Dewatering of Juglans mandshurica Wood Using Supercritical Carbon Dioxide
Abstract
1. Introduction
2. Materials and Methods
2.1. Materials
2.2. Equipment and Devices
2.3. Supercritical CO2 Dewatering
2.4. Moisture Content Determination in Wood
2.5. Deformation
2.6. Drying Stress
2.7. Statistical Analysis
3. Results and Discussion
3.1. Dewatering Rate and Efficiency
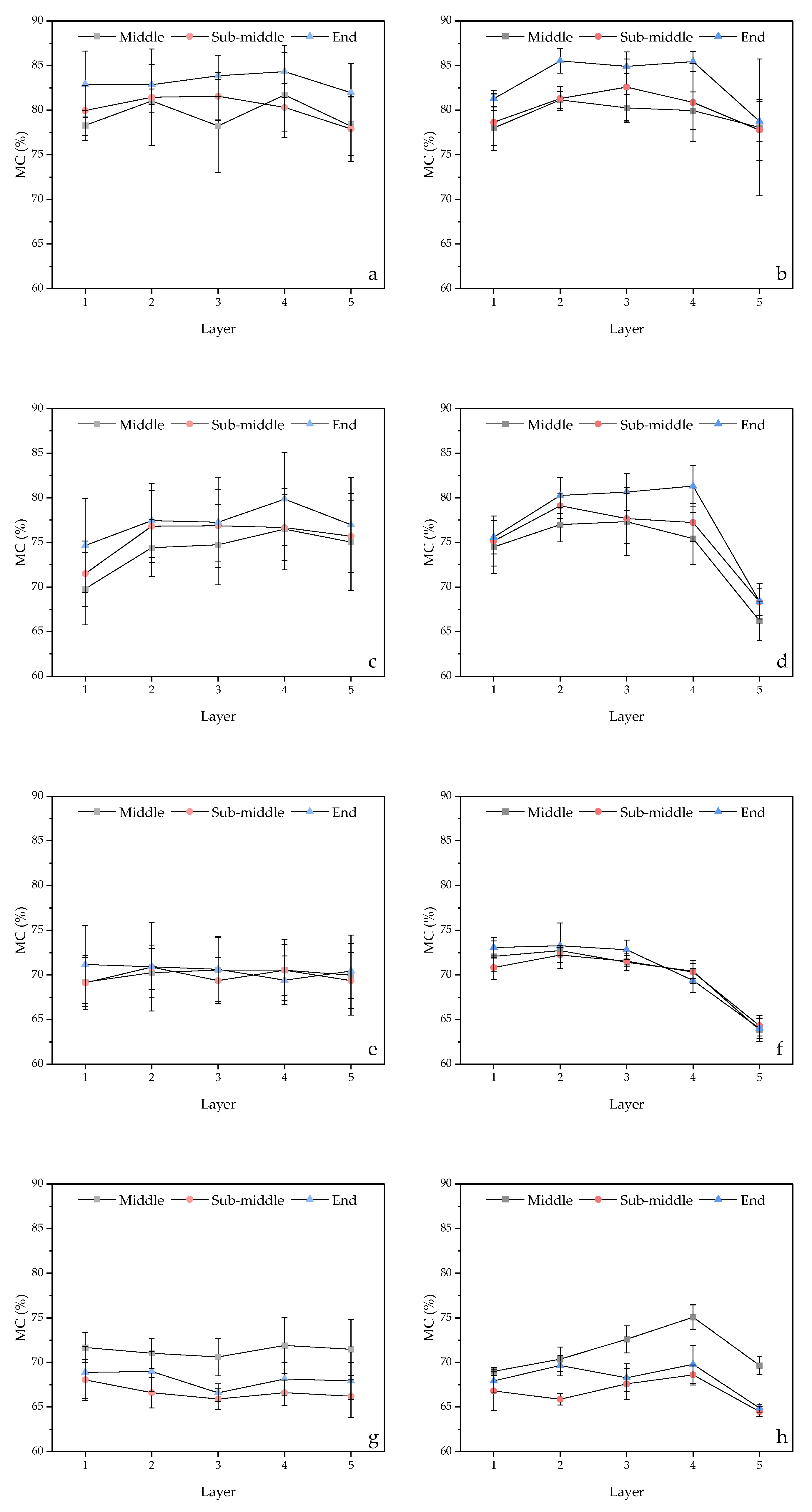
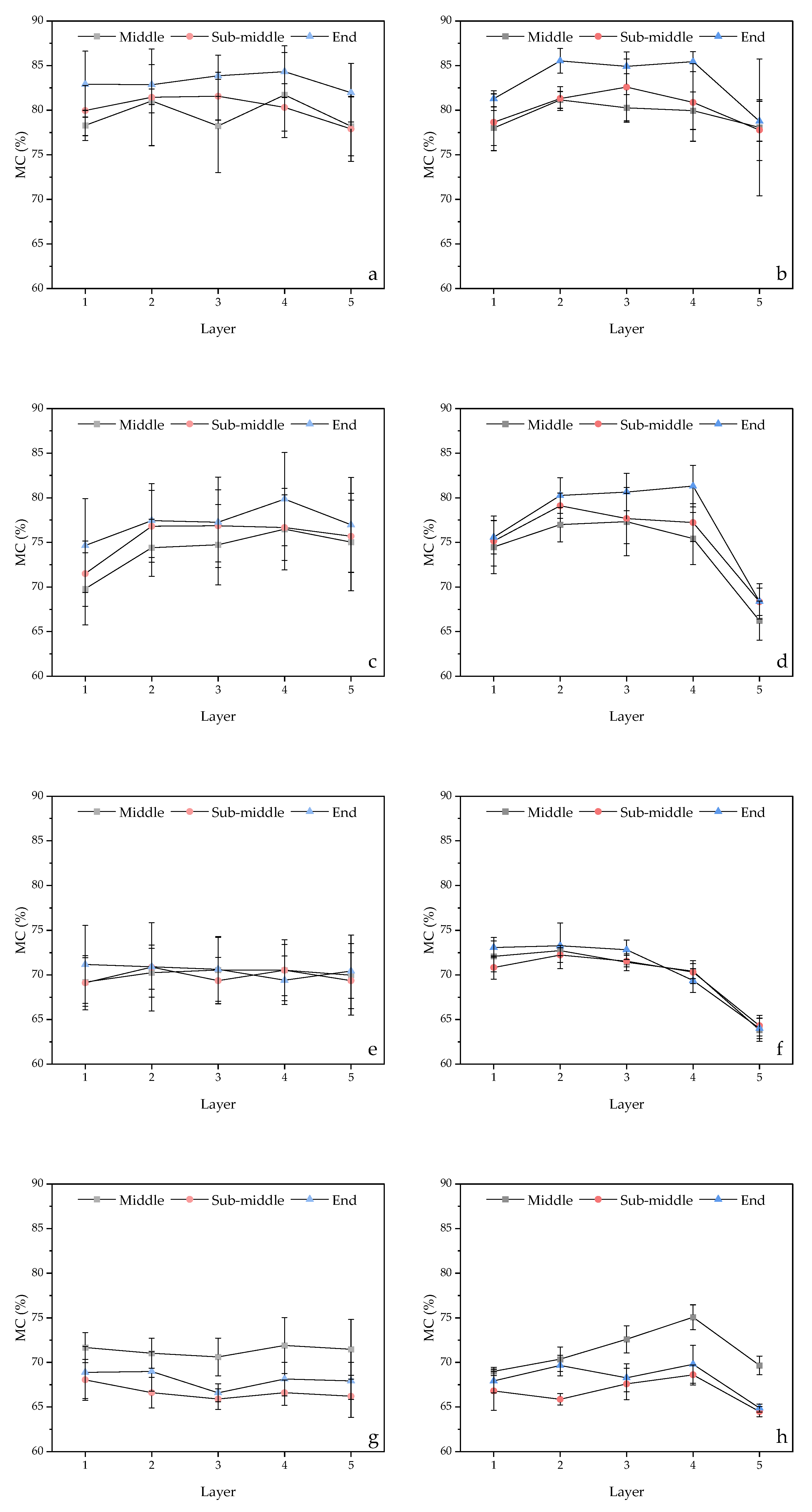
3.2. Moisture Content Distribution and Gradient along Longitudinal Direction
3.3. Moisture Content Distribution and Gradient along Tangential and Radial Direction
3.4. Deformation
3.5. Drying Stress
4. Conclusions
- The dewatering rate of Juglans mandshurica wood was influenced by pressure, temperature, and sample length during the ScCO2 dewatering process. The dewatering rate at 20 MPa is, on average, 2.1 times higher than at 10 MPa, and at 55 °C, it is 1.5 times higher compared to 40 °C. Increasing pressure and temperature resulted in a higher dewatering rate, while longer samples decreased it.
- The MC distributions were similar along the wood’s longitudinal direction and throughout the wood. The 140 mm samples had a more even MC distribution along the tangent and radial directions compared to the 30 mm samples, with no significant difference between the two directions for either length of sample. However, there was a significant MC gradient difference (a maximum of 6%) between the surface and core of the wood. Juglans mandshurica wood showed predominant moisture transfer from the middle towards the end surfaces along the wood’s longitudinal directions during ScCO2 dewatering.
- ScCO2 dewatering induced no shrinkage but caused a certain degree of swelling in Juglans mandshurica wood (a maximum of 2%), likely due to the higher pressure of ScCO2 and the lower wood density. Moreover, the method induced less drying stress and exhibited the potential to maintain wood’s dimensional stability.
- Dewatering wood using ScCO2 is a rapid and efficient method that can be further enhanced by combining it with the extraction of sap components, subsequent drying, and preservation treatment with preservatives. This not only enhances the durability of the wood but also increases its overall value.
Author Contributions
Funding
Institutional Review Board Statement
Informed Consent Statement
Data Availability Statement
Conflicts of Interest
References
- Sonne, C.; Xia, C.L.; Lam, S.S. Is engineered wood China’s way to carbon neutrality? J. Bioresour. Bioprod. 2022, 7, 83–84. [Google Scholar] [CrossRef]
- Ding, L.H.; Han, X.S.; Chen, L.; Jiang, S.H. Preparation and properties of hydrophobic and transparent wood. J. Bioresour. Bioprod. 2022, 7, 295–305. [Google Scholar] [CrossRef]
- Xing, X.Y.; Wang, B.B.; Guan, Y.; Zhou, L.; Liu, Y.M.; Liu, S.Q.; Yun, L.H.; Gao, H. Study on the radial variation in sectional wood properties from different Catalpa bungei clones. J. For. Eng. 2022, 7, 72–77. [Google Scholar]
- Pan, Q.K.; Kang, P.S.; Guo, M. Catalpa Wood; China Forestry Publishing House: Beijing, China, 1991; p. 194. [Google Scholar]
- Guo, C.J. Chinese Catalpa Wood Cultivation; China Forestry Publishing House: Beijing, China, 1987; p. 124. [Google Scholar]
- Wang, X.M.; Wu, Y.T. Study on drying technology of small wood of Juglans mandshurica. J. Inner Mongol. For. Sci. T. 1990, 43–46. [Google Scholar]
- Li, J.; Ma, E. Influence of heat treatment and delignification on hygroscopicity limit and cell wall saturation of southern pinewood. J. For. Eng. 2021, 6, 61–68. [Google Scholar]
- Liu, H.H.; Ke, M.Q.; Zhou, T.; Sun, X.L. Effect of Samples Length on the Characteristics of Moisture Transfer and Shrinkage of Eucalyptus urophylla Wood during Conventional Drying. Forests 2023, 14, 1218. [Google Scholar] [CrossRef]
- Franich, R.A.; Gallagher, S.; Kroese, H. Dewatering green sapwood using carbon dioxide cycled between supercritical fluid and gas phase. J. Supercrit. Fluid 2014, 89, 113–118. [Google Scholar] [CrossRef]
- Cabeza, L.F.; de Gracia, A.; Fernandez, A.I.; Farid, M.M. Supercritical CO2 as heat transfer fluid: A review. Appl. Therm. Eng. 2017, 125, 799–810. [Google Scholar] [CrossRef]
- Ramsey, E.; Sun, Q.; Zhang, Z.Q.; Zhang, C.M.; Gou, W. Mini-Review: Green sustainable processes using supercritical fluid carbon dioxide. J. Environ. Sci. 2009, 21, 720–726. [Google Scholar] [CrossRef]
- Liu, H.H.; Li, Z.L.; Zhang, X.K.; Zhou, S.M. Effect of Samples Size on the Water Removal and Shrinkage of Eucalyptus urophylla × E. grandis Wood during Supercritical CO2 Dewatering. Materials 2022, 15, 8073. [Google Scholar] [CrossRef]
- Matsunaga, M.; Matsunaga, H.; Kataoka, Y.; Matsui, H. Improved water permeability of sugi heartwood by pretreatment with supercritical carbon dioxide. J. Wood Sci. 2005, 51, 195–197. [Google Scholar] [CrossRef]
- Matsunaga, M.; Kataoka, Y.; Matsunaga, H.; Matsui, H. A novel method of acetylation of wood using supercritical carbon dioxide. J. Wood. Sci. 2010, 56, 293–298. [Google Scholar] [CrossRef]
- Zhang, Y.; Yin, C.Y.; Zhang, Y.F.; Wu, H.Y. Synthesis and characterization of cellulose carbamate from wood pulp, assisted by supercritical carbon dioxide. Bioresources 2013, 8, 1398–1408. [Google Scholar] [CrossRef]
- Asafu-Adjaye, O.; Via, B.; Sastri, B.; Banerjee, S. Dewatering black liquor and lignin with supercritical CO2. Fuel 2022, 319, 123742. [Google Scholar] [CrossRef]
- Silviana; Petermann, M. Chemicals loading in acetylated bamboo assisted by supercritical CO2 based on phase equilibrium data. In Proceedings of the 2nd International Conference of Chemical and Material Engineering (ICCME), Semarang, Indonesia, 29–30 September 2015. [Google Scholar]
- Rozzi, N.L.; Singh, R.K. Supercritical Fluids and the Food Industry. Compr. Rev. Food Sci. Food Saf. 2002, 1, 33–44. [Google Scholar] [CrossRef]
- Hermawan, D.; Hata, T.; Kawai, S.; Nagadomi, W.; Kuroki, Y. Manufacturing oil palm fronds cement-bonded board cured by gaseous or supercritical carbon dioxide. J. Wood Sci. 2002, 48, 20–24. [Google Scholar] [CrossRef]
- Matsunaga, M.; Hewage, D.C.; Kataoka, Y.; Ishikawa, A.; Kobayashi, M.; Kiguchi, M. Acetylation of wood using supercritical carbon dioxide. J. Trop. For. Sci. 2016, 28, 132–138. [Google Scholar]
- Dawson, B.S.W.; Pearson, H. Effect of supercritical CO2 dewatering followed by oven-drying of softwood and hardwood timbers. Wood Sci. Technol. 2017, 51, 771–784. [Google Scholar] [CrossRef]
- Liu, H.H.; Zhang, Y.T.; Yang, L.; Wu, Z.H. Effects of ultrasound pretreatment on microstructure and drying characteristics of Eucalyptus urophylla × E. grandis. BioResources 2018, 13, 5953–5964. [Google Scholar] [CrossRef]
- Nathia-Neves, G.; Vardanega, R.; Urango, A.C.M.; Meireles, M.A.A. Supercritical CO2 extraction of alpha-bisabolol from different parts of candeia wood (Eremanthus erythropappus). J. Supercrit. Fluid 2020, 166, 105026. [Google Scholar] [CrossRef]
- Yin, Q.; Liu, H.H. Drying stress and strain of wood: A Review. Appl. Sci. 2021, 11, 5023. [Google Scholar] [CrossRef]
- Meder, R.; Franich, R.A.; Callaghan, P.T.; Behr, V.C. A comparative study of dewatering of Pinus radiata sapwood using supercritical CO2 and conventional forced air-drying via in situ magnetic resonance microimaging (MRI). Holzforschung 2015, 69, 1137–1142. [Google Scholar] [CrossRef]
- Zhang, J.W.; Liu, H.H.; Yang, H.; Yang, L. Drying characteristics of Eucalyptus urophylla × E. grandis with supercritical CO2. Materials 2020, 13, 3989. [Google Scholar] [CrossRef] [PubMed]
- Franich, R.A.; Meder, R.; Falge, M.; Fuchs, J.; Behr, V.C. Uncovering supercritical CO2 wood dewatering via interleaved H-1-imaging and C-13-spectroscopy with real-time reconstruction. J. Supercrit. Fluid 2019, 144, 56–62. [Google Scholar] [CrossRef]
- Cao, M.D.; Zhang, X.X.; Ren, W.T.; Zhu, J.W.; Wang, H.K.; Xu, H.C.; Yu, Y. Effect of drying methods on the cell wall pore structure of Phyllostachys edulis. J. For. Eng. 2021, 6, 58–65. [Google Scholar]
- Liu, H.H.; Li, Z.L.; Xie, Y.; Xie, J.E. Dewatering fresh bamboo strips using supercritical carbon dioxide. Eur. J. Wood Prod. 2023, 81, 1327–1335. [Google Scholar] [CrossRef]
- Newman, R.H.; Franich, R.A.; Meder, R.; Hill, S.J.; Kroese, H.; Sandquist, D.; Hindmarsh, J.P.; Schmid, M.W.; Fuchs, J.; Behr, V.C. Proton magnetic resonance imaging used to investigate dewatering of green sapwood by cycling carbon dioxide between supercritical fluid and gas phase. J. Supercrit. Fluid 2016, 111, 36–42. [Google Scholar] [CrossRef]
- Pearson, H.; Dawson, B.; Kimberley, M.; Davy, B. Modelling and optimisation of ceramic and wood dewatering using supercritical CO2. J. Supercrit. Fluid 2019, 146, 15–22. [Google Scholar] [CrossRef]
- Zhou, F.; Fu, Z.; Zhou, Y.; Zhao, J.; Gao, X.; Jiang, J. Moisture transfer and stress development during high-temperature drying of Chinese fir. Dry. Technol. 2020, 38, 545–554. [Google Scholar] [CrossRef]
- Pearson, H.; Donaldson, L.; Kimberley, M. Mitigation of cellular collapse during drying of Eucalyptus nitens wood using supercritical CO2 dewatering. IAWA J. 2022, 44, 1–20. [Google Scholar] [CrossRef]
- Liu, Y.X.; Zhao, G.J. Wood Science; China Forestry Publishing House: Beijing, China, 2012; p. 398. [Google Scholar]
- Yu, H.; Wang, R.; Qi, Y. Comprehensive evaluation of material properties of the precious wood species Juglans. Mod. Agric. Res. 2016, 1, 41–43. [Google Scholar]










| Process Parameter | Value |
|---|---|
| Sample length (mm) | 30/140 |
| Pressure (MPa) | 10/20 |
| Temperature (°C) | 40/55 |
| Flow (L/h) | 60 |
| Pressurization time (min) | 20 |
| Hold time (min) | 15 |
| Depressurization time (min) | 10 |
| CO2 emission time (min) | 30/60 |
| Pressure (MPa) | Temperature (°C) | 30 mm | 140 mm | ||||
|---|---|---|---|---|---|---|---|
| Initial MC (%) | Final MC (%) | Dewatering Rate (%/h) | Initial MC (%) | Final MC (%) | Dewatering Rate (%/h) | ||
| 10 | 40 | 92.36 | 84.48 | 31.55 | 87.83 | 83.67 | 16.66 |
| 55 | 95.42 | 85.01 | 41.62 | 86.01 | 76.98 | 36.11 | |
| 20 | 40 | 84.66 | 71.71 | 51.80 | 82.16 | 70.85 | 45.23 |
| 55 | 94.35 | 74.07 | 81.13 | 91.98 | 72.65 | 77.33 | |
| Source | Sum of Squares | DF | Mean Square | F | p | Significance |
|---|---|---|---|---|---|---|
| Factor A (Pressure) | 441.956 | 1 | 441.956 | 92.681 | 0.000 | * |
| Factor B (Temperature) | 42.162 | 1 | 42.162 | 8.841 | 0.008 | * |
| Factor C (Surface or core layer) | 55.237 | 1 | 55.237 | 11.583 | 0.003 | * |
| Factor D (The position in the length position) | 5.007 | 2 | 2.504 | 0.525 | 0.600 | |
| Error | 85.835 | 18 | 4.769 | |||
| Total | 134,210.449 | 24 |
| Source | Sum of Squares | DF | Mean Square | F | p | Significance |
|---|---|---|---|---|---|---|
| Factor A (Pressure) | 2357.292 | 1 | 2357.292 | 166.962 | 0.000 | * |
| Factor B (Temperature) | 1534.13 | 1 | 1534.13 | 108.659 | 0.000 | * |
| Factor C (Tangential or radial direction) | 0 | 1 | 0 | 0 | 1.000 | |
| Factor D (Layer) | 410.239 | 4 | 102.56 | 7.264 | 0.000 | * |
| Factor D (The length of specimens) | 27.255 | 1 | 27.255 | 1.93 | 0.167 | |
| Error | 2131.923 | 151 | 14.119 | |||
| Total | 912,980.177 | 160 |
| Source | Sum of Squares | DF | Mean Square | F | p | Significance |
|---|---|---|---|---|---|---|
| Factor A (Pressure) | 2357.292 | 1 | 2357.292 | 358.236 | 0.000 | * |
| Factor B (Temperature) | 347.276 | 1 | 347.276 | 52.775 | 0.000 | * |
| Factor C (Tangential or radial direction) | 0 | 1 | 0 | 0 | 1.000 | |
| Factor D (Layer) | 256.641 | 4 | 64.16 | 9.75 | 0.000 | * |
| Error | 678.908 | 110 | 6.172 | |||
| Total | 658,337.108 | 120 |
| Source | Sum of Squares | DF | Mean Square | F | p | Significance |
|---|---|---|---|---|---|---|
| Factor A (Pressure) | 0.323 | 1 | 0.323 | 2.337 | 0.131 | |
| Factor B (Temperature) | 0.095 | 1 | 0.095 | 0.69 | 0.409 | |
| Factor C (Tangential or radial direction) | 7.26 | 1 | 7.26 | 52.599 | 0 | * |
| Factor D (The length of specimens) | 0 | 1 | 0 | 0 | 1 | |
| Error | 10.352 | 75 | 0.138 | |||
| Total | 78,070.547 | 80 |
| Source | Sum of Squares | DF | Mean Square | F | p | Significance |
|---|---|---|---|---|---|---|
| Factor A (Pressure) | 0.001 | 1 | 0.001 | 0.031 | 0.868 | |
| Factor B (Temperature) | 0.041 | 1 | 0.041 | 1.253 | 0.326 | |
| Factor C (The length of specimens) | 0.208 | 1 | 0.208 | 6.418 | 0.064 | |
| Error | 1.651 | 8 | ||||
| Total | 0.001 | 1 | 0.001 | 0.031 | 0.868 |
Disclaimer/Publisher’s Note: The statements, opinions and data contained in all publications are solely those of the individual author(s) and contributor(s) and not of MDPI and/or the editor(s). MDPI and/or the editor(s) disclaim responsibility for any injury to people or property resulting from any ideas, methods, instructions or products referred to in the content. |
© 2023 by the authors. Licensee MDPI, Basel, Switzerland. This article is an open access article distributed under the terms and conditions of the Creative Commons Attribution (CC BY) license (https://creativecommons.org/licenses/by/4.0/).
Share and Cite
Zheng, J.; Zhu, X.; Yang, L. Dewatering of Juglans mandshurica Wood Using Supercritical Carbon Dioxide. Materials 2023, 16, 5521. https://doi.org/10.3390/ma16165521
Zheng J, Zhu X, Yang L. Dewatering of Juglans mandshurica Wood Using Supercritical Carbon Dioxide. Materials. 2023; 16(16):5521. https://doi.org/10.3390/ma16165521
Chicago/Turabian StyleZheng, Jingting, Xi Zhu, and Lin Yang. 2023. "Dewatering of Juglans mandshurica Wood Using Supercritical Carbon Dioxide" Materials 16, no. 16: 5521. https://doi.org/10.3390/ma16165521
APA StyleZheng, J., Zhu, X., & Yang, L. (2023). Dewatering of Juglans mandshurica Wood Using Supercritical Carbon Dioxide. Materials, 16(16), 5521. https://doi.org/10.3390/ma16165521
