Experimental Study on the Dilatancy and Energy Evolution Behaviors of Red-Bed Rocks under Unloading Conditions
Abstract
1. Introduction
2. Materials and Methods
2.1. Specimen Preparation
2.2. Experimental Equipment and Test Scheme
3. Results
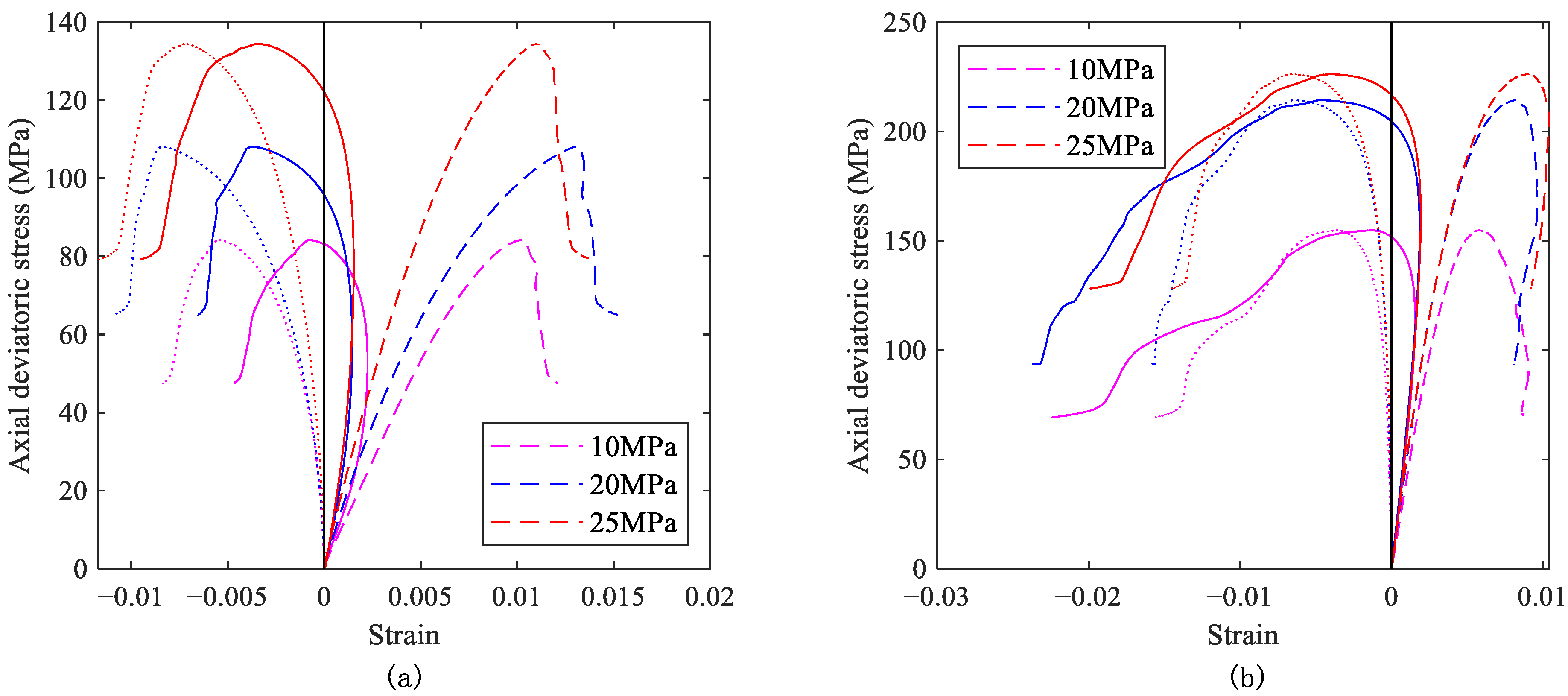
3.1. Stress–Strain Relationship
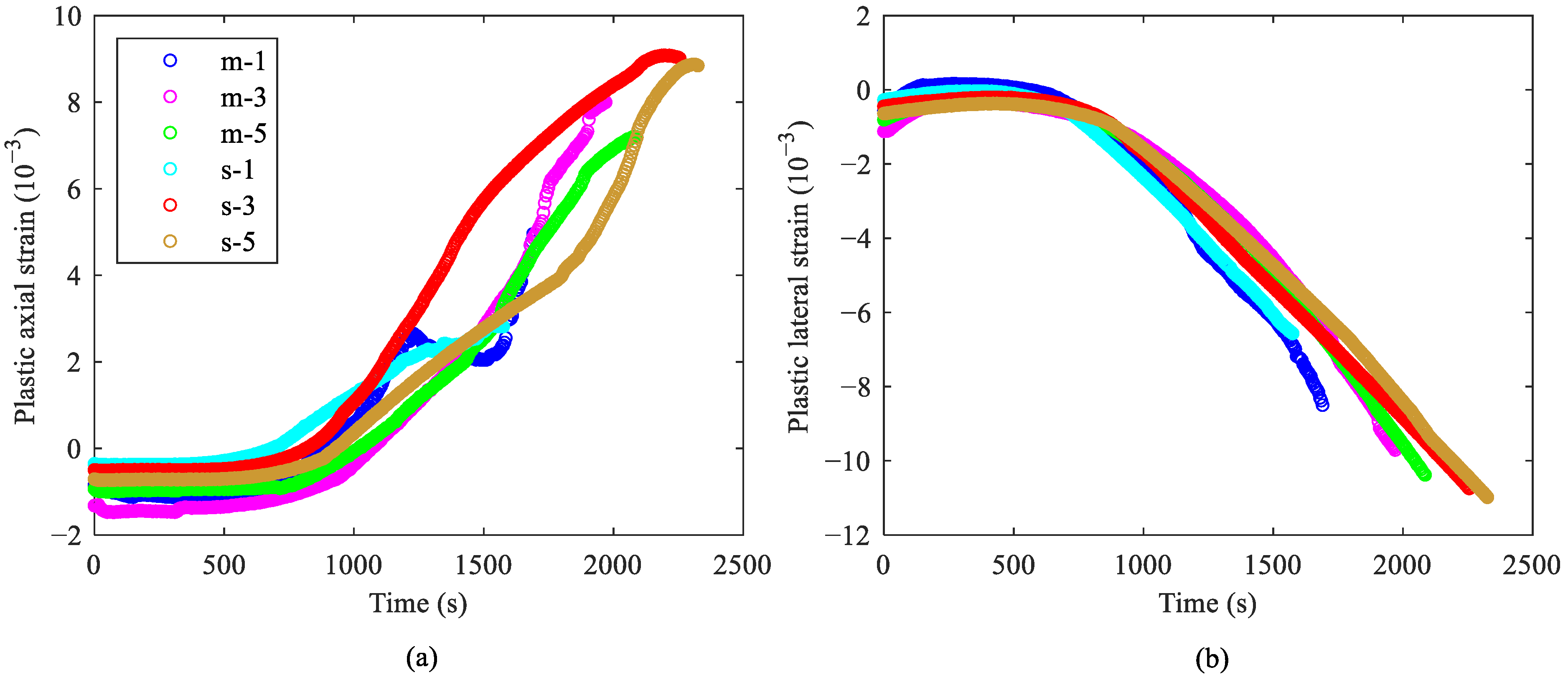
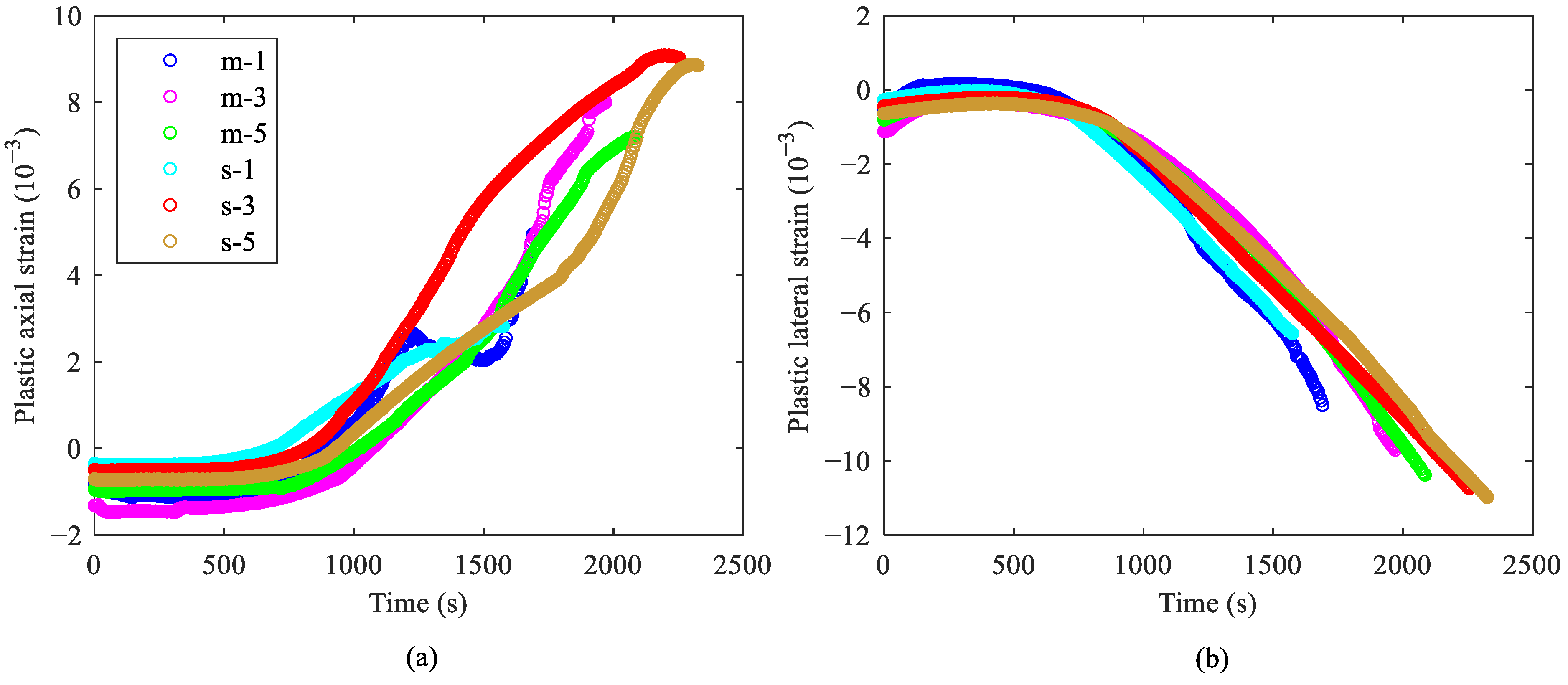
3.2. Plastic Deformation and Dilatancy Behaviors
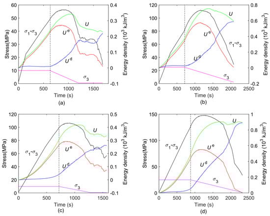
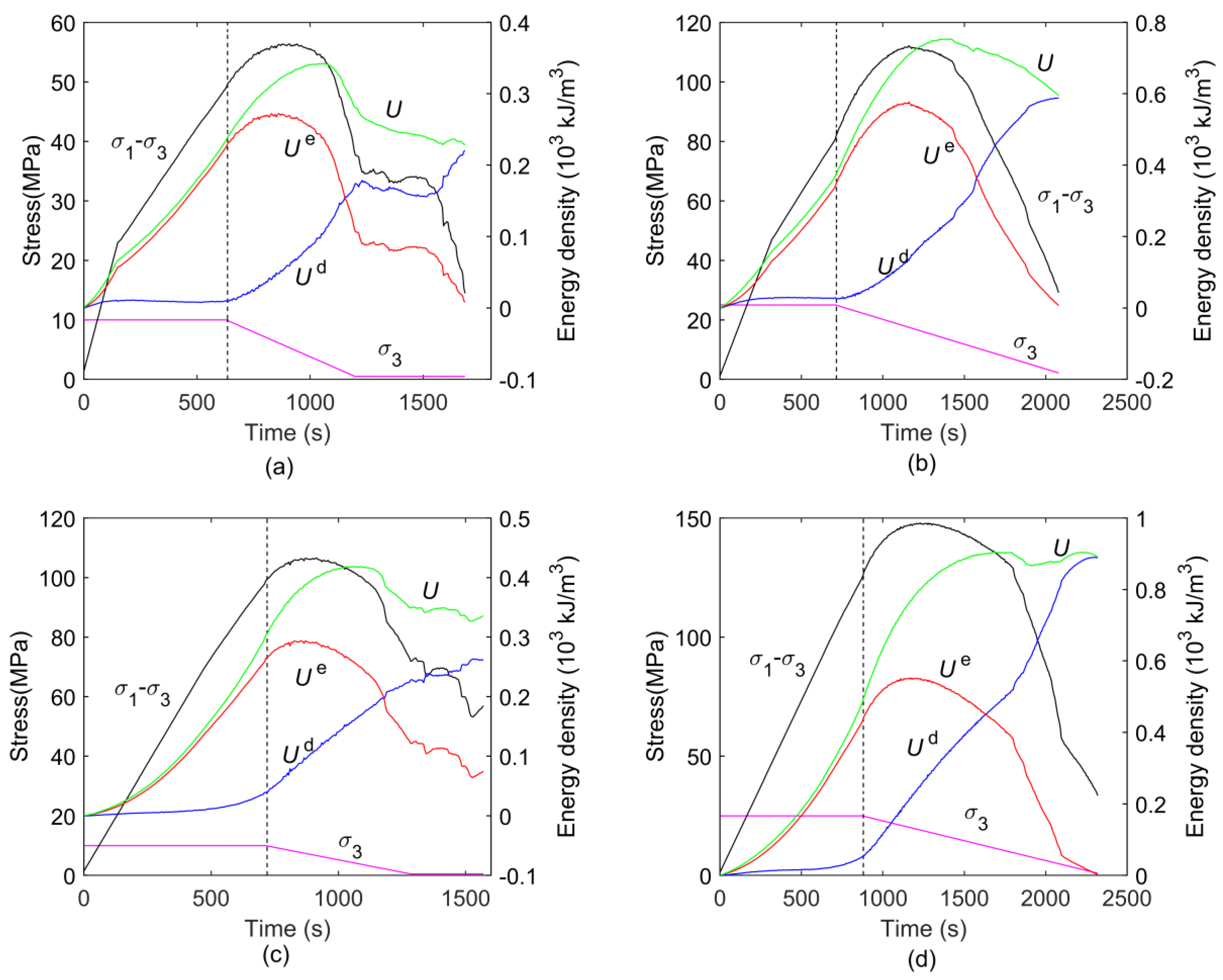
3.3. Energy Conversion under Unloading Conditions
4. Discussion

5. Conclusions
Author Contributions
Funding
Data Availability Statement
Acknowledgments
Conflicts of Interest
References
- Dolezalova, M. Tunnel complex unloaded by a deep excavation. Comput. Geotech. 2001, 28, 469–493. [Google Scholar] [CrossRef]
- Liu, Z.L.; Yi, W. Experimental Study on the Mechanical Characteristics of Saturated Granite under Conventional Triaxial Loading and Unloading Tests. Sustainability 2022, 14, 5445. [Google Scholar] [CrossRef]
- Zhao, Y.; Dang, S.; Bi, J.; Wang, C.L.; Gan, F.; Li, J.S. Energy Evolution Characteristics of Sandstones during Confining Pressure Cyclic Unloading Conditions. Rock Mech. Rock Eng. 2023, 56, 953–972. [Google Scholar] [CrossRef]
- Handin, J.; Hager, J. Experimental deformation of sedimentary rocks under confining pressure: Tests at room temperature on dry samples. Bull. Am. Assoc. Pet. Geol. 1957, 41, 1–50. [Google Scholar]
- Brace, W.F.; Paulding, B.W.; Scholz, C. Dilatancy in the Fracture of Crystalline rocks. J. Geophys. Res. 1966, 71, 3939–3953. [Google Scholar] [CrossRef]
- Zhao, H.G.; Liu, C.; Huang, G. Dilatancy behaviour and permeability evolution of sandstone subjected to initial confining pressures and unloading rates. Roy. Soc. Open Sci. 2021, 8, 201792. [Google Scholar] [CrossRef]
- Mas, D.; Chemenda, A.I. An experimentally constrained constitutive model for geomaterials with simple friction-dilatancy relation in brittle to ductile domains. Int. J. Rock Mech. Min. 2015, 77, 257–264. [Google Scholar] [CrossRef]
- Alkan, H.; Cinar, Y.; Pusch, G. Rock salt dilatancy boundary from combined acoustic emission and triaxial compression tests. Int. J. Rock Mech. Min. 2007, 44, 108–119. [Google Scholar] [CrossRef]
- Tkalich, D.; Fourmeau, M.; Kane, A.; Li, C.C.; Cailletaud, G. Experimental and numerical study of Kuru granite under confined compression and indentation. Int. J. Rock Mech. Min. 2016, 87, 55–68. [Google Scholar] [CrossRef]
- Walton, G. Scale Effects Observed in Compression Testing of Stanstead Granite Including Post-peak Strength and Dilatancy. Geotech. Geol. Eng. 2018, 36, 1091–1111. [Google Scholar] [CrossRef]
- Chen, C.; Liu, L.P.; Cong, Y. Experimental Investigation on Deformation and Strength Behavior of Marble with the Complex Loading-Unloading Stress Path. Adv. Civ. Eng. 2020, 2020, 8853044. [Google Scholar] [CrossRef]
- Chen, Y.; Guo, W.B.; Zuo, J.P.; Heng, S.; Dou, R. Effect of Triaxial Loading and Unloading on Crack Propagation and Damage Behaviors of Sandstone: An Experimental Study. Rock Mech. Rock Eng. 2021, 54, 6077–6090. [Google Scholar] [CrossRef]
- Zhou, H.; Hu, D.W.; Zhang, F.; Shao, J.F.; Feng, X.T. Laboratory Investigations of the Hydro-Mechanical-Chemical Coupling Behaviour of Sandstone in CO2 Storage in Aquifers. Rock Mech. Rock Eng. 2016, 49, 417–426. [Google Scholar] [CrossRef]
- Vasyliev, L.; Malich, M.; Vasyliev, D.; Katan, V.; Rizo, Z. Improving a technique to calculate strength of cylindrical rock samples in terms of uniaxial compression. Min. Miner. Deposits 2023, 17, 43–50. [Google Scholar] [CrossRef]
- Lin, S.Q.; Tan, D.Y.; Yin, J.H.; Li, H. A Novel Approach to Surface Strain Measurement for Cylindrical Rock Specimens Under Uniaxial Compression Using Distributed Fibre Optic Sensor Technology. Rock Mech. Rock Eng. 2021, 54, 6605–6619. [Google Scholar] [CrossRef]
- Reynolds, O. On the Dilatancy of Media composed of Rigid Particles in Contact. With Experimental Illustrations. Philos. Mag. J. Sci. 1885, 20, 469–481. [Google Scholar] [CrossRef]
- Yoshinaka, R.; Osada, M.; Tran, T.V. Deformation behaviour of soft rocks during consolidated-undrained cyclic triaxial testing. Int. J. Rock Mech. Min. Sci. Geomech. Abstr. 1996, 33, 557–572. [Google Scholar] [CrossRef]
- Yoshinaka, R.; Tran, T.V.; Osada, M. Non-linear, stress- and strain-dependent behavior of soft rocks under cyclic triaxial conditions. Int. J. Rock Mech. Min. 1998, 35, 941–955. [Google Scholar] [CrossRef]
- Vermeer, P.A.; de Borst, R. Non-associated plasticity for soils, concrete and Rock. In Physics of Dry Granular Media; Springer: Berlin/Heidelberg, Germany, 1984; p. 29. [Google Scholar]
- Salehnia, F.; Collin, F.; Charlier, R. On the Variable Dilatancy Angle in Rocks Around Underground Galleries. Rock Mech. Rock Eng. 2017, 50, 587–601. [Google Scholar] [CrossRef]
- Alejano, L.R.; Alonso, E. Considerations of the dilatancy angle in rocks and rock masses. Int. J. Rock Mech. Min. 2005, 42, 481–507. [Google Scholar] [CrossRef]
- Arzua, J.; Alejano, L.R. Dilation in granite during servo-controlled triaxial strength tests. Int. J. Rock Mech. Min. 2013, 61, 43–56. [Google Scholar] [CrossRef]
- Walton, G.; Arzua, J.; Alejano, L.R.; Diederichs, M.S. A Laboratory-Testing-Based Study on the Strength, Deformability, and Dilatancy of Carbonate Rocks at Low Confinement. Rock Mech. Rock Eng. 2015, 48, 941–958. [Google Scholar] [CrossRef]
- Walton, G.; Diederichs, M.S. A New Model for the Dilation of Brittle Rocks Based on Laboratory Compression Test Data with Separate Treatment of Dilatancy Mobilization and Decay. Geotech. Geol. Eng. 2015, 33, 661–679. [Google Scholar] [CrossRef]
- Molladavoodi, H.; Rahmati, M. Dilation angle variations in plastic zone around tunnels in rocks-constant or variable dilation parameter. J. Cent. S. Univ. 2018, 25, 2550–2566. [Google Scholar] [CrossRef]
- Zhang, K.; Zhou, H.; Shao, J.F. An Experimental Investigation and an Elastoplastic Constitutive Model for a Porous Rock. Rock Mech. Rock Eng. 2013, 46, 1499–1511. [Google Scholar] [CrossRef]
- Wang, Y.N.; Wang, L.C.; Zhou, H.Z. An experimental investigation and mechanical modeling of the combined action of confining stress and plastic strain in a rock mass. B Eng. Geol. Environ. 2022, 81, 204. [Google Scholar] [CrossRef]
- Zhao, R.; Li, C.G. A New Dilation Angle Model for Rocks. Rock Mech. Rock Eng. 2022, 55, 5345–5354. [Google Scholar] [CrossRef]
- Chen, Y.; Ma, L.J.; Fan, P.X.; Yang, X.P.; Dong, L. Nonlinear Volumetric Deformation Behavior of Rock Salt Using the. Open Civ. Eng. J. 2016, 10, 524–531. [Google Scholar] [CrossRef][Green Version]
- Zhao, X.G.; Cai, M. A mobilized dilation angle model for rocks. Int. J. Rock Mech. Min. 2010, 47, 368–384. [Google Scholar] [CrossRef]
- Tsegaye, A.B.; Benz, T.; Nordal, S. Formulation of non-coaxial plastic dissipation and stress-dilatancy relations for geomaterials. Acta Geotech. 2020, 15, 2727–2739. [Google Scholar] [CrossRef]
- Wang, Z.H.; Wang, J.C.; Yang, S.L.; Li, L.H.; Li, M. Failure behaviour and acoustic emission characteristics of different rocks under uniaxial compression. J. Geophys. Eng. 2020, 17, 76–88. [Google Scholar] [CrossRef]
- Dai, B.; Zhao, G.Y.; Dong, L.J.; Yang, C. Mechanical Characteristics for Rocks under Different Paths and Unloading Rates under Confining Pressures. Shock. Vib. 2015, 2015, 578748. [Google Scholar] [CrossRef]
- Fuenkajorn, K.; Sriapai, T.; Samsri, P. Effects of loading rate on strength and deformability of Maha Sarakham salt. Eng. Geol. 2012, 135, 10–23. [Google Scholar] [CrossRef]
- Nara, Y.; Kaneko, K. Sub-critical crack growth in anisotropic Rock. Int. J. Rock Mech. Min. 2006, 43, 437–453. [Google Scholar] [CrossRef]
- Huang, D.; Li, Y.R. Conversion of strain energy in Triaxial Unloading Tests on Marble. Int. J. Rock Mech. Min. 2014, 66, 160–168. [Google Scholar] [CrossRef]
- Cong, Y.; Wang, Z.Q.; Zheng, Y.R.; Zhang, L.M. Effect of Unloading Stress Levels on Macro- and Microfracture Mechanisms in Brittle Rocks. Int. J. Geomech. 2020, 20, 04020066. [Google Scholar] [CrossRef]
- Li, D.Y.; Sun, Z.; Xie, T.; Li, X.B.; Ranjith, P.G. Energy evolution characteristics of hard rock during triaxial failure with different loading and unloading paths. Eng. Geol. 2017, 228, 270–281. [Google Scholar] [CrossRef]
- Dai, B.; Zhao, G.Y.; Konietzky, H.; Wasantha, P.L.P. Experimental investigation on damage evolution behaviour of a granitic rock under loading and unloading. J. Cent. S. Univ. 2018, 25, 1213–1225. [Google Scholar] [CrossRef]
- Wang, S.; Wang, H.; Xu, W.; Qian, W. Investigation on mechanical behaviour of dacite under loading and unloading conditions. Geotech. Lett. 2019, 9, 130–135. [Google Scholar] [CrossRef]
- Qin, T.; Duan, Y.W.; Sun, H.R.; Liu, H.L.; Wang, L. Energy Evolution and Acoustic Emission Characteristics of Sandstone Specimens under Unloading Confining Pressure. Shock. Vib. 2019, 2019, 1612576. [Google Scholar] [CrossRef]
- Yang, R.; Ma, D.P.; Yang, Y.J. Experimental Investigation of Energy Evolution in Sandstone Failure during Triaxial Unloading Confining Pressure Tests. Adv. Civ. Eng. 2019, 2019, 7419752. [Google Scholar] [CrossRef]
- Duan, Y.W.; Zhang, G.H.; Qin, T. Analysis of Crack-Characteristic Stress and Energy Characteristics of Sandstone under Triaxial Unloading Confining Pressure. Appl. Sci. 2023, 13, 2671. [Google Scholar] [CrossRef]
- Liu, S.L.; Zhu, Q.Z.; Shao, J.F. Deformation and mechanical properties of rock: Effect of hydromechanical coupling under unloading conditions. B Eng. Geol. Environ. 2020, 79, 5517–5534. [Google Scholar] [CrossRef]
- Li, D.Y.; Sun, Z.; Zhu, Q.Q.; Peng, K. Triaxial Loading and Unloading Tests on Dry and Saturated Sandstone Specimens. Appl. Sci. 2019, 9, 1689. [Google Scholar] [CrossRef]
- Guo, H.J.; Sun, Z.G.; Ji, M.; Wu, Y.F.; Nian, L.H. An Investigation on the Impact of Unloading Rate on Coal Mechanical Properties and Energy Evolution Law. Int. J. Env. Res. Public Health 2022, 19, 4546. [Google Scholar] [CrossRef]
- Fedotova, I.V.; Kuznetcov, N.N.; Pak, A.K. Specific Strain Energy Assessment of Hard Rocks under Different Loading Modes. Procedia Eng. 2017, 191, 317–323. [Google Scholar] [CrossRef]
- Wang, J.J.; Liu, M.N.; Jian, F.X.; Chai, H.J. Mechanical behaviors of a sandstone and mudstone under loading and unloading conditions. Environ. Earth Sci. 2019, 78, 30. [Google Scholar] [CrossRef]
- Tsegaye, A.B. Cyclic stress-dilatancy relations and plastic flow potentials for soils based on hypothesis of complementarity of stress-dilatancy conjugates. Acta Geotech. 2023, 18, 3005–3025. [Google Scholar] [CrossRef]
- Wosatko, A.; Winnicki, A.; Polak, M.A.; Pamin, J. Role of dilatancy angle in plasticity-based models of concrete. Arch. Civ. Mech. Eng. 2019, 19, 1268–1283. [Google Scholar] [CrossRef]
- Zhang, Z.Z.; Deng, M.; Bai, J.B.; Yu, X.Y.; Wu, Q.H.; Jiang, L.S. Strain energy evolution and conversion under triaxial unloading confining pressure tests due to gob-side entry retained. Int. J. Rock Mech. Min. 2020, 126, 104184. [Google Scholar] [CrossRef]
- Walton, G.; Hedayat, A.; Rahjoo, M. Relating Plastic Potential Function to Experimentally Obtained Dilatancy Observations for Geomaterials with a Confinement-Dependent Dilation Angle. Int. J. Geomech. 2019, 19. [Google Scholar] [CrossRef]
- Aben, F.M.; Brantut, N. Dilatancy stabilises shear failure in rock. Earth Planet. Sci. Lett. 2021, 574, 117174. [Google Scholar] [CrossRef]
- Duan, S.Q.; Jiang, Q.; Liu, G.F.; Xiong, J.C.; Gao, P.; Xu, D.P.; Li, M.Y. An Insight into the Excavation-Induced Stress Paths on Mechanical Response of Weak Interlayer Zone in Underground Cavern Under High Geostress. Rock Mech. Rock Eng. 2021, 54, 1331–1354. [Google Scholar] [CrossRef]
- Li, Y.D.; Shang, T.; Han, L.; Chen, S.Z. Mechanical characteristics and energy evolution of sandstone under triaxial unloading path. J. Min. Saf. Eng. 2023, 40, 621–632. (In Chinese) [Google Scholar]
- Li, M.; Zhang, J.X.; Guo, Y.M.; Pu, H.; Peng, Y.F. Influence of particle size distribution on fractal characteristics of waste rock backfill materials under compression. J. Mater. Res. Technol. 2022, 20, 2977–2989. [Google Scholar] [CrossRef]
















| Rock Type | Natural Density (kg/m3) | Natural Water Content (%) | Average Porosity (%) | P-Wave Velocity (m/s) |
|---|---|---|---|---|
| Mudstone | 2610~2640 (2630) | 1.87~2.35 (2.14) | 1.67 | 1376~3406 (2663) |
| Sandstone | 2660~2690 (2680) | 2.78~3.12 (2.53) | 6.03 | 3774~4739 (4214) |
| Rock Type | Mineral Name (%) | ||||||||
|---|---|---|---|---|---|---|---|---|---|
| Quartz | Feldspar | Calcite | Dolomite | Muscovite | Chlorite | Hematite | Kaolinite | Others | |
| Mudstone | 33.3 | 11.1 | 12.7 | 10.5 | 4.7 | 7.3 | 4.4 | 10.8 | 5.2 |
| Sandstone | 34.4 | 20.8 | 16.5 | 15.9 | 1.5 | 1.5 | 1.7 | - | 7.7 |
| Rock Type | Sample Name | E | ν | c | φ | c0 | φ0 | |||||
|---|---|---|---|---|---|---|---|---|---|---|---|---|
| MPa | GPa | MPa | MPa | MPa | MPa | ° | MPa | ° | ||||
| Mudstone | m-1 | 10 | 6.14 | 0.31 | 4.80 | 43.38 | 49.81 | 0.0021 | 6.55 | 40.57 | 11.89 | 38.22 |
| m-2 | 10 | 6.01 | 0.29 | 5.25 | 43.68 | 48.27 | 0.004 | |||||
| m-3 | 20 | 6.96 | 0.30 | 14.82 | 66.06 | 73.48 | 0.0035 | |||||
| m-4 | 20 | 7.79 | 0.31 | 14.80 | 66.11 | 75.35 | 0.0029 | |||||
| m-5 | 25 | 11.81 | 0.30 | 17.49 | 72.62 | 99.12 | 0.0017 | |||||
| m-6 | 25 | 12.49 | 0.28 | 17.27 | 84.08 | 101.76 | 0.0029 | |||||
| Sandstone | s-1 | 10 | 20.78 | 0.20 | 6.65 | 90.60 | 106.55 | 0.0009 | 26.64 | 33.49 | 19.26 | 47.03 |
| s-2 | 10 | 36.59 | 0.20 | 6.89 | 99.10 | 123.78 | 0.0002 | |||||
| s-3 | 20 | 25.91 | 0.21 | 20.00 | 118.47 | 144.00 | 0.0015 | |||||
| s-4 | 20 | 23.75 | 0.20 | 14.98 | 115.63 | 139.29 | 0.0004 | |||||
| s-5 | 25 | 22.44 | 0.21 | 19.06 | 123.83 | 147.91 | 0.0009 | |||||
| s-6 | 25 | 21.32 | 0.21 | 19.26 | 124.39 | 147.01 | 0.0013 |
Disclaimer/Publisher’s Note: The statements, opinions and data contained in all publications are solely those of the individual author(s) and contributor(s) and not of MDPI and/or the editor(s). MDPI and/or the editor(s) disclaim responsibility for any injury to people or property resulting from any ideas, methods, instructions or products referred to in the content. |
© 2023 by the authors. Licensee MDPI, Basel, Switzerland. This article is an open access article distributed under the terms and conditions of the Creative Commons Attribution (CC BY) license (https://creativecommons.org/licenses/by/4.0/).
Share and Cite
Zheng, Z.-Q.; Liu, H.-Z.; Zhuo, L.; Xiao, M.-L.; Xie, H.-Q.; He, J.-D.; Peng, M.-L. Experimental Study on the Dilatancy and Energy Evolution Behaviors of Red-Bed Rocks under Unloading Conditions. Materials 2023, 16, 5759. https://doi.org/10.3390/ma16175759
Zheng Z-Q, Liu H-Z, Zhuo L, Xiao M-L, Xie H-Q, He J-D, Peng M-L. Experimental Study on the Dilatancy and Energy Evolution Behaviors of Red-Bed Rocks under Unloading Conditions. Materials. 2023; 16(17):5759. https://doi.org/10.3390/ma16175759
Chicago/Turabian StyleZheng, Zhao-Qiang, Huai-Zhong Liu, Li Zhuo, Ming-Li Xiao, Hong-Qiang Xie, Jiang-Da He, and Ming-Liang Peng. 2023. "Experimental Study on the Dilatancy and Energy Evolution Behaviors of Red-Bed Rocks under Unloading Conditions" Materials 16, no. 17: 5759. https://doi.org/10.3390/ma16175759
APA StyleZheng, Z.-Q., Liu, H.-Z., Zhuo, L., Xiao, M.-L., Xie, H.-Q., He, J.-D., & Peng, M.-L. (2023). Experimental Study on the Dilatancy and Energy Evolution Behaviors of Red-Bed Rocks under Unloading Conditions. Materials, 16(17), 5759. https://doi.org/10.3390/ma16175759

