Microstructure and Strength of Ti-6Al-4V Samples Additively Manufactured with TiC Heterogeneous Nucleation Site Particles
Abstract
1. Introduction
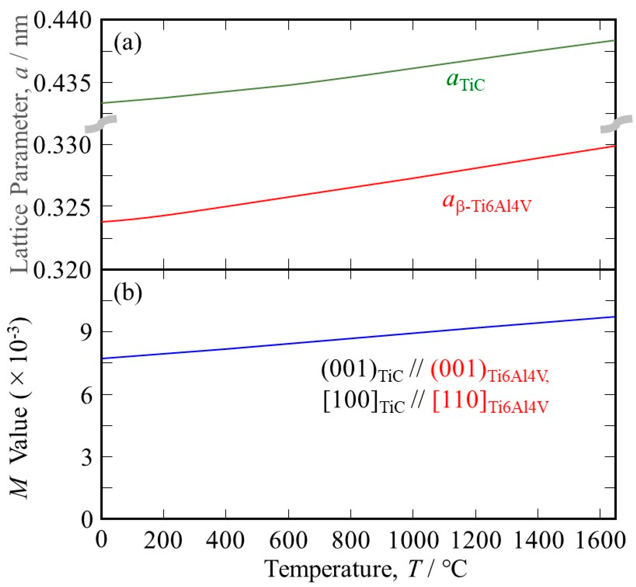
2. Lattice Matching between Heterogeneous Nucleation and the Crystallized Phase
+ 1.09 × 10−6 × (T + 273) − 7.11 × 10−4
3. Experimental Procedure
4. Results and Discussion
4.1. Powder
4.2. Microstructure of Fabricated Samples
4.3. Tensile Test
4.4. Single Track Test
5. Conclusions
- (1)
- The formation of pores can be reduced, and the relative density of the sample can be improved with the addition of TiC particles. Thus, the formability of AM can be improved with the addition of heterogeneous nucleation site particles.
- (2)
- A higher tensile strength, 0.2% proof stress, and total elongation of the sample fabricated with TiC particles were found. Moreover, the negative effects of TiC particles on fracture were small.
- (3)
- The surface conditions of the substrate were found to be strongly influenced by the formability of additive manufacturing.
- (4)
- One of the possible reasons for better formability with the addition of TiC particles during the additive manufacture of a Ti-6Al-4V sample is not by suppression of metal droplet formation but by decreasing the size of metal droplets.
- (5)
- The addition of TiC heterogeneous nucleation site particles can achieve an eco-AM process since the sample with the same quality can be fabricated under reduced input energy.
Author Contributions
Funding
Institutional Review Board Statement
Informed Consent Statement
Data Availability Statement
Acknowledgments
Conflicts of Interest
References
- Hagihara, K.; Nakano, T. Control of Anisotropic Crystallographic Texture in Powder Bed Fusion Additive Manufacturing of Metals and Ceramics—A Review. JOM 2022, 74, 1760–1773. [Google Scholar] [CrossRef]
- Chowdhury, S.; Yadaiah, N.; Prakash, C.; Ramakrishna, S.; Dixit, S.; Gupta, L.R.; Buddhi, D. Laser powder bed fusion: A state-of-the-art review of the technology, materials, properties & defects, and numerical modelling. J. Mater. Res. Technol. 2022, 20, 2109–2172. [Google Scholar] [CrossRef]
- Kyogoku, H.; Ikeshoji, T.-T. A review of metal additive manufacturing technologies: Mechanism of defects formation and simulation of melting and solidification phenomena in laser powder bed fusion process. Mech. Eng. Rev. 2020, 7, 19–00182. [Google Scholar] [CrossRef]
- Watanabe, Y.; Sato, M.; Chiba, T.; Sato, H.; Sato, N.; Nakano, S.; Suzuki, S. Effects of heterogeneous nucleation site particles on microstructure of additively manufactured Ti-6Al-4V alloy. J. Jpn. Laser Proc. Soc. 2019, 26, 46–50. [Google Scholar] [CrossRef]
- Watanabe, Y.; Sato, M.; Chiba, T.; Sato, H.; Sato, N.; Nakano, S. 3D Visualization of Top Surface Structure and Pores of 3D Printed Ti-6Al-4V Samples Manufactured with TiC Heterogeneous Nucleation Site Particles. Met. Mater. Trans. A 2020, 51, 1345–1352. [Google Scholar] [CrossRef]
- Watanabe, Y.; Sugano, H.; Chiba, T.; Sato, H.; Sato, N.; Nakano, S. Grain refinement of additively manufactured commercial purity aluminum by addition of TiC heterogeneous nucleation site particles. Keikinzoku/J. Jpn. Inst. Light Met. 2022, 72, 198–205. [Google Scholar] [CrossRef]
- Watanabe, Y.; Yuasa, T.; Sato, H.; Okubo, S.; Fujimaki, K. Grain refinement of stainless steel by strontium oxide heterogeneous nucleation site particles during laser-based powder bed fusion. J. Mater. Proc. Technol. 2022, 3808, 117700. [Google Scholar] [CrossRef]
- Wang, Y.; Yu, C.; Xing, L.; Li, K.; Chen, J.; Liu, W.; Ma, J.; Shen, Z. Grain structure and texture of the SLM single track. J. Mater. Proc. Technol. 2020, 281, 116591. [Google Scholar] [CrossRef]
- Nalivaiko, A.Y.; Ozherelkov, D.Y.; Pelevin, I.A.; Chernyshikhin, S.V.; Medvedev, A.E.; Korshunov, A.V.; Arnautov, A.N.; Gromov, A.A. Comprehensive Study of the 3D Printing of Single Tracks and Cubic Samples by Selective Laser Melting of AlSi10MgCu Alloy. Met. Mater. Int. 2022, 28, 787–801. [Google Scholar] [CrossRef]
- Kato, M.; Wada, M.; Sato, A.; Mori, T. Epitaxy of cubic crystals on (001) cubic substrates. Acta Met. 1989, 37, 749–756. [Google Scholar] [CrossRef]
- Kato, M. Invariant-Plane and Invariant-Line Deformation Criteria and Their Application to Interface Crystallography. Mater. Trans. JIM 1992, 33, 89–96. [Google Scholar] [CrossRef][Green Version]
- Watanabe, Y.; Zhou, Q.; Sato, H.; Fujii, T.; Inamura, T. Microstructures of Al–Al3Ti functionally graded materials fabricated by centrifugal solid-particle method and centrifugal in situ method. Jpn. J. Appl. Phys. 2017, 56, 01AG01. [Google Scholar] [CrossRef]
- Bramfitt, B.L. The effect of carbide and nitride additions on the heterogeneous nucleation behavior of liquid iron. Metall. Trans. 1970, 1, 1987–1994. [Google Scholar] [CrossRef]
- Watanabe, Y.; Mihara-Narita, M.; Sato, H. Grain Refinement of Cast Aluminum by Heterogeneous Nucleation Site Particles with High Lattice Matching. Mater. Trans. 2023, 64, 1083–1097. [Google Scholar] [CrossRef]
- Chen, Y.; Xu, C.; Hu, S.; Zhao, X.; Xiao, L.; Cai, Z. The thermodynamic stability and mechanical properties of TiC x N1−x (0 ≤ x ≤ 1) compounds by cluster expansion method and first-principles calculations. J. Phys. Condens. Matter 2021, 33, 155701. [Google Scholar] [CrossRef]
- Massalski, T.B. Editor-in-Chief: Binary Alloy Phase Diagrams, 2nd ed.; Plus updates on CD-ROM version 1.0; ASM International: Materials Park, OH, USA, 1996. [Google Scholar]
- Xia, Y.; Dong, H.; Zhang, R.; Wang, Y.; Hao, X.; Li, P.; Dong, C. Interfacial microstructure and shear strength of Ti6Al4V alloy/316 L stainless steel joint brazed with Ti33.3Zr16.7Cu50−xNix amorphous filler metals. Mater. Des. 2020, 187, 108380. [Google Scholar] [CrossRef]
- Schmidt, R.; Schlereth, M.; Wipf, H.; Assmus, W.; Mullner, M. Hydrogen solubility and diffusion in the shape-memory alloy NiTi. J. Physics Condens. Matter 1989, 1, 2473–2482. [Google Scholar] [CrossRef]
- Aoki, Y.; Nakamichi, T.; Yamamoto, M. Magnetic Properties of Cobalt-Titanium Alloys with the CsCl-Type Structure. J. Phys. Soc. Jpn. 1969, 27, 1455–1458. [Google Scholar] [CrossRef]
- Vassilev, G.P.; Liu, X.J.; Ishida, K. Reaction kinetics and phase diagram studies in the Ti–Zn system. J. Alloys Compd. 2004, 375, 162–170. [Google Scholar] [CrossRef]
- Heine, W.; Zwicker, U. Untersuchungen an Legierungen des Systems Zink-Titan. Int. J. Mater. Res. 1962, 53, 380–385. [Google Scholar] [CrossRef]
- Lengauer, W. Properties of bulk δ-TiN1-x prepared by nitrogen diffusion into titanium metal. J. Alloys Compd. 1992, 289, 293–307. [Google Scholar] [CrossRef]
- Lu, X.; Lin, X.; Chiumenti, M.; Cervera, M.; Hu, Y.; Ji, X.; Ma, L.; Yang, H.; Huang, W. Residual stress and distortion of rectangular and S-shaped Ti-6Al-4V parts by Directed Energy Deposition: Modelling and experimental calibration. Addit. Manuf. 2019, 26, 166–179. [Google Scholar] [CrossRef]
- Halevy, I.; Zamir, G.; Winterrose, M.; Sanjit, G.; Grandini, C.R.; Moreno-Gobbi, A. Crystallographic structure of Ti-6Al-4V, Ti-HP and Ti-CP under high-pressure. J. Phys. Conf. Ser. 2010, 215, 012013. [Google Scholar] [CrossRef]
- Burgers, W.G. On the process of transition of the cubic-body-centered modification into the hexagonal-close-packed modification of zirconium. Physica 1934, 1, 561–586. [Google Scholar] [CrossRef]
- Ogi, H.; Kai, S.; Ledbetter, H.; Tarumi, R.; Hirao, M.; Takashima, K. Titanium’s high-temperature elastic constants through the hcp–bcc phase transformation. Acta Mater. 2004, 52, 2075–2080. [Google Scholar] [CrossRef]
- Senkov, O.N.; Chakoumakos, B.C.; Jonas, J.J.; Froes, F.H. Effect of temperature and hydrogen concentration on the lattice parameter of beta titanium. Mater. Res. Bull. 2001, 36, 1431–1440. [Google Scholar] [CrossRef]
- Dang, D.Y.; Fan, J.L.; Gong, H.R. Thermodynamic and mechanical properties of TiC from ab initio calculation. J. Appl. Phys. 2014, 116, 033509. [Google Scholar] [CrossRef]
- Mayer-Laigle, C.; Gatumel, C.; Berthiaux, H. Mixing dynamics for easy flowing powders in a lab scale Turbula® mixer. Chem. Eng. Res. Des. 2015, 95, 248–261. [Google Scholar] [CrossRef]
- Watanabe, Y.; Taniai, S.; Sato, H. Fabrication of grain refiners with a high volume fraction of Al2.7Fe0.3Ti heterogeneous nucleation site particles by spark plasma sintering. Jpn. J. Appl. Phys. 2018, 58, SAAC04. [Google Scholar] [CrossRef]
- Mizukami, H.; Shirai, Y.; Kawakami, A.; Mitchell, A. Solidification Behavior of Ti-6Al-4V Alloy. ISIJ Int. 2020, 60, 2455–2461. [Google Scholar] [CrossRef]
- Date, N.; Yamamoto, S.; Watanabe, Y.; Sato, H.; Nakano, S.; Sato, N.; Suzuki, S. Effects of Solidification Conditions on Grain Refinement Capacity of TiC in Directionally Solidified Ti6Al4V Alloy. Met. Mater. Trans. A 2021, 52, 3609–3627. [Google Scholar] [CrossRef]
- Ishimoto, T.; Hagihara, K.; Hisamoto, K.; Sun, S.-H.; Nakano, T. Crystallographic texture control of beta-type Ti–15Mo–5Zr–3Al alloy by selective laser melting for the development of novel implants with a biocompatible low Young’s modulus. Scr. Mater. 2017, 132, 34–38. [Google Scholar] [CrossRef]
- Tabachnikova, E.D.; Podolskiy, A.V.; Bengus, V.Z.; Smirnov, S.N.; Bidylo, M.I.; Csach, K.; Miskuf, J.; Saitova, L.R.; Semenova, I.P.; Valiev, R.Z. Mechanical characteristics, failure regularities, and dimple structures on failure surfaces of Ti–6Al–4V ‘ELI’ ultrafine-grained alloy at temperatures from 300 to 4.2K. Mater. Sci. Eng. A 2009, 503, 106–109. [Google Scholar] [CrossRef]
- Shrestha, S.; Rauniyar, S.; Chou, K. Thermo-Fluid Modeling of Selective Laser Melting: Single-Track Formation Incorporating Metallic Powder. J. Mater. Eng. Perform. 2019, 28, 611–619. [Google Scholar] [CrossRef]
- Li, R.; Liu, J.; Shi, Y.; Wang, L.; Jiang, W. Balling behavior of stainless steel and nickel powder during selective laser melting process. Int. J. Adv. Manuf. Technol. 2012, 59, 1025–1035. [Google Scholar] [CrossRef]


















| Crystal Structure | Melting Point, TM/°C | Lattice Parameter at RT, a/nm | Parameter M | |
|---|---|---|---|---|
| TiFe | CsCl | 1317 [16] | 0.298 [17] | 17.7 × 10−3 |
| TiNi | CsCl | 1310 [16] | 0.3015 [18] | 12.9 × 10−3 |
| TiCo | CsCl | 1325 [16] | 0.2995 [19] | 15.2 × 10−3 |
| TiZn | CsCl | ~950 [20] | 0.315 [21] | 2.1 × 10−3 |
| TiC | NaCl | 3067 [16] | 0.4333 [15] | 8.3 × 10−3 |
| TiN | NaCl | 3290 [16] | 0.4241 [22] | 14.8 × 10−3 |
| Ti-6Al-4V | bcc/hcp | 1650 [16] | 0.324 |
| Al | V | C | O | N | H | Fe | Si |
|---|---|---|---|---|---|---|---|
| 6.44 | 4.02 | 0.015 | 0.11 | 0.02 | 0.0024 | 0.19 | 0.013 |
| Energy Density | Pre-AMed Plate | |
|---|---|---|
| w/o Pre-AMed Plate | with Pre-AMed Plate | |
| 37.8 J/mm3 | 68% power single track w/o pre-AMed plate | 68% power single track with pre-AMed plate |
| 13.9 J/mm3 | 25% power single track w/o pre-AMed plate | 25% power single track with pre-AMed plate |
| Sample | 100% w/o TiC | 100% with TiC | 90% with TiC | 75% with TiC |
|---|---|---|---|---|
| Relative density | 99.96 | 99.98 | 99.99 | 99.98 |
Disclaimer/Publisher’s Note: The statements, opinions and data contained in all publications are solely those of the individual author(s) and contributor(s) and not of MDPI and/or the editor(s). MDPI and/or the editor(s) disclaim responsibility for any injury to people or property resulting from any ideas, methods, instructions or products referred to in the content. |
© 2023 by the authors. Licensee MDPI, Basel, Switzerland. This article is an open access article distributed under the terms and conditions of the Creative Commons Attribution (CC BY) license (https://creativecommons.org/licenses/by/4.0/).
Share and Cite
Watanabe, Y.; Yamada, S.; Chiba, T.; Sato, H.; Miura, S.; Abe, K.; Kato, T. Microstructure and Strength of Ti-6Al-4V Samples Additively Manufactured with TiC Heterogeneous Nucleation Site Particles. Materials 2023, 16, 5974. https://doi.org/10.3390/ma16175974
Watanabe Y, Yamada S, Chiba T, Sato H, Miura S, Abe K, Kato T. Microstructure and Strength of Ti-6Al-4V Samples Additively Manufactured with TiC Heterogeneous Nucleation Site Particles. Materials. 2023; 16(17):5974. https://doi.org/10.3390/ma16175974
Chicago/Turabian StyleWatanabe, Yoshimi, Shintaro Yamada, Tadachika Chiba, Hisashi Sato, Seiji Miura, Kenshiro Abe, and Tomotsugu Kato. 2023. "Microstructure and Strength of Ti-6Al-4V Samples Additively Manufactured with TiC Heterogeneous Nucleation Site Particles" Materials 16, no. 17: 5974. https://doi.org/10.3390/ma16175974
APA StyleWatanabe, Y., Yamada, S., Chiba, T., Sato, H., Miura, S., Abe, K., & Kato, T. (2023). Microstructure and Strength of Ti-6Al-4V Samples Additively Manufactured with TiC Heterogeneous Nucleation Site Particles. Materials, 16(17), 5974. https://doi.org/10.3390/ma16175974

