Mechanical Properties Variation in Wood—Plastic Composites with a Mixed Wood Fiber Size
Abstract
:1. Introduction
2. Materials and Methods
2.1. Materials
2.2. Preparation of Composites
2.3. Surface Observation of Different Wood–Plastic Composites Prepared
2.4. Mechanical Property Test
- (1)
- Flexural tests: Rectangular specimens with a length of 80 mm, width of 13 mm, and thickness of 4 mm were tested for flexural strength and modulus on an RGT-20A universal testing machine (Shenzhen, China). The test method and procedure were based on the standard ASTM D 790–03. The tensile testing speed was 5 mm/min, with a span of 64 mm. Each test was repeated six times.
- (2)
- Tensile tests: Dumbbell-shaped specimens with a length of 165 mm, width of 20 mm, and thickness of 4 mm (measuring 12.7 mm in width in the narrowest portion) were tested for tensile strength and modulus on an RGT-20A universal testing machine (Shenzhen, China). The test method and procedure were based on the standard ASTM D-638. Six replicate tests were conducted.
- (3)
- Unnotched Izod impact tests: Rectangular specimens with a length of 60 mm, width of 10 mm, and thickness of 4 mm were tested and performed at the impact speed of 2.9 m/s on samples with a span of 60 mm. The impact energy was 2 J. Ten replicate tests were performed.
- (4)
- Statistical analysis: One-way analysis of variance (ANOVA) was performed to evaluate the statistical significance (p < 0.05) between the values of mechanical properties of WPCs with different sizes of wood fiber, and SPSS (Statistical Package for Social Sciences, version 19) software was used for statistics.
- (5)
- Dynamic mechanical analysis: Rectangular specimens with a length of 40 mm, width of 10 mm, and thickness of 3 mm were tested on DMA-242 dynamic thermo-mechanical analyzer produced by NETZSH (Selb, Germany). Temperature spectrum scanning was carried out under the conditions of a three-point bending mode, frequency of 1 Hz, temperature ranges from −70 °C to 200 °C, and heating rate of 5 °C/min. Two replicate tests were conducted.
2.5. Mechanical Model Establishment and Application
3. Results and Discussion
3.1. Surface Morphology of WPCs
3.2. Mechanical Properties of WPCs
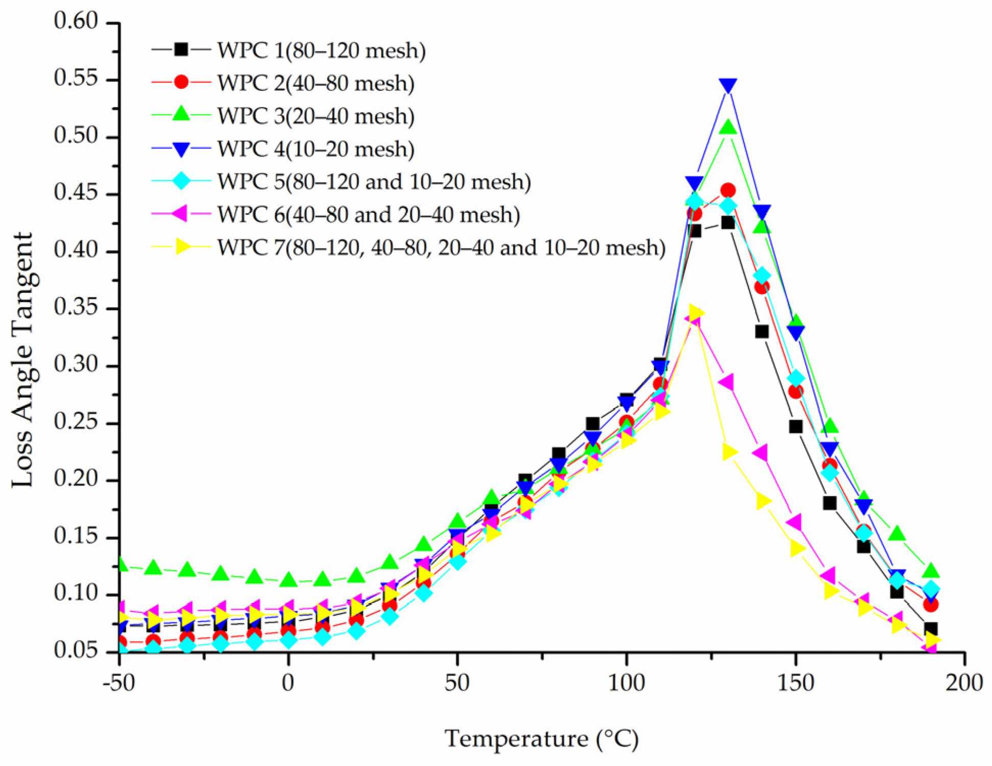
3.3. Dynamic Mechanical Properties of WPCs
3.4. Comparison between Modeled Values and Measured Values of Mechanical Properties
4. Conclusions
Author Contributions
Funding
Informed Consent Statement
Data Availability Statement
Conflicts of Interest
References
- Fu, H.T.; Dun, M.Y.; Wang, H.G.; Zou, C.W.; Wang, L.M.; Zhou, Z.F.; Wang, W.H.; Xie, Y.J.; Wang, Q.W. Characterization of the structural rheological properties of wood flour–polyethylene composites with ultrahigh filling on the basis of uniaxial cyclic compression method. Compos. Part A Appl. Sci. Manuf. 2022, 153, 106724. [Google Scholar] [CrossRef]
- Rowell, R.M. Challenges in biomass–thermoplastic composites. J. Polym. Environ. 2007, 15, 229–235. [Google Scholar] [CrossRef]
- Murad, A.; Sirahbizu, B. Experimental study on the effect of Cordia africana’s and Austria pine’s wood species on the performance of wood plastic composite. Compos. Adv. Mater. 2022, 31, 26349833221105522. [Google Scholar] [CrossRef]
- Effah, B.; Van Reenen, A.; Meincken, M. Mechanical properties of wood-plastic composites made from various wood species with different compatibilisers. Eur. J. Wood Wood Prod. 2018, 76, 57–68. [Google Scholar] [CrossRef]
- Arya, S.; Kumar, R.; Chauhan, S.; Kelkar, B.U. Development of natural fiber reinforced thermoplastic bonded hybrid wood veneer composite. Constr. Build. Mater. 2023, 368, 130459. [Google Scholar] [CrossRef]
- Zhou, Y.H.; Hui, D.; Wang, Y.X.; Fan, M.Z. Nanomechanical and dynamic mechanical properties of rubber-wood-plastic composites. Nanotechnol. Rev. 2022, 11, 167–175. [Google Scholar] [CrossRef]
- Jiang, T.J.; Hu, C.; Zeng, G.S. Effect of compression parameters on stress relaxation behavior of bamboo fiber reinforced polypropylene composites. Polym. Compos. 2022, 43, 2584–2592. [Google Scholar] [CrossRef]
- Zhang, C.X.; Liu, M.Y.; Zeng, Y.; Zhang, S.L.; Yao, W.X. Research on preparation and long-acting water absorption properties of wood flour/ HDPE modified composites. J. Funct. Mater. 2015, 46, 11118–11121. [Google Scholar] [CrossRef]
- Zhang, J.; Park, C.B.; Rizvi, G.M.; Huang, H.; Guo, Q. Investigation on the uniformity of high-density polyethylene/wood fiber composites in a twin-screw extruder. J. Appl. Polym. 2009, 113, 2081–2089. [Google Scholar] [CrossRef]
- Lee, C.L.; Chin, K.L.; H’ng, P.S.; Khoo, P.S.; Hafizuddin, M.S. Characterisation of polypropylene composite reinforced with chemi-thermomechanical pulp from oil palm trunk via injection moulding process. Polymers 2023, 5, 1338. [Google Scholar] [CrossRef]
- Stark, N.M.; Rowlands, R.E. Effects of wood fiber characteristics on mechanical properties of wood/polypropylene composites. Wood Fiber Sci. 2003, 35, 167–174. [Google Scholar] [CrossRef]
- Garkhail, S.K.; Heijenrath, R.W.H.; Peijs, T. Mechanical properties of natural-fibre-mat-reinforced thermoplastics based on flax fibres and polypropylene. Appl. Compos. Mater. 2000, 7, 351–372. [Google Scholar] [CrossRef]
- Leu, S.Y.; Yang, T.H.; Lo, S.F.; Yang, T.H. Optimized material composition to improve the physical and mechanical properties of extruded wood–plastic composites (WPCs). Constr. Build. Mater. 2012, 29, 120–127. [Google Scholar] [CrossRef]
- Armin, T.; Alan, R.D. The influence of fibre length and damage on the mechanical performance of polypropylene/wood pulp composites. Compos. Part A Appl. Sci. Manuf. 2013, 46, 45–52. [Google Scholar] [CrossRef]
- Wang, W.H.; Wang, J.J.; Huang, H.B.; Sui, S.J.; Wang, Q.W. Effects of wood fiber size on properties of wood fiber/HDPE composites after aging. Polym. Mater. Sci. Eng. 2014, 30, 92–97. [Google Scholar] [CrossRef]
- Yan, J.Y.; Demirci, E.; Gleadall, A. Are classical fibre composite models appropriate for material extrusion additive manufacturing? A thorough evaluation of analytical models. Addit. Manuf. 2023, 62, 103371. [Google Scholar] [CrossRef]
- Serrano, A.; Espinach, F.X.; Tresserras, J.; del Rey, R.; Pellicer, N.; Mutje, P. Macro and micromechanics analysis of short fiber composites stiffness: The case of old newspaper fibers-polypropylene composites. Mater. Des. 2014, 55, 319–324. [Google Scholar] [CrossRef]
- Venkatarajan, S.; Subbu, C.; Athijayamani, A.; Sivagami, S.M. Effects of fiber content and its chemical treatment on the mechanical properties of screw pine fiber reinforced vinyl ester composite. Mater. Res. Express 2022, 9, 065308. [Google Scholar] [CrossRef]
- Lim, J.Y.; Kim, H.W.; Park, M.W. Effect of interphase parameters on elastic modulus prediction for cellulose nanocrystal fiber reinforced polymer composite. Sci. Eng. Compos. Mater. 2020, 27, 226–235. [Google Scholar] [CrossRef]
- Jain, D.; Mukherjee, A. Three-dimensional hygromechanical analysis of fibre polymer composites: Effect of boundary conditions. Compos. B Eng. 2016, 90, 203–211. [Google Scholar] [CrossRef]
- Wang, J.; Feng, Y.J.; Zhao, G.; Yang, L.W.; Xu, J. Effect of elastic and thermal mismatch on push-in mechanism and shear strength measurement of fiber/matrix interface. Compos. Interfaces 2020, 27, 921–935. [Google Scholar] [CrossRef]
- Hine, P.J.; Gusev, A.A. Validating a micromechanical modelling scheme for predicting the five independent viscoelastic constants of unidirectional carbon fibre composites. Int. J. Eng. Sci. 2019, 144, 103133. [Google Scholar] [CrossRef]
- Yang, H.S.; Qiao, P.Z.; Wolcott, M.P. Fatigue characterization and reliability analysis of wood flour filled polypropylene composites. Polym. Compos. 2010, 31, 553–560. [Google Scholar] [CrossRef]
- Shuvo, I.I.; Hoque, M.S.; Shadhin, M.; Khandakar, L.K.M. Flexural strength and load-deflection behaviour of hybrid thermoset composites of wood and canola biopolymers. Adv. Fiber Mater. 2021, 3, 331–346. [Google Scholar] [CrossRef]
- Wang, W.H.; Cao, Y.; Wang, Q.W. Progress of mechanical model for wood-plastic composites. Polym. Mater. Sci. Eng. 2012, 28, 179–182. [Google Scholar] [CrossRef]
- Cao, Y.; Wang, W.H.; Wang, Q.W.; Wang, H.G. Application of mechanical models to flax Fiber / wood flour / plastic composites. Bioresources 2013, 8, 3276–3288. [Google Scholar] [CrossRef]
- Fukuda, H.; Chou, T.W. A probabilistic theory for the strength of short fibre composites. J. Mater. Sci. 1981, 16, 1088–1096. [Google Scholar] [CrossRef]
- Migneault, S.; Koubaa, A.; Erchiqui, F.; Chaala, A.; Englund, K.; Wolcott, P.M. Application of micromechanical models to tensile properties of wood–plastic composites. Wood Sci. Technol. 2010, 45, 521–532. [Google Scholar] [CrossRef]
- Ya, B.; Zhou, B.W.; Huang, B.K.; Jia, F.; Ding, X.; Ren, Z.Y.; Zhang, X.G. The research progress in predicting the elastic modulus of carbon nanotubes reinforced polymer composites. Funct. Mater. 2015, 46, 11001–11005. [Google Scholar] [CrossRef]
- Thomason, J.L.; Rudeiros-Fernandez, J.L. Modelling the influence of fibre internal structure on the measured modulus of technical natural fibre. Compos. Part A Appl. Sci. Manuf. 2021, 147, 106478. [Google Scholar] [CrossRef]
- Bouafif, H.; Koubaa, A.; Perré, P.; Cloutier, A. Effects of fiber characteristics on the physical and mechanical properties of wood plastic composites. Compos. Part A Appl. Sci. Manuf. 2009, 40, 1975–1981. [Google Scholar] [CrossRef]
- Murayama, K.; Ueno, T.; Kobori, H.; Kojima, Y.; Suzuki, S.; Aoki, K.; Ito, H.; Ogoe, S.; Okamoto, M. Mechanical properties of wood/plastic composites formed using wood flour produced by wet ball-milling under various milling times and drying methods. J. Wood Sci. 2019, 65, 5. [Google Scholar] [CrossRef]
- Gallagher, L.W.; McDonald, A.G. The effect of micron sized wood fibers in wood plastic composites. Maderas-Cienc. Tecnol. 2013, 15, 357–374. [Google Scholar] [CrossRef]
- Chihaoui, B.; Serra-Parareda, F.; Tarrés, Q.; Espinach, F.X.; Boufi, S.; Delgado-Aguilar, M. Effect of the fiber treatment on the stiffness of date palm fiber reinforced PP composites: Macro and micromechanical evaluation of the Young’s modulus. Polymers 2020, 12, 1693. [Google Scholar] [CrossRef] [PubMed]







| No. | HDPE | Additives | Wood Fiber | |||
|---|---|---|---|---|---|---|
| 0.850–2.000 mm (10–20 Mesh) | 0.425–0.850 mm (20–40 Mesh) | 0.180–0.425 mm (40–80 Mesh) | 0.125–0.180 mm (80–120 Mesh) | |||
| WPC 1 | 36 | 4 | - | - | - | 60 |
| WPC 2 | 36 | 4 | - | - | 60 | - |
| WPC 3 | 36 | 4 | - | 60 | - | - |
| WPC 4 | 36 | 4 | 60 | - | - | - |
| WPC 5 | 36 | 4 | 30 | - | - | 30 |
| WPC 6 | 36 | 4 | - | 30 | 30 | - |
| WPC 7 | 36 | 4 | 15 | 15 | 15 | 15 |
| Test | Wood Fiber Size (Mesh Size) | Flexure Test | Tensile Test | Impact Test | ||
|---|---|---|---|---|---|---|
| Strength σF (MPa) | Modulus EF (GPa) | Strength σT (MPa) | Modulus ET (GPa) | Strength σI (kJ/m2) | ||
| 1 | 80–120 | 67.39 d (0.14) | 3.83 d (0.25) | 37.69 d (0.63) | 3.35 d (0.70) | 15.78 ab (1.04) |
| 2 | 40–80 | 70.44 c (0.95) | 5.76 a (0.07) | 40.49 c (1.07) | 3.45 cd (0.35) | 14.29 c (1.31) |
| 3 | 20–40 | 73.43 a (1.00) | 5.48 a (0.11) | 46.48 a (0.54) | 3.66 bcd (0.87) | 14.79 bc (0.81) |
| 4 | 10–20 | 71.14 bc (1.05) | 5.12 b (0.09) | 41.63 b (0.76) | 3.46 cd (0.74) | 12.18 d (0.87) |
| 5 | 80–120 and 10–20 | 70.30 c (0.75) | 4.85 c (0.06) | 43.51 a (0.47) | 4.78 a (0.41) | 13.97 c (0.87) |
| 6 | 40–80 and 20–40 (20–80) | 74.16 a (0.89) | 5.35 a (0.06) | 48.27 a (0.77) | 4.30 abc (1.18) | 15.55 ab (0.73) |
| 7 | 10–20, 20–40, 40–80, and 80–120 (10–120) | 71.70 b (1.27) | 5.08 b (0.09) | 45.81 a (0.37) | 4.57 ab (0.31) | 16.08 a (1.11) |
| Test | Mesh Size of the Wood Fiber | Flexure Test | Tensile Test | Impact Test | ||||
|---|---|---|---|---|---|---|---|---|
| Strength σF (MPa) | Modulus EF (GPa) | Strength σT (MPa) | Modulus ET (GPa) | Strength σI (kJ/m2) | ||||
| 5 | 80–120 and 10–20 | Experimental Value | 70.30 | 4.85 | 43.51 | 4.78 | 13.97 | |
| Fitted Value | ROM | 69.27 | 4.48 | 39.66 | 3.51 | 13.98 | ||
| IROM | 69.21 | 4.38 | 39.56 | 3.50 | 13.75 | |||
| Hirsch | 69.23 | 4.42 | 39.60 | 3.50 | 13.84 | |||
| 6 | 40–80 and 20–40 (20–80) | Experimental Value | 74.16 | 5.35 | 48.27 | 4.30 | 15.55 | |
| Fitted Value | ROM | 71.94 | 5.62 | 43.49 | 3.46 | 14.54 | ||
| IROM | 71.90 | 5.62 | 43.28 | 3.45 | 14.53 | |||
| Hirsch | 71.92 | 5.62 | 43.36 | 3.45 | 14.54 | |||
| 7 | 10–20, 20–40, 40–80, and 80–120 (10–120) | Experimental Value | 71.70 | 5.08 | 45.81 | 4.57 | 16.08 | |
| Fitted Value | ROM | 72.23 | 5.10 | 45.89 | 4.54 | 14.38 | ||
| IROM | 72.18 | 5.09 | 45.77 | 4.53 | 14.37 | |||
| Hirsch | 72.20 | 5.09 | 45.82 | 4.53 | 14.37 | |||
| Mechanical Properties | ROM | IROM | Hirsch | |
|---|---|---|---|---|
| Flexural Properties | Strength σF (MPa) | 6.303 | 6.498 | 6.418 |
| Modulus EF (GPa) | 0.214 | 0.290 | 0.258 | |
| Tensile Properties | Strength σT (MPa) | 37.725 | 40.500 | 39.374 |
| Modulus ET (GPa) | 2.341 | 2.359 | 2.352 | |
| Impact Strength | Strength σI (kJ/m2) | 2.948 | 3.038 | 2.989 |
| Mechanical Properties | ROM | IROM | Hirsch | |
|---|---|---|---|---|
| Flexural Properties | Strength σF (MPa) | 0.088497 | 0.091235 | 0.090112 |
| Modulus EF (GPa) | 0.042233 | 0.057231 | 0.050916 | |
| Tensile Properties | Strength σT (MPa) | 0.869011 | 0.932934 | 0.906996 |
| Modulus ET (GPa) | 0.594378 | 0.598948 | 0.597171 | |
| Impact Strength | Strength σI (kJ/m2) | 0.201052 | 0.207190 | 0.203848 |
| Mechanical Properties | ROM | IROM | Hirsch | |
|---|---|---|---|---|
| Flexural Properties | Strength σF (MPa) | 0.327956 | 0.338103 | 0.333941 |
| Modulus EF (GPa) | 0.280842 | 0.380576 | 0.338582 | |
| Tensile Properties | Strength σT (MPa) | 0.320794 | 0.344391 | 0.334816 |
| Modulus ET (GPa) | 0.331963 | 0.334515 | 0.333522 | |
| Impact Strength | Strength σI (kJ/m2) | 0.328468 | 0.338496 | 0.333036 |
Disclaimer/Publisher’s Note: The statements, opinions and data contained in all publications are solely those of the individual author(s) and contributor(s) and not of MDPI and/or the editor(s). MDPI and/or the editor(s) disclaim responsibility for any injury to people or property resulting from any ideas, methods, instructions or products referred to in the content. |
© 2023 by the authors. Licensee MDPI, Basel, Switzerland. This article is an open access article distributed under the terms and conditions of the Creative Commons Attribution (CC BY) license (https://creativecommons.org/licenses/by/4.0/).
Share and Cite
Xu, H.; Yang, Y.; Li, L.; Liu, B.; Fu, X.; Yang, X.; Cao, Y. Mechanical Properties Variation in Wood—Plastic Composites with a Mixed Wood Fiber Size. Materials 2023, 16, 5801. https://doi.org/10.3390/ma16175801
Xu H, Yang Y, Li L, Liu B, Fu X, Yang X, Cao Y. Mechanical Properties Variation in Wood—Plastic Composites with a Mixed Wood Fiber Size. Materials. 2023; 16(17):5801. https://doi.org/10.3390/ma16175801
Chicago/Turabian StyleXu, Hailong, Yang Yang, Lifen Li, Baoyu Liu, Xiubo Fu, Xiaohui Yang, and Yan Cao. 2023. "Mechanical Properties Variation in Wood—Plastic Composites with a Mixed Wood Fiber Size" Materials 16, no. 17: 5801. https://doi.org/10.3390/ma16175801
APA StyleXu, H., Yang, Y., Li, L., Liu, B., Fu, X., Yang, X., & Cao, Y. (2023). Mechanical Properties Variation in Wood—Plastic Composites with a Mixed Wood Fiber Size. Materials, 16(17), 5801. https://doi.org/10.3390/ma16175801

