates aluminium carbon-fibre joints with different lay-up configurations. Manuf. Rev. 2020, 7, 2. [Google Scholar] [CrossRef]
- Ramezani, F.; Nunes, D.P.; Carbas, R.J.C.; Marques, E.A.S.; da Silva, L.F.M. The joint strength of hybrid composite joints reinforced with different laminates materials. J. Adv. Join. Process. 2022, 5, 100103. [Google Scholar] [CrossRef]
- Morgado, M.A.; Carbas, R.J.C.; Marques, E.A.S.; Da Silva, L.F.M. Reinforcement of CFRP single lap joints using metal laminates. Compos. Struct. 2019, 230, 111492. [Google Scholar] [CrossRef]
- Dos Santos, D.G.; Carbas, R.J.C.; Marques, E.A.S.; da Silva, L.F.M. Reinforcement of CFRP joints with fibre metal laminates and additional adhesive layers. Compos. Part B Eng. 2019, 165, 386–396. [Google Scholar] [CrossRef]
- Carbas, R.J.C.; Marques, E.A.S.; Da Silva, L.F.M. The influence of epoxy adhesive toughness on the strength of hybrid laminate adhesive joints. Appl. Adhes. Sci. 2021, 9, 1. [Google Scholar] [CrossRef]
- Morgado, M.A.; Carbas, R.J.C.; Dos Santos, D.G.; Da Silva, L.F.M. Strength of CFRP joints reinforced with adhesive layers. Int. J. Adhes. Adhes. 2020, 97, 102475. [Google Scholar] [CrossRef]
- Schollerer, M.J.; Kosmann, J.; Völkerink, O.; Holzhüter, D.; Hühne, C. Surface toughening—A concept to decrease stress peaks in bonded joints. J. Adhes. 2019, 95, 495–514. [Google Scholar] [CrossRef]




























Disclaimer/Publisher’s Note: The statements, opinions and data contained in all publications are solely those of the individual author(s) and contributor(s) and not of MDPI and/or the editor(s). MDPI and/or the editor(s) disclaim responsibility for any injury to people or property resulting from any ideas, methods, instructions or products referred to in the content. |
© 2023 by the authors. Licensee MDPI, Basel, Switzerland. This article is an open access article distributed under the terms and conditions of the Creative Commons Attribution (CC BY) license (https://creativecommons.org/licenses/by/4.0/).
Share and Cite
Ramezani, F.; Simões, B.D.; Carbas, R.J.C.; Marques, E.A.S.; da Silva, L.F.M. Developments in Laminate Modification of Adhesively Bonded Composite Joints. Materials 2023, 16, 568. https://doi.org/10.3390/ma16020568
Ramezani F, Simões BD, Carbas RJC, Marques EAS, da Silva LFM. Developments in Laminate Modification of Adhesively Bonded Composite Joints. Materials. 2023; 16(2):568. https://doi.org/10.3390/ma16020568
Chicago/Turabian StyleRamezani, Farin, Beatriz D. Simões, Ricardo J. C. Carbas, Eduardo A. S. Marques, and Lucas F. M. da Silva. 2023. "Developments in Laminate Modification of Adhesively Bonded Composite Joints" Materials 16, no. 2: 568. https://doi.org/10.3390/ma16020568
APA StyleRamezani, F., Simões, B. D., Carbas, R. J. C., Marques, E. A. S., & da Silva, L. F. M. (2023). Developments in Laminate Modification of Adhesively Bonded Composite Joints. Materials, 16(2), 568. https://doi.org/10.3390/ma16020568

