Numerical Simulation of Uniaxial Compressive Strength and Failure Characteristics of Non-Uniform Water-Bearing Sandstone
Abstract
:1. Introduction
2. Materials and Methods
2.1. Rock Sample Preparation and Testing Methods
2.2. Strain-Softening Constitutive Model
2.3. Numerical Model Establishment
3. Results and Discussion
3.1. Analysis of the Factors Influencing the Macroscopic Characteristics of the Rock Sample
3.1.1. Analysis of Size Effect of Sandstone’s Natural Water Absorption Rate
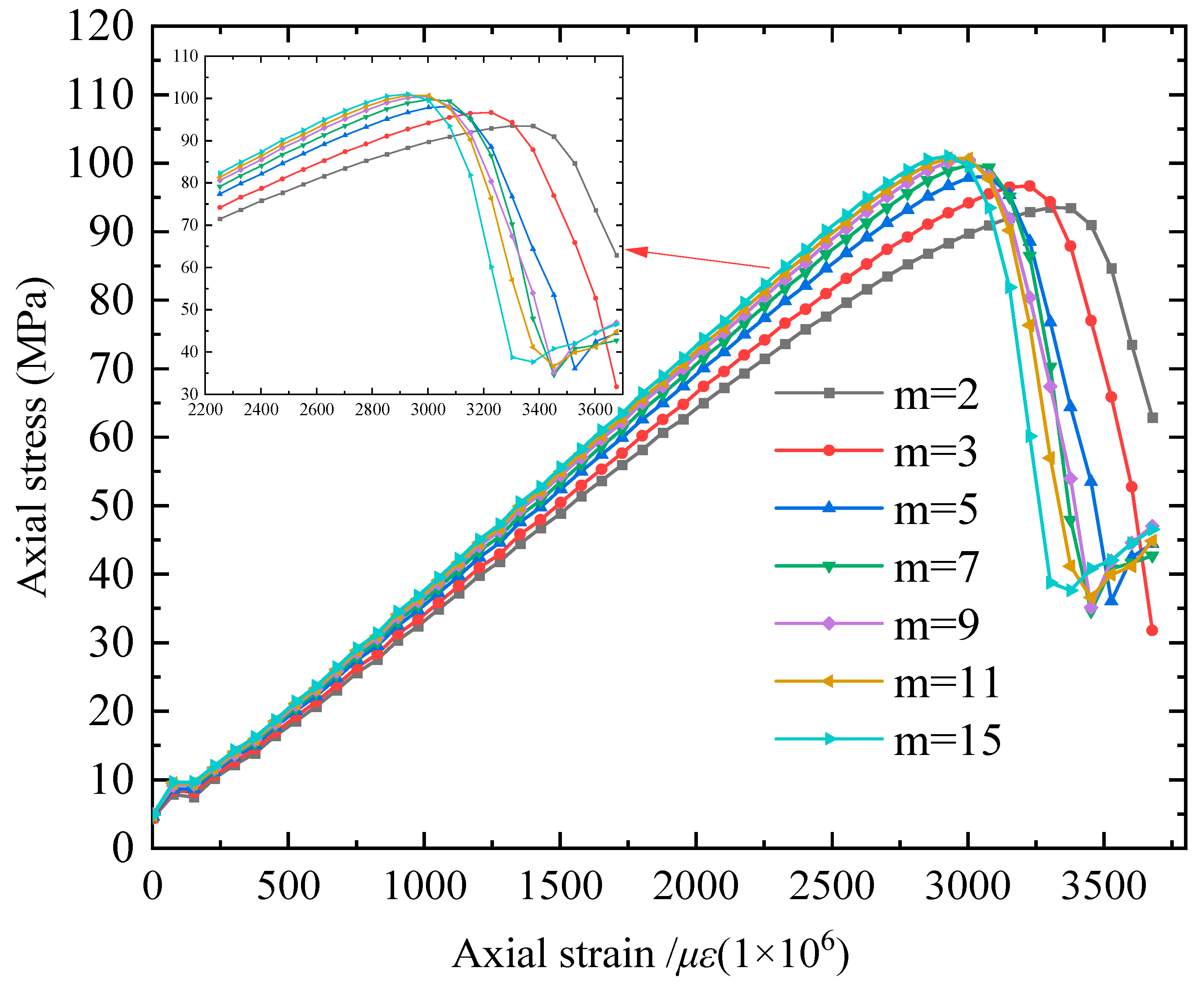
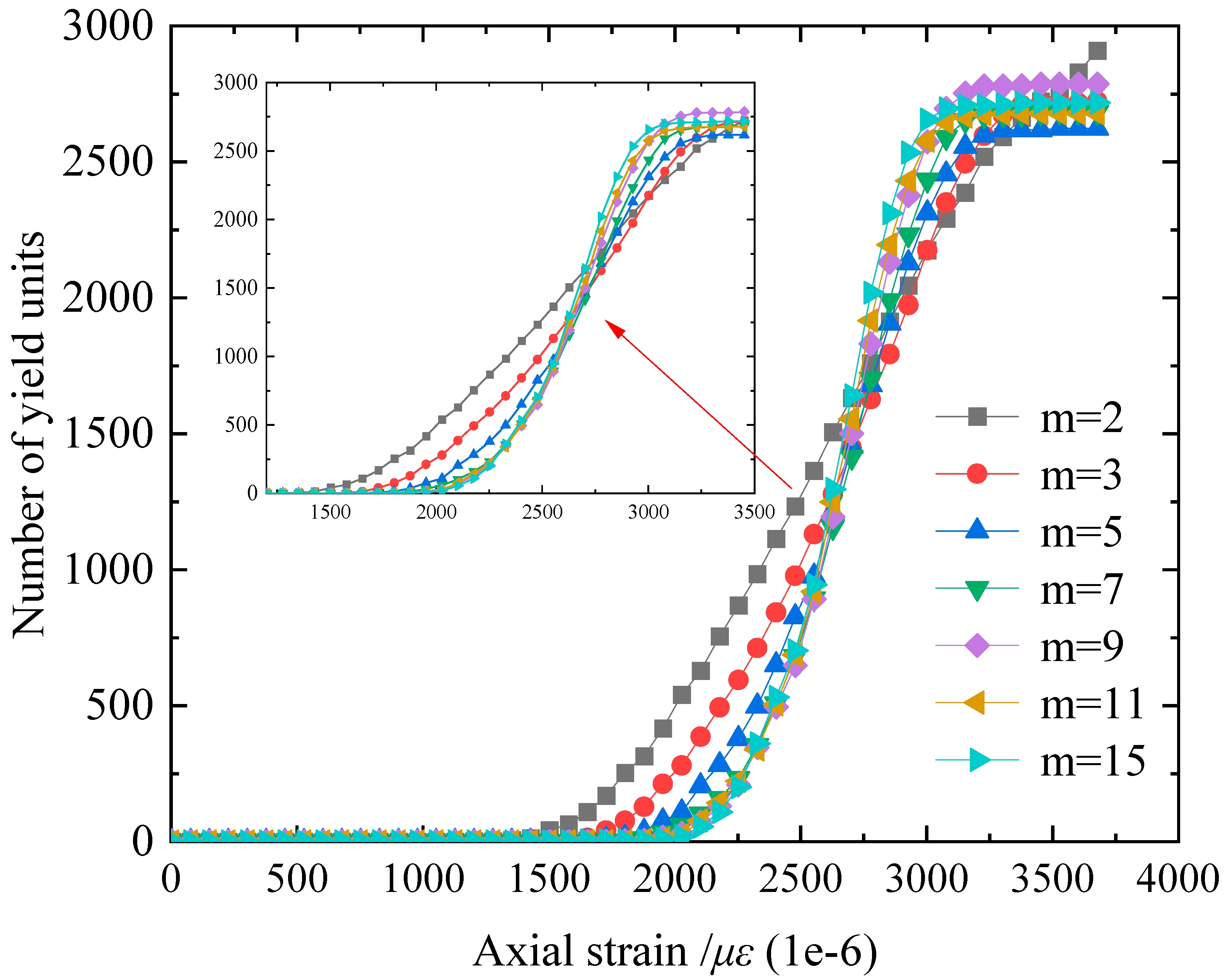
3.1.2. Effect of Inhomogeneity on Macroscopic Properties
3.1.3. Probability Distribution Characteristics of Microstructure
3.2. The Influence Mechanism of Water Physical Properties of Rock Samples
3.3. Failure Law of Sandstone under Uniaxial Compression under Different Water Content
4. Conclusions
- (1)
- The water absorption process in sandstone demonstrates a size effect, although the saturation time remains relatively constant when the height of the sandstone sample exceeds 50 mm. As micro-homogeneity increases, the nonlinear behavior of the numerical model gradually diminishes, while brittleness intensifies. The elastic modulus has a linear relationship with ln(m), and the heterogeneity of the rock has a significant effect on its internal stress distribution;
- (2)
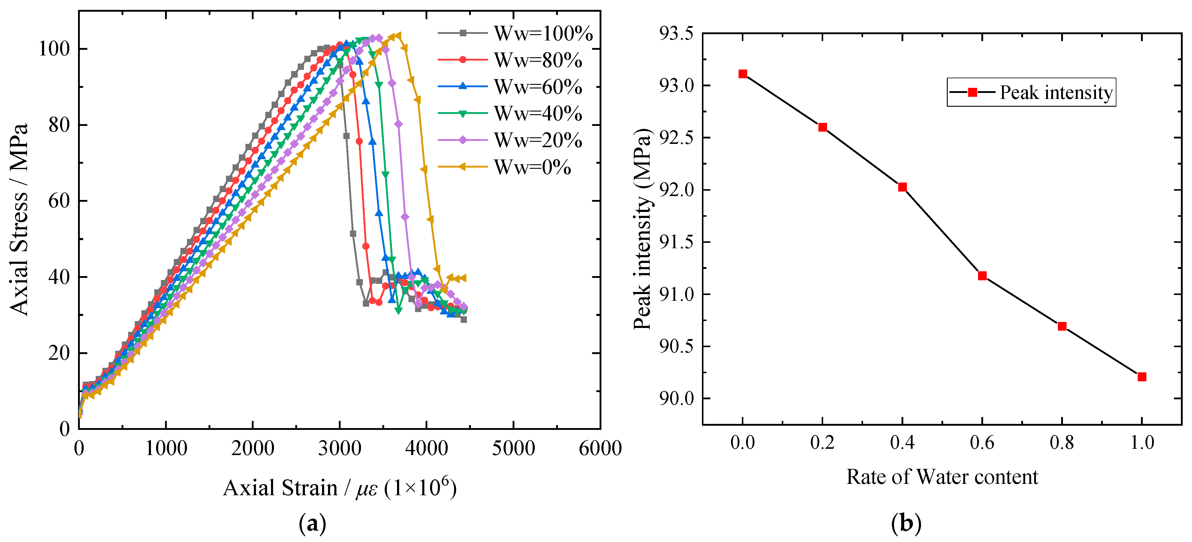
- As the water content increases, the compressive strength, elastic modulus, and failure strain of the rock sample experience a rapid decrease. The static mechanical properties of the rock sample demonstrate a gradual decline in peak strength, critical strain, and elastic modulus. Additionally, the failure mode gradually transitions from a single oblique surface to a double oblique shear failure form, accompanied by an increased degree of sample fragmentation;
- (3)
- The time required for rock compaction during saturation is shorter than that during drying. The elasticity of red sandstone decreases, and the plasticity increases during saturation. With the increase in volumetric water content, the cracks between rock samples are more likely to penetrate each other, the internal pore spacing increases, and the mechanical properties of sandstone structure are affected, resulting in a strength-softening effect, which is particularly important in decision making for goaf foundation treatment measures.
Author Contributions
Funding
Institutional Review Board Statement
Informed Consent Statement
Data Availability Statement
Conflicts of Interest
References
- You, M.; Zou, Y. Discussion on Rock Heterogeneity and Strength Size Effect. Chin. J. Rock Mech. Eng. 2000, 19, 391–395. [Google Scholar] [CrossRef]
- Potyondy, D.O.; Cundall, P.A. A bonded-particle model for rock. Int. J. Rock Mech. Min. Sci. 2004, 41, 1329–1364. [Google Scholar] [CrossRef]
- Gao, F.; Stead, D. The application of a modified Voronoi logic to brittle fracture modelling at the laboratory and field scale—ScienceDirect. Int. J. Rock Mech. Min. Sci. 2014, 68, 1–14. [Google Scholar] [CrossRef]
- Feng, F.; Li, X.; Li, D. Modeling of failure characteristics of rectangular hard rock influenced by sample height-to-width ratios: A finite/discrete element approach. Comptes Rendus Mécanique 2017, 345, 317–328. [Google Scholar] [CrossRef]
- Lan, H.; Martin, C.; Hu, B. Effect of heterogeneity of brittle rock on micromechanical extensile behavior during compression loading. J. Geophys. Res. Solid Earth 2010, 115, B01202. [Google Scholar] [CrossRef]
- Tang, X.; Zhou, Y.; Zhang, C. Micromechanical model considering spatial correlation scale characteristics and its application. Rock. Soil. Mech. 2012, 33, 2021–2026. [Google Scholar] [CrossRef]
- Luo, R.; Zeng, Y.; Du, X. Study on the relationship between macro and micro mechanical parameters of heterogeneous rock materials. Chin. J. Geol. Eng. 2012, 34, 2331–2336. [Google Scholar]
- Gao, F.; Stead, D.; Elmo, D. Numerical simulation of microstructure of brittle rock using a grain-breakable distinct element grain-based model. Comp. Geol. 2016, 78, 203–217. [Google Scholar] [CrossRef]
- Wong, L.N.; Peng, J.; Teh, C.I. Numerical investigation of mineralogical composition effect on strength and micro-cracking behavior of crystalline rocks. J. Nat. Gas Sci. Eng. 2018, 53, 191–203. [Google Scholar] [CrossRef]
- Pan, C.; Li, X.; He, L.; Li, J. Study on the effect of micro-geometric heterogeneity on mechanical properties of brittle rock using a grain based discrete element method coupling with the cohesive zone model. Int. J. Rock Mech. Min. Sci. 2021, 140, 104680. [Google Scholar] [CrossRef]
- Weibull, W. A statistical distribution function of wide applicability. J. Appl. Mech. 1951, 18, 293–297. [Google Scholar] [CrossRef]
- Fang, Z.; Harrison, J. Development of a local degradation approach to the modelling of brittle fracture in heterogeneous rocks. Int. J. Rock Mech. Min. Sci. 2002, 39, 443–457. [Google Scholar] [CrossRef]
- Gao, F.; Xie, H. Statistically fractal strength theory for brittle materials. Acta Mech. Solid. Sini. 1996, 17, 239–245. [Google Scholar] [CrossRef]
- Tang, C.; Kaiser, P.K. Numerical simulation of cumulative damage and seismic energy release during brittle rock failure-part I: Fundamentals. Int. J. Rock Mech. Min. Sci. 1998, 35, 113–121. [Google Scholar] [CrossRef]
- Kaiser, P.K.; Tang, C. Numerical Simulation of Damage Accumulation and Seismic Energy Release During Brittle Rock Failure-Part II: Rib Pillar Collapse. Int. J. Rock Mech. Min. Sci. 1998, 35, 123–134. [Google Scholar] [CrossRef]
- Tang, C.; Liu, H.; Lee, P.K.; Tsui, Y.; Tham, L.G. Numerical studies of the influence of microstructure on rock failure in uniaxial compression. part I: Effect of heterogeneity. Int. J. Rock Mech. Min. Sci. 2000, 37, 555–569. [Google Scholar] [CrossRef]
- Chen, Z.; Tan, G.; Yang, W. Renormalization study and numerical simulation on brittle failure of rocks. Chin. J. Geol. Eng. 2002, 24, 183–187. [Google Scholar] [CrossRef]
- Yang, S.; Xu, W.; Wei, L. Statistical constitutive model and experimental study of rock damage under uniaxial compression. J. Hohai Univ. Nat. Sci. 2004, 47, 200–203. [Google Scholar] [CrossRef]
- Zhang, M.; Li, Z.; Su, X. Probabilistic volume element Modeling for elastic damage analysis of quasi-brittle materials. Chin. J. Rock Mech. Eng. 2005, 24, 4282–4288. [Google Scholar] [CrossRef]
- Wang, S.; Zhu, H.; Feng, X. Effect of meso heterogeneity on macro failure form of brittle rock materials. Rock Soil Mech. 2006, 27, 224–227. [Google Scholar] [CrossRef]
- Liang, Z.; Tang, C.; Zhang, Y. Random probability model of physical and mechanical parameters and failure mechanical behavior characteristics of quasi brittle materials. Chin. J. Rock Mech. Eng. 2008, 27, 718–727. [Google Scholar] [CrossRef]
- Tang, X.; Zhou, Y. Study of rock uniaxial compression deformation and failure character based on an improved Weibull distribution model. Chin. J. Rock Mech. Eng. 2014, 34, 2802–2807. [Google Scholar] [CrossRef]
- Zhou, X.; Zhao, Y.; Qian, Q. Numerical simulation of rock failure process in uniaxial compression using smoothed particle hydrodynamics. Chin. J. Rock Mech. Eng. 2015, 35, 2647–2658. [Google Scholar] [CrossRef]
- Yang, Z.; Ning, Y.; Lu, M. Characterization of rock heterogeneity modeled by discontinuous deformation analysis method. J. Chongqing Univ. 2016, 39, 97–102. [Google Scholar] [CrossRef]
- Jiang, Q.; Cui, J.; Feng, X. Randomness statistics and probability distribution estimation of basalt mechanical parameters. Rock Soil Mech. 2017, 38, 784–793. [Google Scholar] [CrossRef]
- Liu, J.; Zhao, G.; Liang, W. Numerical simulation of uniaxial compressive strength and deformation and fracture law of heterogeneous rock media. Rock Soil Mech. 2018, 39, 505–512. [Google Scholar] [CrossRef]
- Liu, J.; Zhao, G.; Peng, F. Statistical probability model for mesoscopic mechanical parameters of rock material under elastoplastic strain-softening framework. J. China Coal Soc. 2020, 45, 692–705. [Google Scholar] [CrossRef]
- Vásárhel, Y.I.B. Statistical analysis of the influence of water content on the strength of the Miocene limestone. Rock Mech. Rock Eng. 2005, 38, 69–76. [Google Scholar] [CrossRef]
- Li, D.; Wong, L.; Liu, G. Influence of water content and anisotropy on the strength and deformability of low porosity meta-sedimentary rocks under triaxial compression. Eng. Geol. 2012, 126, 46–66. [Google Scholar] [CrossRef]
- Zuo, Y.; Li, X.; Zhou, Z. Damage and failure rule of rock undergoing uniaxial compressive load and dynamic load. J. Cent. South Univ. Technol. 2005, 12, 742–748. [Google Scholar] [CrossRef]
- Greco, O.D.; Ferrero, A.M.; Oggeri, C. Experimental and analytical interpretation of the behaviour of laboratory tests on composite specimens. Int. J. Rock Mech. Min. Sci. 1993, 30, 1539–1543. [Google Scholar] [CrossRef]
- Rajabzadeh, M.; Moosavinasab, Z.; Rakhshandehroo, G. Effects of rock classes and porosity on the relation between uniaxial compressive strength and some rock properties for carbonate rocks. Rock Mech. Rock Eng. 2012, 45, 113–122. [Google Scholar] [CrossRef]
- Li, X.; Qi, C. A micro-macro dynamic compressive-shear fracture model under static confining pressure in brittle rocks. Int. J. Imp. Eng. 2018, 122, 109–118. [Google Scholar] [CrossRef]
- Zhu, Z.; Wei, L.; Meng, Q.; Jing, H.; Su, H.; Fu, A. Experimental Study on Dynamic and Static Mechanical Properties of Pre-peak Unloading Damaged Marble. Chin. J. Rock Mech. Eng. 2019, 38, 747–756. [Google Scholar] [CrossRef]
- Zhu, Z.; Yu, L.; Li, J. Research on acoustic emission characteristics of marble damaged by pre-peak unloading. IOP Conf. Ser. Earth Environ. Sci. 2020, 570, 032050. [Google Scholar] [CrossRef]
- Fathi, A.; Moradian, Z.; Rivard, P.; Gérard, B. Shear mechanism of rock joints under pre-peak cyclic loading condition. Int. J. Rock Mech. Min. Sci. 2016, 83, 1016–1019. [Google Scholar] [CrossRef]
- Zuo, J.; Chen, Y.; Song, H.; Wei, X. Evolution of Axial Cracks and Nonlinear Models Before the Peak of Coal-Rock Composite and Applications. Chin. J. Geol. Eng. 2017, 39, 1609–1615. [Google Scholar] [CrossRef]
- Zuo, J.; Chen, Y.; Liu, X. Crack evolution behavior of rocks under confining pressures and its propagation model before peak stress. J. Cent. South Univ. 2019, 26, 3045–3056. [Google Scholar] [CrossRef]
- Xiao, F.; Jiang, D.; Wu, F.; Jie, C. Deformation and Failure Characteristics of Sandstone Subjected to True-Triaxial Unloading: An Experimental and Numerical Study. Fatigue Fract. Eng. Mater. Struct. 2021, 44, 1862–1882. [Google Scholar] [CrossRef]
- Cao, X.; Zhang, H.; Yu, J.; Qing, Y. Experiment on strength and failure behavior of sandstone containing pre-existing cracks under brazilian compression. Front. Phys. 2021, 9, 778662. [Google Scholar] [CrossRef]
- Kewalramani, M.; Khartabil, A. Porosity Evaluation of Concrete Containing Supplementary Cementitious Materials for Durability Assessment through Volume of Permeable Voids and Water Immersion Conditions. Buildings 2021, 11, 378. [Google Scholar] [CrossRef]
- Sun, D.D.; Cao, Z.J.; Huang, C.F.; Wu, K.; Schutter, G.D.; Zhang, L.H. Degradation of concrete in marine environment under coupled chloride and sulfate attack: A numerical and experimental study. Case Stud. Constr. Mater. 2022, 17, e01218. [Google Scholar] [CrossRef]
- Golewski, G.L. The Effect of the Addition of Coal Fly Ash (CFA) on the Control of Water Movement within the Structure of the Concrete. Materials 2023, 16, 5218. [Google Scholar] [CrossRef]
- Ministry of Housing and Urban Rural Development of the People’s Republic of China. Standard for Test Methods of Engineering Rock Mass; China Planning Press: Beijing, China, 2013; pp. 15–17. [Google Scholar]
- Itasca, F.L.A.C. FLAC-Fast Lagrangian Analysis of Continua, version 7.0; Itasca Consulting Group Inc.: Minneapolis, MN, USA, 2011. [Google Scholar]
- Yuan, T.; Chen, Z.; Liu, W.J.; Zhou, X.H.; Tu, W.P.; Wang, F. Application and Mechanical Model of Capillary Mechanics in the Separation Process of Superhydrophilic Membranes. J. South China Univ. Technol. 2014, 42, 82–89. [Google Scholar] [CrossRef]
- Basu, A.; Mishra, D.A.; Roychowdhu, K. Rock failure modes under uniaxial compression, Brazilian, and point load tests. Bull. Eng. Geol. Environ. 2013, 72, 457–475. [Google Scholar] [CrossRef]
- Fatahi, H.; Hossain, M.M.; Fallahzadeh, S.H.; Mostofi, M. Numerical simulation for the determination of hydraulic fracture initiation and breakdown pressure using distinct element method. J. Nat. Gas Engine 2016, 33, 1219–1232. [Google Scholar] [CrossRef]
- Zhou, Z.L.; Cai, X.; Zhao, Y.; Chen, L.; Xiong, C.; Li, X.B. Strength characteristics of dry and saturated rock at different strain rates. Trans. Nonferrous Met. Soc. China 2016, 26, 1919–1925. [Google Scholar] [CrossRef]
- Zhuang, L.; Kim, K.; Diaz, M.; Yeom, S. Evaluation of water saturation effect on mechanical properties and hydraulic fracturing behavior of granite. Int. J. Rock Mech. Min. Sci. 2020, 130, 104321. [Google Scholar] [CrossRef]

















| Mechanical Parameters | Value |
|---|---|
| Elastic modulus E0/GPa | 16 |
| fs/MPa | 103 |
| ft/MPa | 15 |
| Poisson’s ratio ν | 0.34 |
| Internal friction angle φ | 45 |
| Dilation angle ψ | 10 |
| Residual strength coefficient Rs | 0.05 |
| Plastic shear strain threshold κsL/10−4 | 5 |
| Plastic tensile strain threshold κtL/10−4 | 2 |
| Mechanical Parameters | Elastic Stage | Unstable Stage | Post-Rupture Stage |
|---|---|---|---|
| Cohesion/MPa | 21.3 | 5 | 5 |
| Friction/(°) | 45 | 42 | 40 |
| Dilation/(°) | 10 | 3 | 0 |
Disclaimer/Publisher’s Note: The statements, opinions and data contained in all publications are solely those of the individual author(s) and contributor(s) and not of MDPI and/or the editor(s). MDPI and/or the editor(s) disclaim responsibility for any injury to people or property resulting from any ideas, methods, instructions or products referred to in the content. |
© 2023 by the authors. Licensee MDPI, Basel, Switzerland. This article is an open access article distributed under the terms and conditions of the Creative Commons Attribution (CC BY) license (https://creativecommons.org/licenses/by/4.0/).
Share and Cite
Song, M.; Zhang, W.; Zou, Y.; Chen, J. Numerical Simulation of Uniaxial Compressive Strength and Failure Characteristics of Non-Uniform Water-Bearing Sandstone. Materials 2023, 16, 6396. https://doi.org/10.3390/ma16196396
Song M, Zhang W, Zou Y, Chen J. Numerical Simulation of Uniaxial Compressive Strength and Failure Characteristics of Non-Uniform Water-Bearing Sandstone. Materials. 2023; 16(19):6396. https://doi.org/10.3390/ma16196396
Chicago/Turabian StyleSong, Mingwei, Wenzhi Zhang, Youfeng Zou, and Junjie Chen. 2023. "Numerical Simulation of Uniaxial Compressive Strength and Failure Characteristics of Non-Uniform Water-Bearing Sandstone" Materials 16, no. 19: 6396. https://doi.org/10.3390/ma16196396
APA StyleSong, M., Zhang, W., Zou, Y., & Chen, J. (2023). Numerical Simulation of Uniaxial Compressive Strength and Failure Characteristics of Non-Uniform Water-Bearing Sandstone. Materials, 16(19), 6396. https://doi.org/10.3390/ma16196396
