The Low-Cycle Fatigue Behavior, Microstructure Evolution, and Life Prediction of SS304: Influence of Temperature
Abstract
1. Introduction
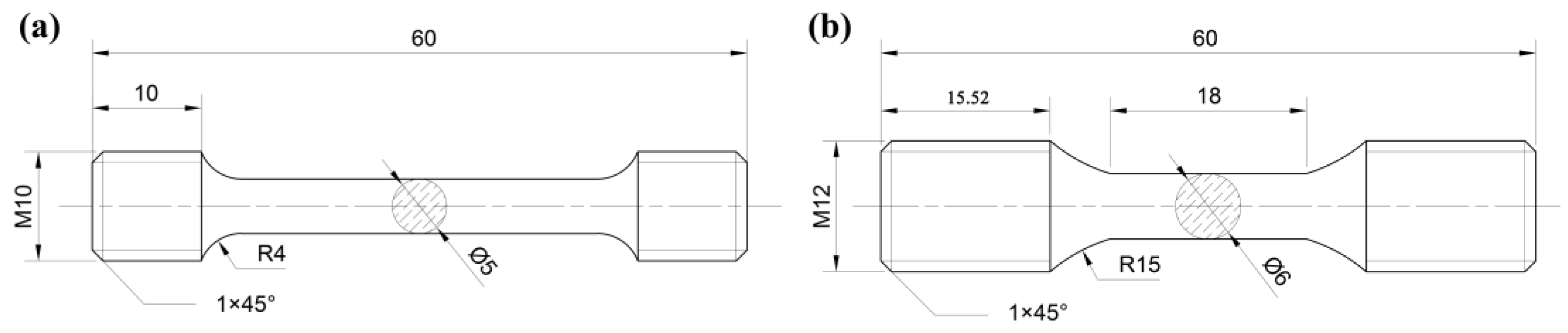
2. Material and Experimental Procedure
3. Results and Discussion
3.1. Initial Microstructure
3.2. Tensile Behavior under Various Temperatures
3.3. Cyclic Response and Hysteresis Loops
3.4. Microstructure Evolution at Various Temperatures
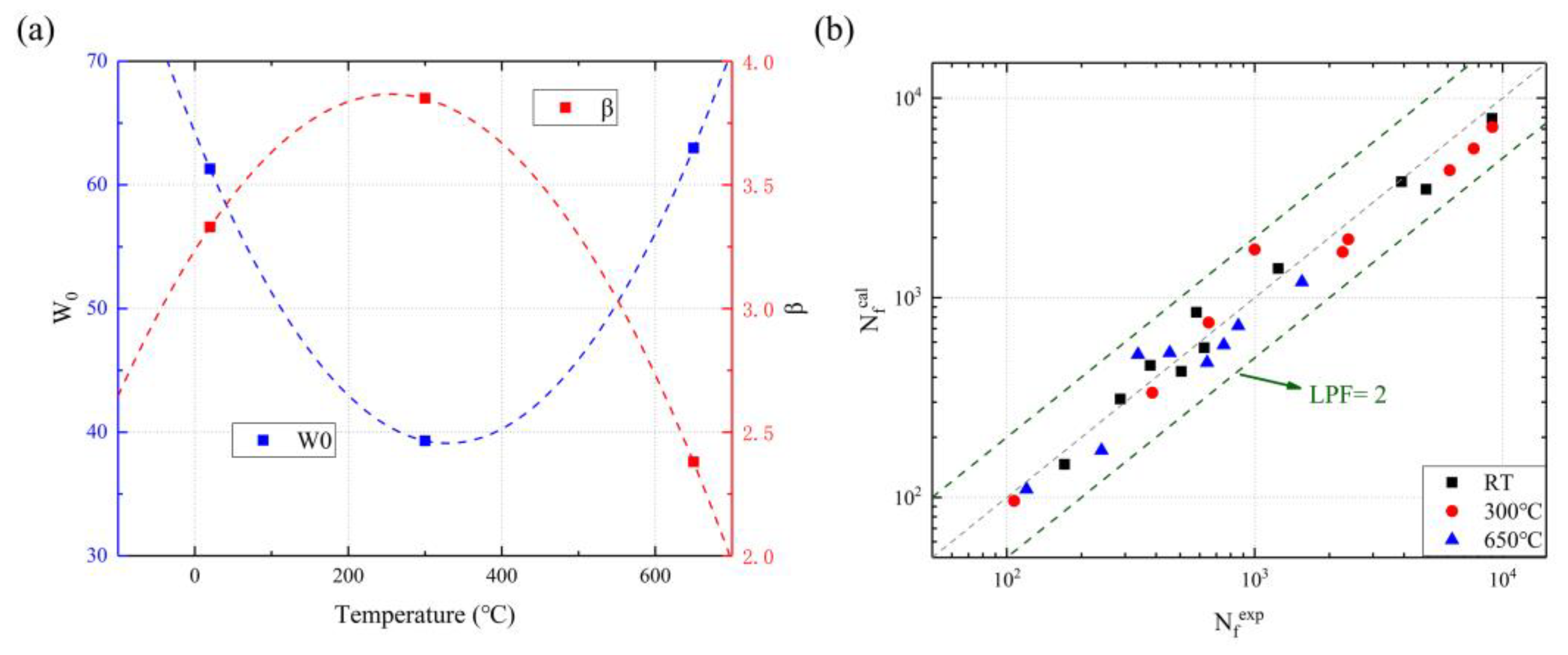
3.5. Fatigue Life Evaluation
4. Conclusions
- (1)
- The tensile properties of SS304 decrease with increasing temperature and show work-hardening characteristics at all temperatures. However, the stress amplitude of SS304 presents cyclic hardening in RT and cyclic softening at 300 °C and 650 °C. The softening factor is minimally affected by the strain amplitude but is temperature sensitive.
- (2)
- The fatigue crack initiation mechanism of SS304 is single-point and multi-point initiation at RT and high temperatures, respectively. Fatigue crack initiation is controlled by a clear facet at RT and cyclic softening at 300 °C and 650 °C. Therefore, as the temperature increases, cyclic softening gradually replaces the clear facet as the primary mechanism for crack initiation.
- (3)
- Cyclic hardening of SS304 at RT is related to the forming dislocation nets, pinning dislocation by carbon-containing precipitates, low stacking fault energy, and deformation twins. In addition, dynamic recovery and dynamic recrystallization are proposed to explain the cyclic softening behavior at 300 °C and 650 °C. Dislocation morphology transforms from dislocation tangles and walls at RT to dislocation cells at 300 °C to dislocation annihilation, revealing that the effect of temperature on cyclic properties of SS304 originates from dislocation evolution.
- (4)
- After determining the non-mashing type of SS304, the quadratic relationship between the model parameters ( and ) and temperature is constructed based on the hysteresis energy model. The LPF analysis predicts that the experimental data possess accuracy and validity, which benefits the anti-fatigue design.
Author Contributions
Funding
Data Availability Statement
Acknowledgments
Conflicts of Interest
References
- Xu, Z.; Li, Y. Dynamic behaviors of 0Cr18Ni10Ti stainless steel welded joints at elevated temperatures and high strain rates. Mech. Mater. 2009, 41, 121–130. [Google Scholar] [CrossRef]
- Fissolo, A.; Stelmaszyk, J.M.; Gourdin, C.; Bouin, P.; Pérez, G. Thermal fatigue loading for a type 304-L stainless steel used for pressure water reactor: Investigations on the effect of a nearly perfect biaxial loading, and on the cumulative fatigue life. Procedia Eng. 2010, 2, 1595–1604. [Google Scholar] [CrossRef][Green Version]
- Ul-Hamid, A.; Tawancy, H.M.; Abbas, N.M. Failure of weld joints between carbon steel pipe and 304 stainless steel elbows. Eng. Fail. Anal. 2005, 12, 181–191. [Google Scholar] [CrossRef]
- Chen, Y.; Sun, S.; Zhang, T.; Zhou, X.; Li, S. Effects of post-weld heat treatment on the microstructure and mechanical properties of laser-welded NiTi/304SS joint with Ni filler. Mat. Sci. Eng. A-Struct. 2020, 771, 138545. [Google Scholar] [CrossRef]
- Zinkle, S.J.; Was, G.S. Materials challenges in nuclear energy. Acta Mater. 2013, 61, 735–758. [Google Scholar] [CrossRef]
- Olson, G.B.; Cohen, M. Kinetics of strain-induced martensitic nucleation. Metall. Trans. A 1975, 6, 791–795. [Google Scholar] [CrossRef]
- Liao, X.; Wei, H.; Feng, L.; Ban, H. Low-cycle fatigue behavior for stainless-clad 304 + Q235B bimetallic steel. Int. J. Fatigue 2022, 159, 106831. [Google Scholar] [CrossRef]
- Li, B.; Zheng, Y.; Zhao, J.; Shi, S.; Zhang, Z.; Chen, X. Cyclic deformation behavior and dynamic strain aging of 316LN stainless steel under low cycle fatigue loadings at 550 °C. Mat. Sci. Eng. A-Struct. 2021, 818, 141411. [Google Scholar] [CrossRef]
- Chen, Y.; Wang, X.; Shen, J.; Peng, Y.; Jiang, Y.; Yang, X.; Leen, S.B.; Gong, J. Deformation mechanisms of selective laser melted 316L austenitic stainless steel in high temperature low cycle fatigue. Mat. Sci. Eng. A-Struct. 2022, 843, 143123. [Google Scholar] [CrossRef]
- Šmíd, M.; Kuběna, I.; Jambor, M.; Fintová, S. Effect of solution annealing on low cycle fatigue of 304L stainless steel. Mat. Sci. Eng. A-Struct. 2021, 824, 141807. [Google Scholar] [CrossRef]
- Niu, X.; Zhu, S.-P.; He, J.-C.; Liao, D.; Correia, J.A.F.O.; Berto, F.; Wang, Q. Defect tolerant fatigue assessment of AM materials: Size effect and probabilistic prospects. Int. J. Fatigue 2022, 160, 106884. [Google Scholar] [CrossRef]
- Paul, S.K.; Sivaprasad, S.; Dhar, S.; Tarafder, S. Cyclic plastic deformation and cyclic hardening/softening behavior in 304LN stainless steel. Theor. Appl. Fract. Mech. 2010, 54, 63–70. [Google Scholar] [CrossRef]
- Jiang, Y.; Sehitoglu, H. Cyclic ratchetting of 1070 steel under multiaxial stress states. Int. J. Plast. 1994, 10, 579–608. [Google Scholar] [CrossRef]
- Zhang, H.; Li, C.; Yao, G.; Shi, Y.; Zhang, Y. Effect of annealing treatment on microstructure evolution and deformation behavior of 304L stainless steel made by laser powder bed fusion. Int. J. Plast. 2022, 155, 103335. [Google Scholar] [CrossRef]
- Ma, T.-H.; Gao, N.; Chang, L.; He, X.-H.; Zhou, C.-Y. Low-cycle fatigue behavior and life prediction of CP-Ti under non-proportional and multiaxial loading. Eng. Fract. Mech. 2021, 254, 107930. [Google Scholar] [CrossRef]
- Xu, L.; Nie, X.; Fan, J.; Tao, M.; Ding, R. Cyclic hardening and softening behavior of the low yield point steel BLY160: Experimental response and constitutive modeling. Int. J. Plast. 2016, 78, 44–63. [Google Scholar] [CrossRef]
- Zhou, J.; Sun, Z.; Kanouté, P.; Retraint, D. Experimental analysis and constitutive modelling of cyclic behaviour of 316L steels including hardening/softening and strain range memory effect in LCF regime. Int. J. Plast. 2018, 107, 54–78. [Google Scholar] [CrossRef]
- Wang, Y.Q.; Chang, T.; Shi, Y.J.; Yuan, H.X.; Yang, L.; Liao, D.F. Experimental study on the constitutive relation of austenitic stainless steel S31608 under monotonic and cyclic loading. Thin-Walled Struct. 2014, 83, 19–27. [Google Scholar] [CrossRef]
- Xie, X.-F.; Jiang, W.; Chen, J.; Zhang, X.; Tu, S.-T. Cyclic hardening/softening behavior of 316L stainless steel at elevated temperature including strain-rate and strain-range dependence: Experimental and damage-coupled constitutive modeling. Int. J. Plast. 2019, 114, 196–214. [Google Scholar] [CrossRef]
- Wei, W.; Feng, Y.; Han, L.; Zhang, Q.; Zhang, J. Cyclic hardening and dynamic strain aging during low-cycle fatigue of Cr-Mo tempered martensitic steel at elevated temperatures. Mater. Sci. Eng. A 2018, 734, 20–26. [Google Scholar] [CrossRef]
- Zhang, X.; Wang, T.; Gong, X.; Li, Q.; Liu, Y.; Wang, Q.; Zhang, H.; Wang, Q. Low cycle fatigue properties, damage mechanism, life prediction and microstructure of MarBN steel: Influence of temperature. Int. J. Fatigue 2021, 144, 106070. [Google Scholar] [CrossRef]
- Zhao, P.; Lu, T.-Y.; Gong, J.-G.; Xuan, F.-Z.; Berto, F. A strain energy density based life prediction model for notched components in low cycle fatigue regime. Int. J. Press. Vessel. Pip. 2021, 193, 104458. [Google Scholar] [CrossRef]
- Ellyin, F.; Kujawski, D. Plastic Strain Energy in Fatigue Failure. J. Press. Vessel. Technol. 1984, 106, 342–347. [Google Scholar] [CrossRef]
- Čular, I.; Vučković, K.; Žeželj, D.; Glodež, S. Analytical approach for low and high cycle bending fatigue life prediction of carburized gear steel specimens. Eng. Fail. Anal. 2020, 108, 104328. [Google Scholar] [CrossRef]
- Kim, Y.J.; Cha, J.W.; Kim, H.J.; Kim, Y.M.; Park, S.H. Low-cycle fatigue properties and unified fatigue life prediction equation of hot-rolled twin-roll-cast AZ31 sheets with different thicknesses. Mater. Sci. Eng. A 2022, 833, 142349. [Google Scholar] [CrossRef]
- Rozumek, D.; Marciniak, Z.; Lachowicz, C.T. The energy approach in the calculation of fatigue lives under non-proportional bending with torsion. Int. J. Fatigue 2010, 32, 1343–1350. [Google Scholar] [CrossRef]
- Liang-Hsiung, C.; Yung-Chuan, C.; Chia-Chin, W.; Jen, H.Y. Predictions of stress-strain curve and fatigue life for aisi 316 stainless steel in cyclic straining. J. Mar. Sci. Technol. 2016, 24, 426–433. [Google Scholar]
- ASTM E8M-04; Standard Test Methods for Tension Testing of Metallic Materials. ASTM: West Conshohocken, PA, USA, 2004.
- ASTM E606-2012; Standard Test Method for Strain-Controlled Fatigue Testing. ASTM: West Conshohocken, PA, USA, 2012.
- Cui, L.; Deng, D.; Jiang, F.; Peng, R.L.; Xin, T.; Mousavian, R.T.; Yang, Z.; Moverare, J. Superior low cycle fatigue property from cell structures in additively manufactured 316L stainless steel. J. Mater. Sci. Technol. 2022, 111, 268–278. [Google Scholar] [CrossRef]
- Cui, L.; Jiang, F.; Peng, R.L.; Mousavian, R.T.; Yang, Z.; Moverare, J. Dependence of microstructures on fatigue performance of polycrystals: A comparative study of conventional and additively manufactured 316L stainless steel. Int. J. Plast. 2022, 149, 103172. [Google Scholar] [CrossRef]
- Ait-Amokhtar, H.; Fressengeas, C. Crossover from continuous to discontinuous propagation in the Portevin–Le Chatelier effect. Acta Mater. 2010, 58, 1342–1349. [Google Scholar] [CrossRef]
- Chandran, S.; Liu, W.; Lian, J.; Münstermann, S.; Verleysen, P. Dynamic strain aging in DP1000: Effect of temperature and strain rate. Mater. Sci. Eng. A 2022, 832, 142509. [Google Scholar] [CrossRef]
- Borisova, Y.; Yuzbekova, D.; Mogucheva, A.; Xu, W. Characterization of the spatiotemporal behavior of the PLC bands in austenitic steel during deformation at elevated temperature. Mater. Lett. 2021, 304, 130584. [Google Scholar] [CrossRef]
- Zhang, H.; Li, P.; Gong, X.; Wang, T.; Li, L.; Liu, Y.; Wang, Q. Tensile properties, strain rate sensitivity and failure mechanism of single crystal superalloys CMSX-4. Mater. Sci. Eng. A-Struct. Mater. Prop. Microstruct. Process. 2020, 782, 139105. [Google Scholar] [CrossRef]
- Afrin, N.; Chen, D.L.; Cao, X.; Jahazi, M. Strain hardening behavior of a friction stir welded magnesium alloy. Scr. Mater. 2007, 57, 1004–1007. [Google Scholar] [CrossRef]
- Shen, Y.F.; Li, X.X.; Sun, X.; Wang, Y.D.; Zuo, L. Twinning and martensite in a 304 austenitic stainless steel. Mater. Sci. Eng. A 2012, 552, 514–522. [Google Scholar] [CrossRef]
- Shin, H.C.; Ha, T.K.; Chang, Y.W. Kinetics of deformation induced martensitic transformation in a 304 stainless steel. Scr. Mater. 2001, 45, 823–829. [Google Scholar] [CrossRef]
- Mirhosseini, S.; Perdahcıo, E.S.; Atzema, E.H.; van den Boogaard, A.H. Effect of temperature and heat generation on martensitic phase transformation in DH steels. Results Mater. 2022, 14, 100281. [Google Scholar] [CrossRef]
- Kim, H.; Lee, J.; Barlat, F.; Kim, D.; Lee, M.-G. Experiment and modeling to investigate the effect of stress state, strain and temperature on martensitic phase transformation in TRIP-assisted steel. Acta Mater. 2015, 97, 435–444. [Google Scholar] [CrossRef]
- Mouni, C.T.; Mahadevan, S.; Ravishankar, C.; Albert, S.K.; Das, C.R.; Parida, P.K.; Sagdeo, A. Influence of prior deformation temperature on strain induced martensite formation and its effect on the tensile strengthening behaviour of type 304 SS studied by XRDLPA. Mater. Sci. Eng. A 2021, 826, 141960. [Google Scholar] [CrossRef]
- Cakmak, E.; Vogel, S.C.; Choo, H. Effect of martensitic phase transformation on the hardening behavior and texture evolution in a 304L stainless steel under compression at liquid nitrogen temperature. Mat. Sci. Eng. A-Struct. 2014, 589, 235–241. [Google Scholar] [CrossRef]
- Hong-Xue, S.; Hao-Jiang, D. Low cycle fatigue stress-strain relation model of cyclic hardening or cyclic softening materials. Eng. Fract. Mech. 1996, 54, 1–9. [Google Scholar] [CrossRef]
- Wu, D.-L.; Zhao, P.; Wang, Q.-Q.; Xuan, F.-Z. Cyclic behavior of 9–12% Cr steel under different control modes in low cycle regime: A comparative study. Int. J. Fatigue 2015, 70, 114–122. [Google Scholar] [CrossRef]
- Gong, X.; Wang, T.; Li, Q.; Liu, Y.; Zhang, H.; Zhang, W.; Wang, Q.; Wang, Q. Cyclic responses and microstructure sensitivity of Cr-based turbine steel under different strain ratios in low cycle fatigue regime. Mater. Des. 2021, 201, 109529. [Google Scholar] [CrossRef]
- Bartošák, M.; Horváth, J.; Španiel, M. Life assessment of a 42CrMo4 steel under low-cycle fatigue and thermo-mechanical fatigue loading conditions. Int. J. Fatigue 2019, 129, 105255. [Google Scholar] [CrossRef]
- Ribeiro, V.; Correia, J.; Mourão, A.; Lesiuk, G.; Gonçalves, A.; De Jesus, A.; Berto, F. Low-cycle fatigue modelling supported by strain energy density-based Huffman model considering the variability of dislocation density. Eng. Fail. Anal. 2021, 128, 105608. [Google Scholar] [CrossRef]
- Liu, C.; Yang, J.; Ma, P.; Ma, Z.; Zhan, L.; Chen, K.; Huang, M.; Li, J.; Li, Z. Large creep formability and strength–ductility synergy enabled by engineering dislocations in aluminum alloys. Int. J. Plast. 2020, 134, 102774. [Google Scholar] [CrossRef]
- Caillard, D.; Couret, A. Dislocation movements controlled by friction forces and local pinning in metals and alloys. Mat. Sci. Eng. A-Struct. 2002, 322, 108–117. [Google Scholar] [CrossRef]
- Kida, S.; Itoh, T.; Sakane, M.; Ohnami, M.; Socie, D.J.F.; Materials, F.O.E. Structures, Dislocation structure and non-proportional hardening of Type 304 stainless steel. Fatigue Fract. Eng. Mater. Struct. 1997, 20, 1375–1386. [Google Scholar] [CrossRef]
- Zhang, H.; Xu, M.; Kumar, P.; Li, C.; Dai, W.; Liu, Z.; Li, Z.; Zhang, Y. Enhancement of fatigue resistance of additively manufactured 304L SS by unique heterogeneous microstructure. Virtual Phys. Prototyping 2021, 16, 125–145. [Google Scholar] [CrossRef]
- Zhang, H.; Pei, Y.; Gong, X.; Chen, X.; Zhang, W.; Zhang, P.; Li, L.; Liu, Y.; Wang, Q. Deformation nanotwins in a single-crystal Ni-based superalloy at room temperature and low strain rate. Mater. Charact. 2022, 187, 111865. [Google Scholar] [CrossRef]
- Jiang, Y.; Zhou, X.; Li, X.Y. Effects of cross rolling on multiple twinning and martensitic transformation in an austenitic steel. Mater. Sci. Eng. A 2021, 822, 141703. [Google Scholar] [CrossRef]
- Pham, M.S.; Solenthaler, C.; Janssens, K.G.F.; Holdsworth, S.R. Dislocation structure evolution and its effects on cyclic deformation response of AISI 316L stainless steel. Mat. Sci. Eng. A-Struct. 2011, 528, 3261–3269. [Google Scholar] [CrossRef]
- d’Hondt, C.; Doquet, V.; Couzinié, J.P. Cyclic hardening/softening and deformation mechanisms of a twip steel under reversed loading. Materialia 2022, 22, 101421. [Google Scholar] [CrossRef]
- Kong, D.; Dong, C.; Ni, X.; Liang, Z.; Man, C.; Li, X. Hetero-deformation-induced stress in additively manufactured 316L stainless steel. Mater. Res. Lett. 2020, 8, 390–397. [Google Scholar] [CrossRef]
- Hong, Y.; Zhou, C.; Zheng, Y.; Zhang, L.; Zheng, J. The cellular boundary with high density of dislocations governed the strengthening mechanism in selective laser melted 316L stainless steel. Mater. Sci. Eng. A 2021, 799, 140279. [Google Scholar] [CrossRef]
- Yoon, S.; Cui, Y.; Kimura, Y.; Gu, S.; Toku, Y.; Ju, Y. Improvement of low-cycle fatigue life of austenitic stainless steel by multiple high-density pulsed electric currents. Int. J. Fatigue 2022, 156, 106639. [Google Scholar] [CrossRef]
- Coffin, J.L.F. A Study of the Effects of Cyclic Thermal Stresses on a Ductile Metal; Knolls Atomic Power Laboratory: New York, NY, USA, 1953. [Google Scholar]
- He, J.-C.; Zhu, S.-P.; Luo, C.; Niu, X.; Wang, Q. Size effect in fatigue modelling of defective materials: Application of the calibrated weakest-link theory. Int. J. Fatigue 2022, 165, 107213. [Google Scholar] [CrossRef]
- Lu, Y.; Wu, H.; Zhong, Z. A modified energy-based model for low-cycle fatigue life prediction under multiaxial irregular loading. Int. J. Fatigue 2019, 128, 105187. [Google Scholar] [CrossRef]
- Luo, Y.-R.; Huang, C.-X.; Guo, Y.; Wang, Q.-Y. Energy-Based Prediction of Low Cycle Fatigue Life of High-Strength Structural Steel. J. Iron Steel Res. Int. 2012, 19, 47–53. [Google Scholar] [CrossRef]
- Yue, P.; Ma, J.; Huang, H.; Shi, Y.; Zu, J.W. Threshold damage-based fatigue life prediction of turbine blades under combined high and low cycle fatigue. Int. J. Fatigue 2021, 150, 106323. [Google Scholar] [CrossRef]












| C | Si | Mn | P | S | Cr | Ni | Fe |
|---|---|---|---|---|---|---|---|
| 0.010 | 0.52 | 1.03 | 0.020 | 0.010 | 18.34 | 8.44 | balance |
| Temperature (°C) | Elastic Modulus (GPa) | Yield Strength (MPa) | Tensile Strength (MPa) | n | Hardening Capacity |
|---|---|---|---|---|---|
| RT | 270.79 | 319.82 | 1149.01 | 0.32 | 2.59 |
| 300 °C | 239.00 | 181.20 | 641.53 | 0.30 | 2.54 |
| 650 °C | 153.17 | 125.03 | 435.64 | 0.26 | 2.48 |
| Temperature (°C) | (MPa) | R2 | |||
|---|---|---|---|---|---|
| RT | 476.46 | 0.41 | 0.35 | 522.84 | 0.98 |
| 300 | 406.56 | 0.60 | 0.54 | 453.05 | 0.97 |
| 650 | 286.96 | 0.15 | 0.17 | 299.52 | 0.88 |
| Temperature (°C) | (MPa) | b | c | ||
|---|---|---|---|---|---|
| RT | 768.36 | 3.25 | −0.09 | −0.19 | 0.87 |
| 300 | 660.17 | 2.43 | −0.11 | −0.16 | 0.98 |
| 650 | 424.68 | 5.09 | −0.08 | −0.29 | 0.76 |
Disclaimer/Publisher’s Note: The statements, opinions and data contained in all publications are solely those of the individual author(s) and contributor(s) and not of MDPI and/or the editor(s). MDPI and/or the editor(s) disclaim responsibility for any injury to people or property resulting from any ideas, methods, instructions or products referred to in the content. |
© 2023 by the authors. Licensee MDPI, Basel, Switzerland. This article is an open access article distributed under the terms and conditions of the Creative Commons Attribution (CC BY) license (https://creativecommons.org/licenses/by/4.0/).
Share and Cite
Mei, T.; Wang, Q.; Liu, M.; Jiang, Y.; Zou, T.; Cai, Y. The Low-Cycle Fatigue Behavior, Microstructure Evolution, and Life Prediction of SS304: Influence of Temperature. Materials 2023, 16, 6326. https://doi.org/10.3390/ma16186326
Mei T, Wang Q, Liu M, Jiang Y, Zou T, Cai Y. The Low-Cycle Fatigue Behavior, Microstructure Evolution, and Life Prediction of SS304: Influence of Temperature. Materials. 2023; 16(18):6326. https://doi.org/10.3390/ma16186326
Chicago/Turabian StyleMei, Ting, Quanyi Wang, Meng Liu, Yunqing Jiang, Tongfei Zou, and Yifan Cai. 2023. "The Low-Cycle Fatigue Behavior, Microstructure Evolution, and Life Prediction of SS304: Influence of Temperature" Materials 16, no. 18: 6326. https://doi.org/10.3390/ma16186326
APA StyleMei, T., Wang, Q., Liu, M., Jiang, Y., Zou, T., & Cai, Y. (2023). The Low-Cycle Fatigue Behavior, Microstructure Evolution, and Life Prediction of SS304: Influence of Temperature. Materials, 16(18), 6326. https://doi.org/10.3390/ma16186326
