Similar Material Proportioning Tests and Mechanical Properties Based on Orthogonal Design
Abstract
:1. Introduction
2. Similar Material Proportioning Orthogonal Design Solutions
2.1. Orthogonal Design Methods
2.2. Material Selection and Factor Setting
3. Preparation of Specimens and Mechanical Tests
3.1. Preparation of Specimens
3.2. Uniaxial Compression Test
3.3. Double-Sided Shear Test
3.4. Brazilian Cleavage Test
4. Analysis of Test Results
5. Sensitivity Analysis of Each Factor
5.1. Sensitivity Analysis of Density Influencing Factors
5.2. Sensitivity Analysis of Factors Influencing the Compressive Strength
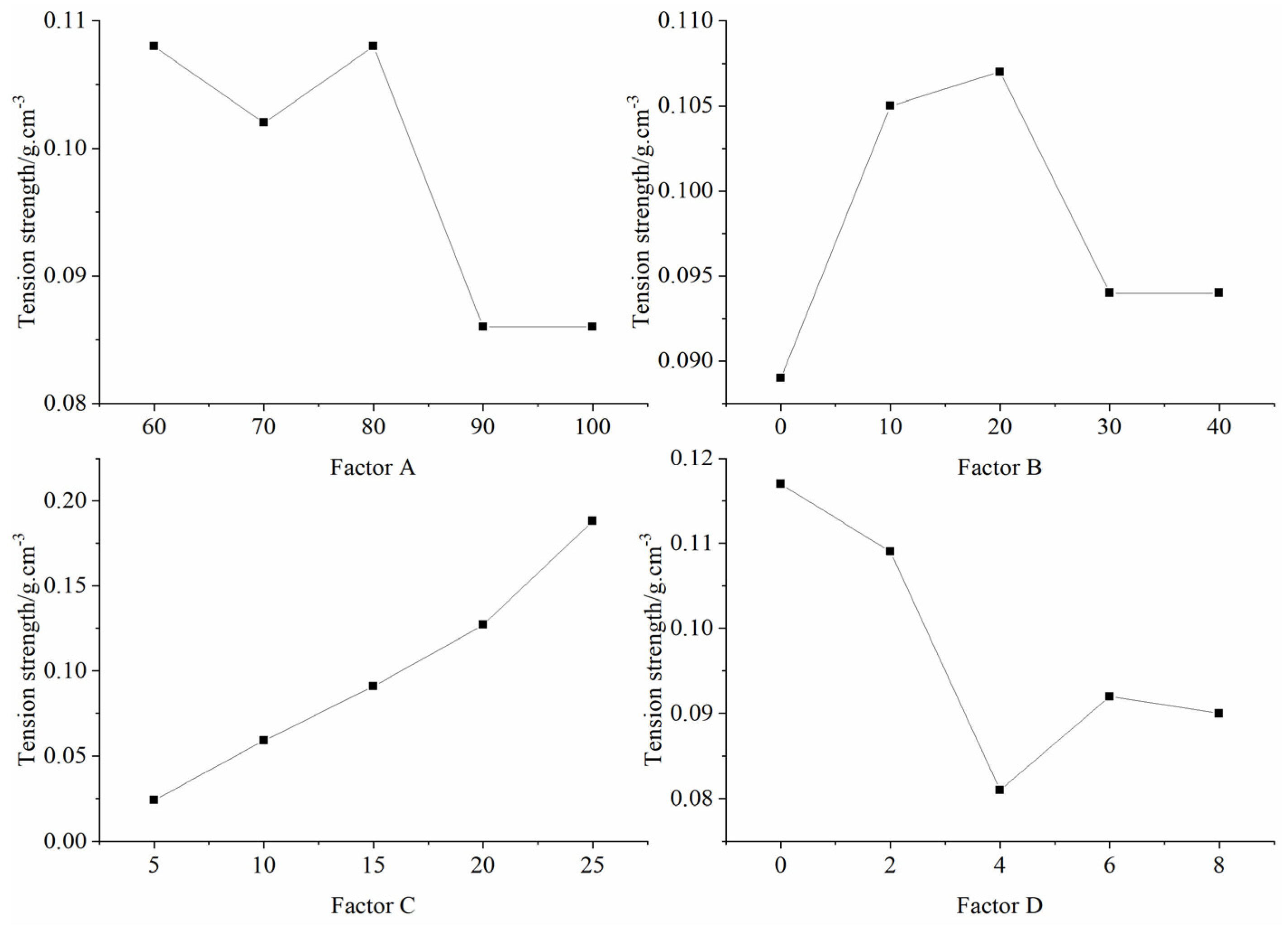
5.3. Sensitivity Analysis of Factors Influencing the Tensile Strength
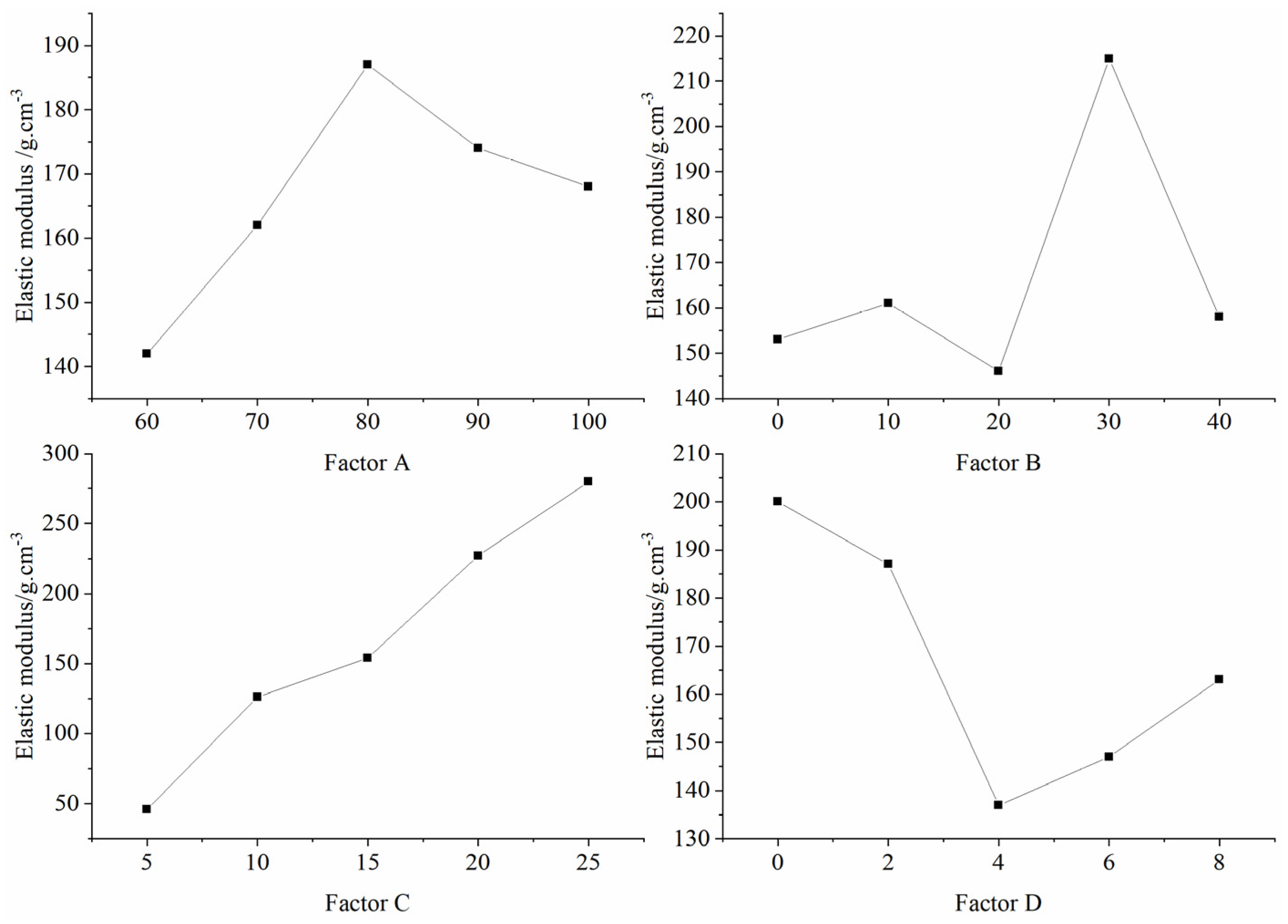
5.4. Sensitivity Analysis of Factors Influencing the Modulus of Elasticity
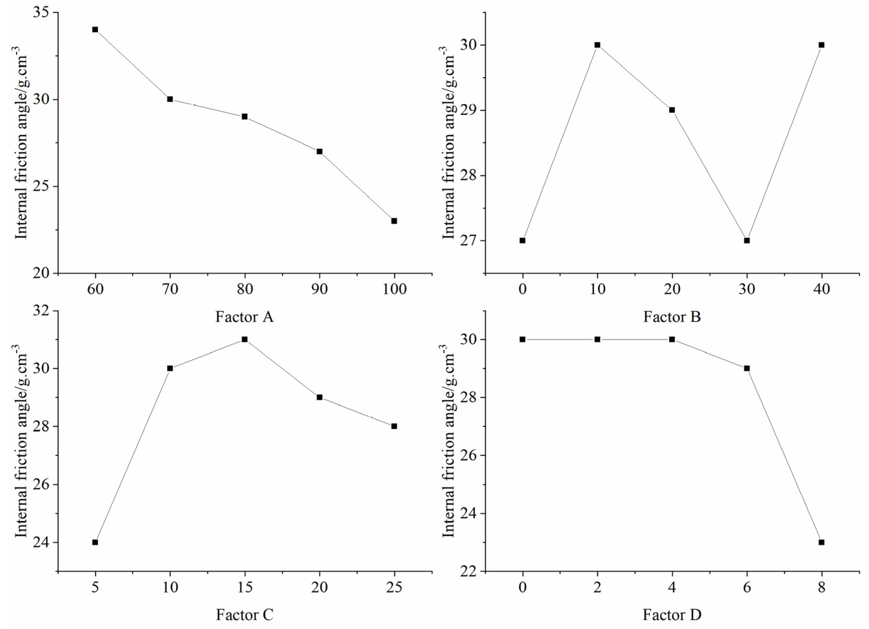
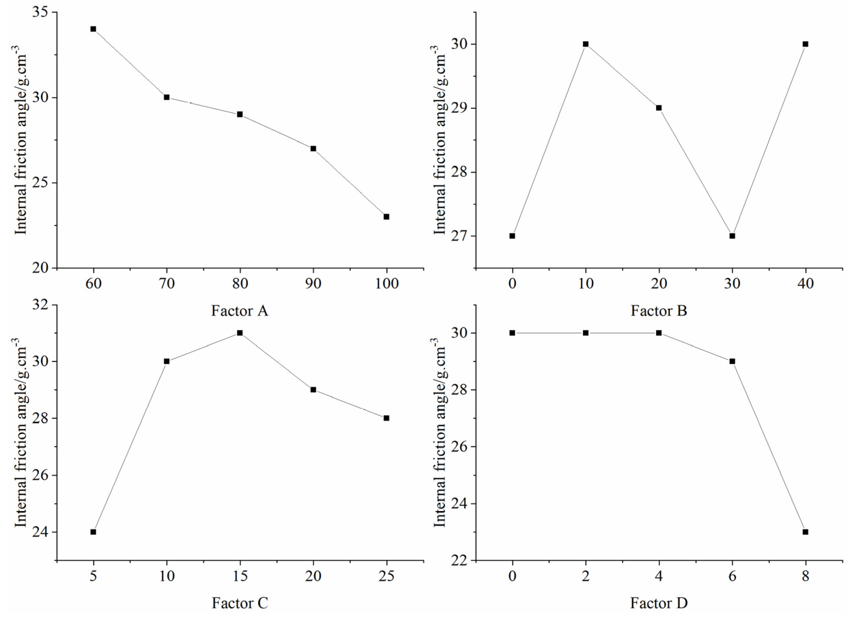
5.5. Sensitivity Analysis of Factors Influencing the Angle of Internal Friction
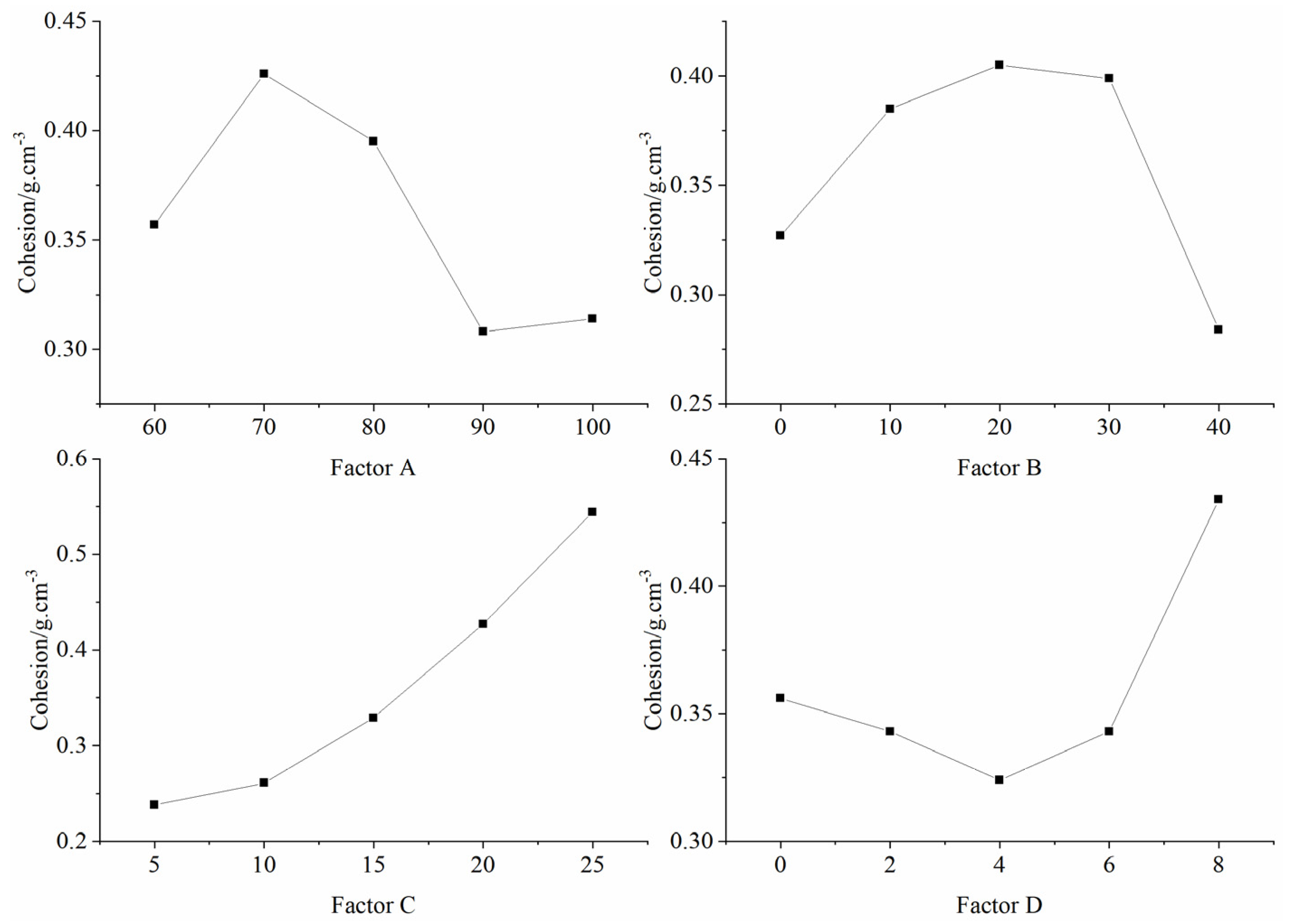
5.6. Sensitivity Analysis of Factors Influencing Cohesion
6. Discussion
7. Results and Conclusions
- (1)
- The distribution range of physical and mechanical parameters for similar materials with varying mixing ratios is expansive. This diversity can satisfy the requirements of model tests for different rock properties, serving as a foundation for the selection of analogous materials in subsequent model tests.
- (2)
- The influence of each factor on the physical and mechanical parameters of the material was assessed using the extreme difference analysis method. The combination of iron powder and barite powder relative to the aggregate predominantly controlled the density and internal friction angle of the specimens. Simultaneously, binder concentration was instrumental in governing the compressive strength, tensile strength, elastic modulus, and cohesion of the specimens. Further, the role of each factor on the parameters of analogous materials was scrutinized, offering insights for the selection and proportioning of materials for shaker tests. Moreover, the validity and precision of the sensitivity analysis results pertaining to the material’s mechanical parameters were reinforced through multiple regression analysis.
- (3)
- Sensitivity analysis of the test outcomes facilitated the identification of critical factors influencing the mechanical parameters of analogous materials. These factors were then subjected to a multiple regression analysis, resulting in the formulation and validation of regression equations for material proportions. Consequently, the paper’s primary research objective—finding the optimal mixing ratio for similar materials in physical modelling tests—was achieved.
- (4)
- The findings of this research not only offer directions for material selection in shaking table physical model tests within the realms of geotechnical and geological engineering but also guide the choice of materials in materials engineering and civil engineering model tests.
Author Contributions
Funding
Institutional Review Board Statement
Informed Consent Statement
Data Availability Statement
Conflicts of Interest
References
- Hore, R.; Hossain, M.Z.; Ansary, M.A. Dynamic Analysis of Sand Embankment by Shaking Table Test. Int. J. Civ. Eng. 2023. [Google Scholar] [CrossRef]
- Motamed, R.; Orang, M.J.; Parayancode, A.; Elgamal, A. Results of a class C blind prediction competition on the numerical simulation of a large-scale liquefaction shaking table test. In Geo-Congress; American Society of Civil Engineers: Reston, VA, USA, 2020; pp. 334–342. [Google Scholar]
- Kavand, A.; Haeri, S.M.; Raisianzadeh, J.; Meibodi, A.S.; Soltani, S.A. Seismic behavior of a dolphin-type berth subjected to liquefaction induced lateral spreading: 1g large scale shake table testing and numerical simulations. Soil Dyn. Earthq. Eng. 2021, 140, 106450. [Google Scholar] [CrossRef]
- Kim, K.; El Naggar, M.H.; Elgamal, A. Large-scale shake table testing of shallow tunnel-ground system. Soil Dyn. Earthq. Eng. 2023, 166, 107793. [Google Scholar] [CrossRef]
- Başbuğ, E.; Cengiz, C.; Güler, E. 1-g Shaking table tests to determine the behavior of geosynthetic reinforced soil walls under seismic loads. Transp. Geotech. 2021, 30, 100597. [Google Scholar] [CrossRef]
- Xu, T. Similarity Theory and Model Test; China Agricultural Machinery Press: Beijing, China, 1982. [Google Scholar]
- Huang, F.; Zhu, H.; Xu, Q.; Cai, Y.; Zhuang, X. The efect of weak interlayer on the failure pattern of rock mass around tunnel–Scaled model tests and numerical analysis. Tunn. Undergr. Space Technol. 2013, 35, 207–218. [Google Scholar] [CrossRef]
- Li, X.H. Experimental Simulation Technology of Rock Mechanics; Science Press: Beijing, China, 2007; pp. 88–97. [Google Scholar]
- Yalçın, B.; Yüksel, A.; Aslantaş, K.; Der, O.; Ercetin, A. Optimization of Micro-Drilling of Laminated Aluminum Composite Panel (Al–PE) Using Taguchi Orthogonal Array Design. Materials 2023, 16, 4528. [Google Scholar] [CrossRef]
- Liu, W.T.; Mu, D.R.; Yang, L.; Li, L.Y.; Shi, C.H. Calculation method and main factor sensitivity analysis of inclined coal foor damage depth. J. China Coal Soc. 2017, 42, 849–859. [Google Scholar]
- Chen, A.M.; Gu, J.C.; Shen, J.; Ming, Z.Q.; Gu, L.Y.; Lu, Z.Y. Application of geomechanical model test technology. J. Rock Mech. Eng. 2004, 22, 3785–3789. [Google Scholar]
- Shen, D.J.; Lv, X.L. Research progress on seismic simulation shaking table and model experiments. Struct. Eng. 2006, 20, 55–58. [Google Scholar]
- JTG E41–2005; Rock Test Procedure for Highway Engineering. China Railway Survey and Design Institute: Beijing, China, 2005.
- Liu, X.M.; Sheng, Q.; Chen, J.; Ke, W.H.; Yang, J.H. Shaking table test of seismic simulation of large undergrund cavern group (I): Similar material ratio test of rock mass. Geotech. Mech. 2015, 36, 83–88. [Google Scholar] [CrossRef]
- Sun, X.M.; He, M.C. Numerical simulation research on coupling support theory of with in soft rock roadway at depth. China Univ. Min. Technol. 2005, 34, 166–170. [Google Scholar]
- Chen, T.; Guo, G.G.; Zhu, X.J.; Guo, Q.B. Comparative study on displacement monitoring methods of similar material model. Coal Mine Saf. 2016, 6, 45–47. [Google Scholar]
- Liu, Q. Termal and Moisture Distribution Characteristics of Similar Materials Based on Porous Media. Ph.D. Thesis, Xi’an University of Science and Technology, Xi’An, China, 2018. [Google Scholar]
- Sun, P.; Sun, H.; Lin, F.; Yang, X.; Jiang, W.; Wu, W.; Jia, Q. Experimental study on the ratio model of similar materials in the simulation test of coal and gas outburst. Sci. Rep. 2021, 11, 1–14. [Google Scholar] [CrossRef] [PubMed]
- Li, S.G.; Zhao, P.X.; Lin, H.F.; Xiao, P.; Wei, Z.Y. Experimental study on similar material characteristics of “solid-gas” coupling physical simulation of coal and gas. J. China Coal Soc. 2015, 40, 80–86. [Google Scholar]
- Wang, H.P.; Li, Q.C.; Yuan, L.; Li, S.C.; Xue, J.H.; Zhu, H.Y.; Duan, C.R.; Wang, S.G. Coal and gas outburst simulation test research and development of similar materials and characteristic analysis of briquette. J. Min. Saf. Eng. 2018, 35, 1277–1283. [Google Scholar]
- Dai, L.C. Experimental research on the proportion and mechanical properties of outburst briquette. Min. Saf. Environ. Protect. 2020, 47, 8–12. [Google Scholar]
- Han, B.L.; Chen, X.L.; Song, Y.L.; Li, H.M. Research on similar materials for rock. J. Wuhan Univ. Water Resour. Electr. Power 1997, 30, 6–9. [Google Scholar]
- Moreira, P.M.G.P.; Santos, T.; Tavares, S.M.O.; Richter-Trummer, V.; Vilaça, P.; De Castro, P.M.S.T. Mechanical and metallurgical characterization of friction stir welding joints of AA6061-T6 with AA6082-T6. Mater. Des. 2009, 30, 180–187. [Google Scholar] [CrossRef]
- Ma, F.P.; Li, Z.K.; Luo, G.F. NIOS similar materials and their application in geomechanical similarity model tests. J. Hydropower 2004, 23, 48–51. [Google Scholar]
- Zhang, S.T.; Dai, L.C.; Wang, B.; Cao, J. Experimental study on similar material ratio of simulated coal and gas outburst. Coal Sci. Technol. 2015, 43, 76–80. [Google Scholar]
- Liu, H.D.; Liu, J.J.; Zhang, S.Y.; Feng, L.Y.; Qiu, L. Stress-strain and acoustic emission characteristics of cement-based materials used to simulate soft rock with fractures. Sci. Rep. 2022, 12, 7903. [Google Scholar] [CrossRef] [PubMed]
- Zhang, Q.Y.; Li, J.C.; Guo, X.H.; Li, Y.; Wang, H.P. Development of new geotechnically similar materials for iron crystal sand cementation and its application. Geotechnics 2008, 29, 2126–2130. [Google Scholar] [CrossRef]
- Zhang, Q.Y.; Liu, D.J.; Jia, C.; Shen, X.; Liu, j.; Duan, K. Development of similar materials for geomechanical modeling of salt rock oil and gas reservoir media. Geotechnics 2009, 30, 3581–3586. [Google Scholar]
- Wang, H.P.; Li, J.C.; Zhang, Q.Y.; Li, Y.; Guo, X.H. Development of a new similar material for geomechanical model testing. J. Rock Mech. Eng. 2006, 25, 1842–1847. [Google Scholar]
- Li, Y.; Zhu, W.S.; Wang, H.P.; Li, S.C.; Zhang, Q.Y. Mechanical test research and application of new geotechnical similar materials. Tunn. Constr. 2007, S2, 197–200. [Google Scholar]
- Jaspers, S.P.F.C.; Dautzenberg, J.H. Material behaviour in conditions similar to metal cutting: Flow stress in the primary shear zone. J. Mater. Process. Technol. 2022, 122, 322–330. [Google Scholar] [CrossRef]
- Li, S.C.; Feng, X.D.; Li, S.C.; Li, L.P.; Li, G.Y. Development and application of new solid-fuid coupling similar materials. J. Rock Mech. Eng. 2010, 29, 281–288. [Google Scholar]
- Peng, H.M.; Peng, Z.B.; Han, J.T.; An, W.G.; Liu, T.X. Research on lithologically similar materials. Guangdong Civ. Eng. Constr. 2002, 12, 13–17. [Google Scholar] [CrossRef]
- Xu, C.; Cui, Y.; Xue, L.; Chen, H.R.; Dong, J.Y.; Zhao, H.X. Experimental study on mechanical properties and failure behaviours of new materials for modeling rock bridges. J. Mater. Res. Technol. 2023, 23, 1696–1711. [Google Scholar] [CrossRef]
- Kang, X.T.; Huang, Y.; Deng, B.Z.; Han, P.B. Experimental study on similar materials simulating raw coal. J. Northeast. Univ. 2015, 36, 138–142. [Google Scholar]
- Zhang, N.; Li, S.C.; Li, M.T.; Yang, L. Development of a new rock similarity material. J. Shandong Univ. 2009, 39, 149–154. [Google Scholar]
- Zuo, B.C.; Chen, C.X.; Liu, C.H.; Xiao, G.F.; Liu, X.W. Experimental research on similar materials. Geotechnics 2004, 25, 1805–1808. [Google Scholar]
- Liu, L.L.; Wang, H.L.; Liu, J.B.; Chen, S.J. Orthogonal proportion test of low strength similar materials. J. Liaoning Univ. Eng. Technol. 2014, 33, 188–192. [Google Scholar]
- Wu, Y.; Li, Y.L.; Hu, Q.J. Applied Mathematical Statistics; National Defense University Press: Beijing, China, 1995. [Google Scholar]
- Wang, Y.P.; Zhou, R.C. Sensitivity analysis of slope stability parameters based on orthogonal tests. J. Yancheng Eng. 2007, 20, 67–69. [Google Scholar]
- Li, B.F.; Ren, Y.K.; Qi, L.W.; Chang, L. Experimental study on orthogonal proportion of low strength similar materials for coal and rock mass. Coal Eng. 2011, 4, 93–95. [Google Scholar]
- Gao, F.Q.; Wang, X.K. Numerical orthogonal simulation of the sensitivity of rock mechanical parameters. J. Min. Saf. Eng. 2008, 25, 95–98. [Google Scholar]
- Peng, Y.W.; Qi, Q.X.; Li, H.Y.; Deng, Z.G. Numerical simulation analysis of factors influencing the height of rock fracture zone by high-intensity underground mining. J. China Coal Soc. 2009, 34, 145–149. [Google Scholar]
- Peng, H.Y.; Zhou, Z.M.; Deng, S.X.; Hao, X.D. Study on the optimal formulation of lime vertical kiln replacement coke coal using orthogonal test method. J. China Coal Soc. 2006, 31, 799–803. [Google Scholar]
- Yu, H.C.; Yu, H.M.; Liu, H.D.; Lu, X.S. A method for calculating rolling stone protection based on orthogonal test and kinematics. J. China Coal Soc. 2010, 35, 55–60. [Google Scholar] [CrossRef]
- Xiong, X.; Dai, J.; Ouyang, Y.; Shen, P. Experimental analysis of control technology and deformation failure mechanism of inclined coal seam roadway using non-contact DIC technique. Sci. Rep. 2021, 11, 20930. [Google Scholar] [CrossRef]
- Fu, J.; Sarfarazi, V.; Haeri, H.; Shahbazian, A.; Marji, M.F.; Yu, Y. Study of tensile crack growth in rock-like materials under punch shear test. Theor. Appl. Fract. Mech. 2022, 121, 103509. [Google Scholar] [CrossRef]














| Level Number of Group | A | B | C | D |
|---|---|---|---|---|
| 1 | 60 | 0 | 5 | 0 |
| 2 | 70 | 10 | 10 | 2 |
| 3 | 80 | 20 | 15 | 4 |
| 4 | 90 | 30 | 20 | 6 |
| 5 | 100 | 40 | 25 | 8 |
| Level Number of Group | A | B | C | D |
|---|---|---|---|---|
| 1 | 60 | 0 | 5 | 0 |
| 2 | 60 | 10 | 10 | 2 |
| 3 | 60 | 20 | 15 | 4 |
| 4 | 60 | 30 | 20 | 6 |
| 5 | 60 | 40 | 25 | 8 |
| 6 | 70 | 0 | 10 | 4 |
| 7 | 70 | 10 | 15 | 6 |
| 8 | 70 | 20 | 20 | 8 |
| 9 | 70 | 30 | 25 | 0 |
| 10 | 70 | 40 | 5 | 2 |
| 11 | 80 | 0 | 15 | 8 |
| 12 | 80 | 10 | 20 | 0 |
| 13 | 80 | 20 | 25 | 2 |
| 14 | 80 | 30 | 5 | 4 |
| 15 | 80 | 40 | 10 | 6 |
| 16 | 90 | 0 | 20 | 2 |
| 17 | 90 | 10 | 25 | 4 |
| 18 | 90 | 20 | 5 | 6 |
| 19 | 90 | 30 | 10 | 8 |
| 20 | 90 | 40 | 15 | 0 |
| 21 | 100 | 0 | 25 | 6 |
| 22 | 100 | 10 | 5 | 8 |
| 23 | 100 | 20 | 10 | 0 |
| 24 | 100 | 30 | 15 | 2 |
| 25 | 100 | 40 | 20 | 4 |
| Level Number of Group | Density/g.cm−3 | Compresive Strength/Mpa | Tension Strength/Mpa | Elastic Modulus/Mpa | Poisson’s Ratio | Internal Friction Angle | Cohesion/Mpa |
|---|---|---|---|---|---|---|---|
| 1 | 2.46 | 0.25 | 0.021 | 36.137 | 0.21 | 30.14 | 0.105 |
| 2 | 2.5 | 0.853 | 0.099 | 124.46 | 0.12 | 34.82 | 0.194 |
| 3 | 2.36 | 1.05 | 0.102 | 102.94 | 0.15 | 39.29 | 0.369 |
| 4 | 2.38 | 1.334 | 0.123 | 193.909 | 0.21 | 34.14 | 0.416 |
| 5 | 2.4 | 1.496 | 0.196 | 253.132 | 0.12 | 34.76 | 0.592 |
| 6 | 2.54 | 0.677 | 0.052 | 72.872 | 0.09 | 32.74 | 0.284 |
| 7 | 2.55 | 1.076 | 0.094 | 138.735 | 0.14 | 36.23 | 0.396 |
| 8 | 2.48 | 1.238 | 0.12 | 177.707 | 0.06 | 25.34 | 0.536 |
| 9 | 2.65 | 3.725 | 0.216 | 389.415 | 0.2 | 28.3 | 0.717 |
| 10 | 2.61 | 0.266 | 0.027 | 34.984 | 0.04 | 28.66 | 0.203 |
| 11 | 2.52 | 0.727 | 0.075 | 144.948 | 0.05 | 22.35 | 0.430 |
| 12 | 2.72 | 1.895 | 0.174 | 289.777 | 0.23 | 32.47 | 0.510 |
| 13 | 2.63 | 1.935 | 0.225 | 301.302 | 0.13 | 31 | 0.574 |
| 14 | 2.65 | 0.238 | 0.022 | 82.67 | 0.15 | 26.24 | 0.274 |
| 15 | 2.5 | 0.418 | 0.044 | 115.352 | 0.22 | 34 | 0.165 |
| 16 | 2.78 | 1.31 | 0.122 | 262.076 | 0.15 | 32 | 0.364 |
| 17 | 2.67 | 1.865 | 0.133 | 212.958 | 0.07 | 28.8 | 0.401 |
| 18 | 2.84 | 0.226 | 0.021 | 32.23 | 0.06 | 22.56 | 0.296 |
| 19 | 2.69 | 0.668 | 0.037 | 176.464 | 0.19 | 20 | 0.311 |
| 20 | 2.83 | 1.283 | 0.109 | 169.621 | 0.13 | 32.72 | 0.170 |
| 21 | 2.75 | 1.634 | 0.173 | 248.991 | 0.28 | 18.43 | 0.432 |
| 22 | 2.65 | 0.171 | 0.023 | 42.847 | 0.17 | 16.68 | 0.302 |
| 23 | 2.93 | 0.758 | 0.065 | 119.047 | 0.20 | 28.91 | 0.252 |
| 24 | 2.72 | 0.964 | 0.075 | 210.836 | 0.13 | 26.58 | 0.270 |
| 25 | 2.88 | 0.096 | 0.096 | 214.209 | 0.13 | 23.42 | 0.280 |
| Level Number of Group | A | B | C | D |
|---|---|---|---|---|
| 1 | 2.45 | 2.61 | 2.64 | 2.72 |
| 2 | 2.56 | 2.61 | 2.63 | 2.66 |
| 3 | 2.61 | 2.67 | 2.62 | 2.64 |
| 4 | 2.76 | 2.63 | 2.65 | 2.60 |
| 5 | 2.80 | 2.65 | 2.62 | 2.55 |
| Extreme deviations | 0.35 | 0.06 | 0.03 | 0.17 |
| Level Number of Group | A | B | C | D |
|---|---|---|---|---|
| 1 | 0.999 | 0.922 | 0.233 | 1.587 |
| 2 | 1.398 | 1.174 | 0.675 | 1.066 |
| 3 | 1.043 | 1.041 | 1.020 | 1.009 |
| 4 | 1.070 | 1.388 | 1.399 | 0.938 |
| 5 | 0.950 | 0.936 | 2.133 | 0.861 |
| Extreme deviations | 0.448 | 0.466 | 1.900 | 0.725 |
| Level Number of Group | A | B | C | D |
|---|---|---|---|---|
| 1 | 0.108 | 0.089 | 0.024 | 0.117 |
| 2 | 0.102 | 0.105 | 0.059 | 0.109 |
| 3 | 0.108 | 0.107 | 0.091 | 0.081 |
| 4 | 0.086 | 0.094 | 0.127 | 0.092 |
| 5 | 0.086 | 0.094 | 0.188 | 0.09 |
| Extreme deviations | 0.023 | 0.019 | 0.164 | 0.036 |
| Level Number of Group | A | B | C | D |
|---|---|---|---|---|
| 1 | 142.515 | 153.405 | 46.363 | 200.999 |
| 2 | 162.543 | 161.755 | 126.639 | 187.732 |
| 3 | 187.810 | 146.834 | 154.416 | 137.130 |
| 4 | 174.859 | 215.459 | 227.536 | 147.032 |
| 5 | 168.186 | 158.460 | 280.959 | 163.020 |
| Extreme deviations | 45.294 | 68.625 | 234.597 | 63.869 |
| Level Number of Group | A | B | C | D |
|---|---|---|---|---|
| 1 | 34.630 | 27.132 | 24.856 | 30.726 |
| 2 | 30.254 | 30.200 | 30.309 | 30.612 |
| 3 | 29.213 | 29.636 | 31.435 | 30.705 |
| 4 | 27.617 | 27.052 | 29.682 | 29.072 |
| 5 | 23.229 | 30.922 | 28.660 | 23.826 |
| Extreme deviations | 7.013 | 3.870 | 6.579 | 6.900 |
| Level Number of Group | A | B | C | D |
|---|---|---|---|---|
| 1 | 0.357 | 0.327 | 0.238 | 0.356 |
| 2 | 0.426 | 0.385 | 0.261 | 0.343 |
| 3 | 0.395 | 0.405 | 0.329 | 0.324 |
| 4 | 0.308 | 0.399 | 0.427 | 0.343 |
| 5 | 0.314 | 0.284 | 0.544 | 0.434 |
| Extreme deviations | 0.037 | −0.007 | 0.306 | 0.032 |
Disclaimer/Publisher’s Note: The statements, opinions and data contained in all publications are solely those of the individual author(s) and contributor(s) and not of MDPI and/or the editor(s). MDPI and/or the editor(s) disclaim responsibility for any injury to people or property resulting from any ideas, methods, instructions or products referred to in the content. |
© 2023 by the authors. Licensee MDPI, Basel, Switzerland. This article is an open access article distributed under the terms and conditions of the Creative Commons Attribution (CC BY) license (https://creativecommons.org/licenses/by/4.0/).
Share and Cite
Yang, X.; Dong, J.; Yang, J.; Han, X. Similar Material Proportioning Tests and Mechanical Properties Based on Orthogonal Design. Materials 2023, 16, 6439. https://doi.org/10.3390/ma16196439
Yang X, Dong J, Yang J, Han X. Similar Material Proportioning Tests and Mechanical Properties Based on Orthogonal Design. Materials. 2023; 16(19):6439. https://doi.org/10.3390/ma16196439
Chicago/Turabian StyleYang, Xinglong, Jinyu Dong, Jihong Yang, and Xiaodong Han. 2023. "Similar Material Proportioning Tests and Mechanical Properties Based on Orthogonal Design" Materials 16, no. 19: 6439. https://doi.org/10.3390/ma16196439
APA StyleYang, X., Dong, J., Yang, J., & Han, X. (2023). Similar Material Proportioning Tests and Mechanical Properties Based on Orthogonal Design. Materials, 16(19), 6439. https://doi.org/10.3390/ma16196439
