Optimization of Sulfide Annealing Conditions for Ag8SnS6 Thin Films
Abstract
:1. Introduction
2. Materials and Methods
3. Results and Discussion
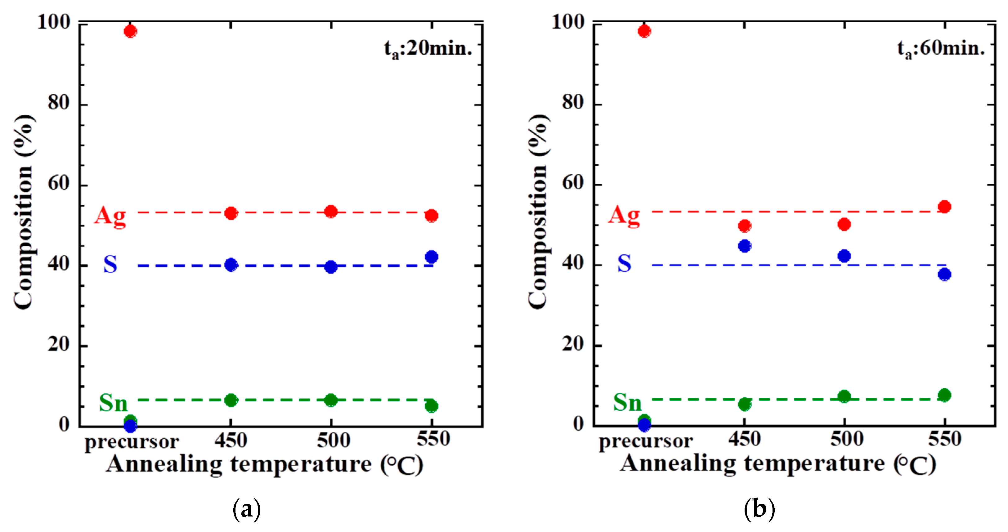
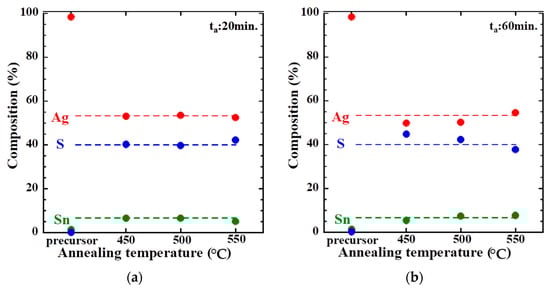
3.1. Effect of Annealing Temperature and Time on Thin Films
3.2. Effect of Multi-Step Annealing on Thin Films
4. Conclusions
Author Contributions
Funding
Institutional Review Board Statement
Informed Consent Statement
Data Availability Statement
Conflicts of Interest
References
- Seboui, Z.; Dabbabi, S. First investigation on CZTS electron affinity and thickness optimization using SILVACO-Atlas 2D simulation. Simul. Model. Pract. Theory 2023, 126, 102758. [Google Scholar] [CrossRef]
- Tanaka, M.; Hirose, Y.; Harada, Y.; Takahashi, M.; Sakata, Y.; Higashimoto, S. Fabrication of Cu2ZnSnS4 (CZTS) by co-electrodeposition of Cu-Zn-Sn alloys, and effect of chemical composition of CZTS on their photoelectrochemical water splitting. Results Chem. 2023, 5, 100900. [Google Scholar] [CrossRef]
- Yussuf, S.T.; Nwambaekwe, K.C.; Ramoroka, M.E.; Iwuoha, E.I. Photovoltaic efficiencies of microwave and Cu2ZnSnS4 (CZTS) superstrate solar cells. Mater. Today Sustain. 2023, 21, 100287. [Google Scholar] [CrossRef]
- Tong, H.; Xu, B.; Zhu, Q.; Lin, J.; Ma, H.; Chen, J.; Wang, H.; Chen, Y.; Yang, P.; Chu, J.; et al. Effects of pre-alloying process on the absorber quality for Cu2ZnSnS4 thin-film solar cells. Mater. Sci. Semicond. Process. 2023, 165, 107699. [Google Scholar] [CrossRef]
- Kumar, K.B.Y.; Nagamalleswari, D.; Babu, S.G. Deposition of Cu2ZnSnS4 thin film at different solution flow rates. Phys. B 2022, 645, 414263. [Google Scholar] [CrossRef]
- Avellaneda, D.; Nair, M.T.S.; Nair, P.K. Cu2SnS3 and Cu4SnS4 Thin Films via Chemical Deposition for Photovoltaic Application. J. Electrochem. Soc. 2010, 157, D346. [Google Scholar] [CrossRef]
- Tiwari, D.; Chaudhuri, T.K.; Shripathi, T.; Deshpande, U.; Rawat, R. Non-toxic, earth-abundant 2% efficient Cu2SnS3 solar cell based on tetragonal films direct-coated from single metal-organic precursor solution. Sol. Energy Mater. Sol. Cells 2013, 113, 165–170. [Google Scholar] [CrossRef]
- Akcay, N.; Gremenok, F.V.; Ozen, Y.; Buskis, P.K.; Zaretskaya, P.E.; Ozcelik, S. Investigation on photovoltaic performance of Cu2SnS3 thin film solar cells fabricated by RF-sputtered In2S3 buffer layer. J. Alloys Compd. 2023, 949, 169874. [Google Scholar] [CrossRef]
- Kuku, T.A.; Fakolujo, O.A. Photovoltaic characteristics of thin films of Cu2SnS3. Sol. Energy Mater. 1987, 16, 199–204. [Google Scholar] [CrossRef]
- Bouaziz, M.; Amlouk, M.; Belgacem, S. Structural and optical properties of Cu2SnS3 sprayed thin films. Thin Solid Film. 2009, 517, 2527–2530. [Google Scholar] [CrossRef]
- Bouaziz, M.; Ouerfelli, J.; Srivastava, S.K.; Bernede, J.C.; Amlouk, M. Growth of Cu2SnS3 thin films by solid reaction under sulphur atmosphere. Vacuum 2011, 85, 783–786. [Google Scholar] [CrossRef]
- Berg, D.M.; Djemour, R.; Gutay, L.; Siebentritt, S.; Dale, P.J.; Fontane, X.; Roca, V.I.; Rodriguez, A.P. Raman analysis of monoclinic Cu2SnS3 thin films. Appl. Phys. Lett. 2012, 100, 192103. [Google Scholar] [CrossRef]
- Paul, A.; Krishnan, B.; Shaji, S.; Avellaneda, A.D. Cu2SnS3 based photovoltaic structure with improved open circuit voltage for air stable self-driven enhanced NIR photodetection. Appl. Surf. Sci. 2023, 639, 158181. [Google Scholar] [CrossRef]
- Kanai, A.; Sugiyama, M. Na induction effects for J–V properties of CuSnS (CTS) solar cells and fabrication of a CTS solar cell over-5.2% efficiency. Sol Energy Mater. Sol. Cells 2021, 231, 111315. [Google Scholar] [CrossRef]
- Berg, D.M.; Djemour, R.; Gutay, L.; Zoppi, G.; Siebentritt, S.; Dale, P.J. Thin film solar cells based on the ternary compound Cu2SnS3. Thin Solid Film. 2012, 520, 6291–6294. [Google Scholar] [CrossRef]
- Sayed, H.M.; Gomaa, M.M.; Boshta, M. Effect of Ge doping on the material properties of sprayed Cu2SnS3 thin films. Results Opt. 2023, 12, 100499. [Google Scholar] [CrossRef]
- Almessiewe, M.A.; Otaibi, A.L.A.; Assaker, L.B.; Ghrib, T.; Chtourou, R. Electrodeposited and characterization of Ag–Sn–S semiconductor thin films. Mater. Sci. Semicond. Process. 2015, 40, 267–275. [Google Scholar] [CrossRef]
- Nakamura, S.; Eang, P.; Yamaguchi, T.; Seto, S.; Akaki, Y.; Katagiri, H.; Araki, H. Preparation of (Cu,Ag)2SnS3 Thin-Film Solar Cells by Sulfurizing Metal Precursors Featuring Various Ag Contents. Phys. Status Solidi A 2019, 216, 1800872. [Google Scholar] [CrossRef]
- Nakashima, M.; Hatayama, K.; Yamaguchi, T.; Araki, H.; Nakamura, S.; Seto, S.; Akaki, Y.; Sasano, J.; Izaki, M. Fabrication of (Cu,Ag)2SnS3 thin films by sulfurization for solar cells. Thin Solid Film. 2017, 642, 8–13. [Google Scholar] [CrossRef]
- Belandria, E.; Fernandez, B.J. Temperature Dependence of the Optical Absorption of the Ternary Compound Ag2SnS3. Jpn. J. Appl. Phys. 2000, 39, 293. [Google Scholar] [CrossRef]
- Akaki, Y.; Akita, H.; Nakamura, S.; Araki, H.; Seto, S.; Yamaguchi, T. Effects of H2S annealing for Ag/Sn and Ag/SnS thin films deposited by a thermal evaporation method. Phys. Status Solidi C 2017, 14, 1600254. [Google Scholar] [CrossRef]
- Cheng, K.W.; Tsai, W.T.; Wu, Y.H. Photo-enhanced salt-water splitting using orthorhombic Ag8SnS6 photoelectrodes in photoelectrochemical cells. J. Power Sources 2016, 317, 81–92. [Google Scholar] [CrossRef]
- Blosch, P.; Nishiwaki, S.; Jaeger, T.; Kranz, L.; Pianezi, F.; Chirila, A.; Reinhard, P.; Buecheler, S.; Tiwari, A.H. Alternative back contact designs for Cu (In,Ga)Se2 solar cells on polyimide foils. Phys. Status Solidi C 2017, 14, 1600254. [Google Scholar] [CrossRef]
- Zhao, C.; Yu, S.; Tang, W.; Yuan, X.; Zhou, H.; Qi, T.; Zheng, X.; Ning, D.; Ma, M.; Zhu, J.; et al. Advances in CIGS thin film solar cells with emphasis on the alkali element post-deposition treatment. Phys. Status Solidi C 2017, 14, 1600254. [Google Scholar] [CrossRef]
- Cheng, K.W. Stable photoelectrochemical salt-water splitting using the n-ZnSe/n-Ag8SnS6 photoanodes with the nanoscale surface state capacitances. J. Taiwan Inst. Chem. Eng. 2018, 87, 182–195. [Google Scholar] [CrossRef]
- Joseph, A.A.; Khan, M.D.; Mlowe, S.; Revaprasadu, N. Canfieldite Ag8SnS6 nanoparticles with high light absorption coefficient and quantum yield. Mater. Chem. Phys. 2023, 299, 127456. [Google Scholar]
- Akaki, Y.; Abe, H.; Uchimura, T.; Araki, H. Effect of H2S concentration for Cu2SnS3 thin films. In Proceedings of the 31st International Photovoltaic Science and Engineering Conference, Sydney, Australia, 13–15 December 2021. [Google Scholar]








| Name | Annealing Temperature | Annealing Time |
|---|---|---|
| sample 1 | 450 °C | 20 min |
| sample 2 | 500 °C | |
| sample 3 | 550 °C | |
| sample 4 | 450 °C | 60 min |
| sample 5 | 500 °C | |
| sample 6 | 550 °C |
| Name | Annealing Conditions | ||
|---|---|---|---|
| 1st Step | 2nd Step | 3rd Step | |
| sample 7 | 200 °C, 60 min | 450 °C, 60 min | |
| sample 8 | 200 °C, 60 min | 550 °C, 60 min | |
| sample 9 | 200 °C, 60 min | 450 °C, 60 min | 550 °C, 60 min |
Disclaimer/Publisher’s Note: The statements, opinions and data contained in all publications are solely those of the individual author(s) and contributor(s) and not of MDPI and/or the editor(s). MDPI and/or the editor(s) disclaim responsibility for any injury to people or property resulting from any ideas, methods, instructions or products referred to in the content. |
© 2023 by the authors. Licensee MDPI, Basel, Switzerland. This article is an open access article distributed under the terms and conditions of the Creative Commons Attribution (CC BY) license (https://creativecommons.org/licenses/by/4.0/).
Share and Cite
Munekata, R.; Uchimura, T.; Araki, H.; Kanai, A.; Tanaka, K.; Okamoto, T.; Akaki, Y. Optimization of Sulfide Annealing Conditions for Ag8SnS6 Thin Films. Materials 2023, 16, 6289. https://doi.org/10.3390/ma16186289
Munekata R, Uchimura T, Araki H, Kanai A, Tanaka K, Okamoto T, Akaki Y. Optimization of Sulfide Annealing Conditions for Ag8SnS6 Thin Films. Materials. 2023; 16(18):6289. https://doi.org/10.3390/ma16186289
Chicago/Turabian StyleMunekata, Ryuki, Tomohiro Uchimura, Hideaki Araki, Ayaka Kanai, Kunihiko Tanaka, Tomoichiro Okamoto, and Yoji Akaki. 2023. "Optimization of Sulfide Annealing Conditions for Ag8SnS6 Thin Films" Materials 16, no. 18: 6289. https://doi.org/10.3390/ma16186289
APA StyleMunekata, R., Uchimura, T., Araki, H., Kanai, A., Tanaka, K., Okamoto, T., & Akaki, Y. (2023). Optimization of Sulfide Annealing Conditions for Ag8SnS6 Thin Films. Materials, 16(18), 6289. https://doi.org/10.3390/ma16186289

