Thermal and Humidity Performance Test of Rammed-Earth Dwellings in Northwest Sichuan during Summer and Winter
Abstract
:1. Introduction
2. Study of Thermal and Humidity Physical Properties of Rammed–Earth Materials
2.1. Measurement of Thermal and Humidity Physical Property Parameters of Rammed–Earth Materials
2.1.1. Preparation of Test Specimens
2.1.2. Thermal Conductivity and Thermal–Diffusion Coefficient
2.1.3. Isothermal Moisture Absorption and Discharge Curve
2.2. Analysis of Thermal and Humidity Properties of Rammed-Earth Materials
2.2.1. Thermal Performance Analysis
2.2.2. Material Humidity Performance Analysis
3. Building Wall Heat and Moisture Coupling Transfer and Indoor Heat and Humidity Environment Testing
3.1. Test Overview and Experimental Purpose
3.2. Test Content and Equipment Layout
4. Summer Test Results and Analysis
4.1. Wall Heat and Moisture Coupling Transfer
4.1.1. Wall Heat Transfer
4.1.2. Wall Moisture Transfer
4.2. Indoor Temperature and Humidity Changes
4.2.1. Indoor Temperature
4.2.2. Indoor Humidity
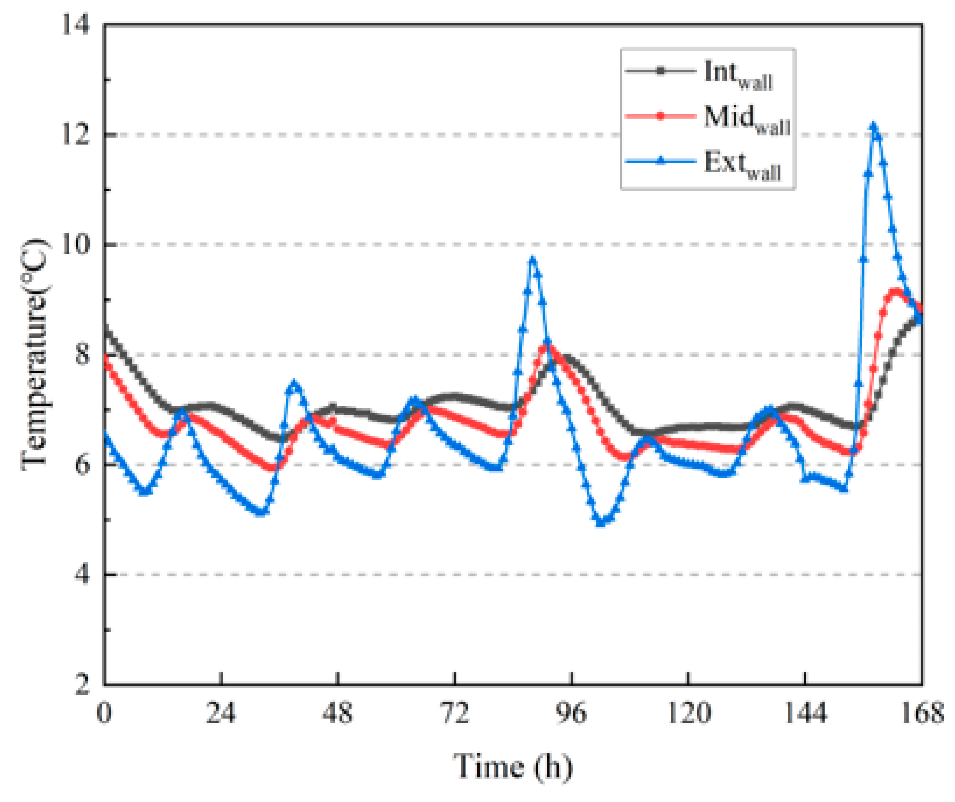
5. Winter Test Results and Analysis
5.1. Wall Heat and Moisture Coupling Transfer
5.1.1. Wall Heat Transfer
5.1.2. Wall Moisture Transfer
5.2. Indoor Temperature and Humidity Changes
5.2.1. Indoor Temperature
5.2.2. Indoor Humidity
6. Conclusions
Author Contributions
Funding
Institutional Review Board Statement
Informed Consent Statement
Data Availability Statement
Acknowledgments
Conflicts of Interest
Nomenclature
| u | equilibrium moisture content (kg/kg) |
| mi | mass of the specimen in equilibrium (kg) |
| m0 | mass of the specimen when it is completely dry (kg) |
| D | thermal diffusion coefficient (m2/s) |
| w | Moisture content by weight (kg/kg) |
| Cp,m | mass specific heat capacity (J/kg·k) |
| qtest | heat flux (W/m2) |
| hi | convective heat transfer coefficient of internal surface (W/m2·K) |
| Ti | indoor temperature (K) |
| Tsurfi | the temperature on the internal surface (K) |
| gtest | moisture flux (kg/m2) |
| Psat,i | the indoor partial pressure of saturated vapor (Pa) |
| Psat,surfi | the partial pressure of saturated vapor on the internal surface (Pa) |
| Greek symbols | |
| λ | thermal conductivity (W/m·K) |
| ρm | the density of building materials (kg/m3) |
| φ | relative humidity (%) |
| φi | indoor relative humidity (%) |
| βi | moisture exchange transfer coefficient of internal surface (s/m) |
| φsurfi | relative humidity of internal surface (%) |
References
- Bourdeau, M.; Zhai, X.Q.; Nefzaoui, E.; Guo, X.; Chatellier, P. Modeling and forecasting building energy consumption: A review of data-driven techniques. Sustain. Cities Soc. 2019, 48, 101533. [Google Scholar] [CrossRef]
- Luo, Z.; Lu, Y.; Cang, Y.; Yang, L. Study on dual-objective optimization method of life cycle energy consumption and economy of office building based on HypE genetic algorithm. Energy Build. 2021, 256, 111749. [Google Scholar] [CrossRef]
- Miccoli, L.; Müller, U.; Fontana, P. Mechanical behaviour of earthen materials: A comparison between earth block masonry, rammed earth and cob. Constr. Build. Mater. 2014, 61, 327–339. [Google Scholar] [CrossRef]
- Soudani, L.; Woloszyn, M.; Fabbri, A.; Morel, J.-C.; Grillet, A.-C. Energy evaluation of rammed earth walls using long term in-situ measurements. Sol. Energy 2017, 141, 70–80. [Google Scholar] [CrossRef]
- Zhang, L.; Sang, G.; Zhu, Y.; Cui, X.; Han, W.; Zhang, Y.; Yu, H. Thermal regulation mechanism of air-drying shelter to indoor environment of earth buildings located in Turpan basin with extremely dry and hot climate conditions. Sustain. Cities Soc. 2023, 91, 104416. [Google Scholar] [CrossRef]
- Li, Q.; Sun, X.; Chen, C.; Yang, X. Characterizing the household energy consumption in heritage Nanjing Tulou buildings, China: A comparative field survey study. Energy Build. 2012, 49, 317–326. [Google Scholar] [CrossRef]
- Estève, P.; Beckett, C.; Pedreschi, R.; Bosche, F.; Morel, J.C.; Charef, R.; Habert, G. Developing an integrated BIM/LCA framework to assess the sustainability of using earthen architecture. In IOP Conference Series: Earth and Environmental Science; IOP Publishing: Bristol, UK, 2022. [Google Scholar]
- Mileto, C.; López-Manzanares, F.V.; Crespo, L.V.; García-Soriano, L. The Influence of Geographical Factors in Traditional Earthen Architecture: The Case of the Iberian Peninsula. Sustainability 2019, 11, 2369. [Google Scholar] [CrossRef]
- Zhang, J.; Xu, W.; Li, A.; Zheng, K.; Zhang, J. Modified method for evaluating improved technologies for indoor thermal environment of earth buildings. Build. Environ. 2018, 144, 673–681. [Google Scholar] [CrossRef]
- Fabbri, A.; Morel, J.C.; Aubert, J.-E.; Bui, Q.-B.; Gallipoli, D.; Ventura, A.; Reddy, V.B.V.; Hamard, E.; Pelé-Peltier, A.; Abhilash, H.N. An overview of the remaining challenges of the RILEM TC 274-TCE, testing and characterisation of earth-based building materials and elements. RILEM Tech. Lett. 2022, 6, 150–157. [Google Scholar] [CrossRef]
- Li, Q.; You, R.; Chen, C.; Yang, X. A field investigation and comparative study of indoor environmental quality in heritage Chinese rural buildings with thick rammed earth wall. Energy Build. 2013, 62, 286–293. [Google Scholar] [CrossRef]
- Mileto, C.; López-Manzanares, F.V. Earthen architectural heritage in the international context: Values, threats, conservation principles and strategies. J. Cult. Herit. Manag. Sustain. Dev. 2021, 12, 192–205. [Google Scholar] [CrossRef]
- Du, X.; Bokel, R.; Dobbelsteen, A.v.D. Building microclimate and summer thermal comfort in free-running buildings with diverse spaces: A Chinese vernacular house case. Build. Environ. 2014, 82, 215–227. [Google Scholar] [CrossRef]
- Ávila, F.; Puertas, E.; Gallego, R. Characterization of the mechanical and physical properties of stabilized rammed earth: A review. Constr. Build. Mater. 2022, 325, 126693. [Google Scholar] [CrossRef]
- Losini, A.; Grillet, A.; Bellotto, M.; Woloszyn, M.; Dotelli, G. Natural additives and biopolymers for raw earth construction stabilization—A review. Constr. Build. Mater. 2021, 304, 124507. [Google Scholar] [CrossRef]
- Giada, G.; Caponetto, R.; Nocera, F. Hygrothermal Properties of Raw Earth Materials: A Literature Review. Sustainability 2019, 11, 5342. [Google Scholar] [CrossRef]
- Desogus, G.; Di Benedetto, S.; Ricciu, R. The use of adaptive thermal comfort models to evaluate the summer performance of a Mediterranean earth building. Energy Build. 2015, 104, 350–359. [Google Scholar] [CrossRef]
- Fernandes, J.; Peixoto, M.; Mateus, R.; Gervásio, H. Life cycle analysis of environmental impacts of earthen materials in the Portuguese context: Rammed earth and compressed earth blocks. J. Clean. Prod. 2019, 241, 118286. [Google Scholar] [CrossRef]
- SL237-1999; Specification of Soil Test. Institute, N.H.R.: Beijing, China, 1999.
- Shang, J. Optimisation of Ecological Building Material Systems for Traditional Rammed Earth Dwellings. Ph.D. Thesis, Xi’an University of Architecture and Technology, Xi’an, China, 2005. [Google Scholar]
- Imanzadeh, S.; Hibouche, A.; Jarno, A.; Taibi, S. Formulating and optimizing the compressive strength of a raw earth concrete by mixture design. Constr. Build. Mater. 2018, 163, 149–159. [Google Scholar] [CrossRef]
- Jiang, B.; Wu, T.; Xia, W.; Liang, J. Hygrothermal performance of rammed earth wall in Tibetan Autonomous Prefecture in Sichuan Province of China. Build. Environ. 2020, 181, 107128. [Google Scholar] [CrossRef]
- Gao, Q.; Wu, T.; Liu, L.; Yao, Y.; Jiang, B. Prediction of Wall and Indoor Hygrothermal Properties of Rammed Earth Folk House in Northwest Sichuan. Energies 2022, 15, 1936. [Google Scholar] [CrossRef]
- Tan, J.; Liang, J.; Wan, L.; Jiang, B. Influence of Non-Constant Hygrothermal Parameters on Heat and Moisture Transfer in Rammed Earth Walls. Buildings 2022, 12, 1077. [Google Scholar] [CrossRef]
- Liu, D.; Zhao, H.; Liu, X.; He, Q. Testing the thermal conductivity of earth at different moisture contents and the effect on building energy consumption. J. Civ. Environ. Eng. 2017, 39, 20–25. [Google Scholar]
- Liang, J.; Tan, J.; Jiang, B. Thermal and humid environment of rammed-earth dwellings in Northwest Sichuan. Indoor Built Environ. 2022, 31, 645–656. [Google Scholar] [CrossRef]
- Khoudja, D.; Taallah, B.; Izemmouren, O.; Aggoun, S.; Herihiri, O.; Guettala, A. Mechanical and thermophysical properties of raw earth bricks incorporating date palm waste. Constr. Build. Mater. 2021, 270, 121824. [Google Scholar] [CrossRef]
- Alharbi, S.; Crepeau, J.; Rezaie, B.; Kumar, K. Temperature Dependence of Thermal Conductivity for Water Using the Transient Hot-Wire Method. J. Eng. Thermophys. 2022, 31, 78–97. [Google Scholar] [CrossRef]
- Strnad, J.; Vengar, A. Stefan’s measurement of the thermal conductivity of air. Eur. J. Phys. 1984, 5, 9. [Google Scholar] [CrossRef]
- Peleg, M. Assessment of a semi-empirical four parameter general model for sigmoid moisture sorption isotherms. J. Food Process. Eng. 1993, 16, 21–37. [Google Scholar] [CrossRef]
- Fernandes, J.; Mateus, R.; Gerv’asio, H.; Silva, S.M.; Bragança, L. Passive strategies used in Southern Portugal vernacularrammed earth buildings and their influence in thermal performance. Renew Energ. 2019, 142, 345–363. [Google Scholar] [CrossRef]
- Fernandes, J.; Silva, S.M.; Mateus, R.; Teixeira, E.R. Analysis of the thermal performance and comfort conditions of vernacular rammed earth architecture from Southern Portugal. In Encyclopedia of Renewable and Sustainable Materials; Hashmi, S., Choudhury, I.A., Eds.; Elsevier: Oxford, UK, 2020; pp. 1–10. [Google Scholar] [CrossRef]
























| Saturated Salt Solution | LiCl | MgCl2 | K2CO3 | NaBr | NaCl | KCl | K2SO4 |
|---|---|---|---|---|---|---|---|
| φ (%) | 11.31 | 32.78 | 43 | 57.8 | 75.3 | 84.3 | 97.3 |
| Days | 1 | 2 | 3 | 4 | 5 | 6 | 7 |
|---|---|---|---|---|---|---|---|
| Ext-wall | 33.79 | 34.15 | 34.47 | 34.58 | 34.77 | 35.19 | 34.75 |
| Mid-wall | 32.61 | 32.82 | 33.23 | 33.36 | 33.53 | 33.92 | 33.80 |
| Int-wall | 32.08 | 32.25 | 32.67 | 32.83 | 33.03 | 33.40 | 33.35 |
| Days | 1 | 2 | 3 | 4 | 5 | 6 | 7 |
|---|---|---|---|---|---|---|---|
| Time (h) | 5 | 8 | 6 | 4.5 | 3.5 | 5.5 | 3 |
| Days | 1 | 2 | 3 | 4 | 5 | 6 | 7 |
|---|---|---|---|---|---|---|---|
| Ext-wall | 6.13 | 6.08 | 6.40 | 7.15 | 5.86 | 6.31 | 8.14 |
| Mid-wall | 6.93 | 6.39 | 6.66 | 7.14 | 6.55 | 6.51 | 7.46 |
| Int-wall | 7.42 | 6.75 | 6.98 | 7.34 | 6.97 | 6.8 | 7.34 |
Disclaimer/Publisher’s Note: The statements, opinions and data contained in all publications are solely those of the individual author(s) and contributor(s) and not of MDPI and/or the editor(s). MDPI and/or the editor(s) disclaim responsibility for any injury to people or property resulting from any ideas, methods, instructions or products referred to in the content. |
© 2023 by the authors. Licensee MDPI, Basel, Switzerland. This article is an open access article distributed under the terms and conditions of the Creative Commons Attribution (CC BY) license (https://creativecommons.org/licenses/by/4.0/).
Share and Cite
Jiang, M.; Jiang, B.; Lu, R.; Chun, L.; Xu, H.; Yi, G. Thermal and Humidity Performance Test of Rammed-Earth Dwellings in Northwest Sichuan during Summer and Winter. Materials 2023, 16, 6283. https://doi.org/10.3390/ma16186283
Jiang M, Jiang B, Lu R, Chun L, Xu H, Yi G. Thermal and Humidity Performance Test of Rammed-Earth Dwellings in Northwest Sichuan during Summer and Winter. Materials. 2023; 16(18):6283. https://doi.org/10.3390/ma16186283
Chicago/Turabian StyleJiang, Maqi, Bin Jiang, Renzi Lu, Liang Chun, Hailun Xu, and Gaolin Yi. 2023. "Thermal and Humidity Performance Test of Rammed-Earth Dwellings in Northwest Sichuan during Summer and Winter" Materials 16, no. 18: 6283. https://doi.org/10.3390/ma16186283
APA StyleJiang, M., Jiang, B., Lu, R., Chun, L., Xu, H., & Yi, G. (2023). Thermal and Humidity Performance Test of Rammed-Earth Dwellings in Northwest Sichuan during Summer and Winter. Materials, 16(18), 6283. https://doi.org/10.3390/ma16186283

