Research on Performance Deterioration of Multi-Walled Carbon Nanotube–Lithium Slag Concrete under the Coupling Effect of Sulfate Attack and Dry–Wet Cycles
Abstract
1. Introduction
2. Materials and Methods
2.1. Materials
2.2. Specimen Preparation
2.3. Experiment Methods
2.3.1. Coupling of Sulfate Attack and Drying–Wetting Cycles Test
2.3.2. Strength and Mass Loss Rate Test
2.3.3. Microstructure Test
3. Experimental Results and Discussion
3.1. Morphology Change
3.2. Compressive Strength
3.3. Mass Loss Rate
3.4. Scanning Electron Microscope Observation
3.5. Evolution Rules of Concrete Microstructure
3.5.1. Two-Dimensional Pore Structure Analysis
3.5.2. Three-Dimensional Pore Structure Analysis
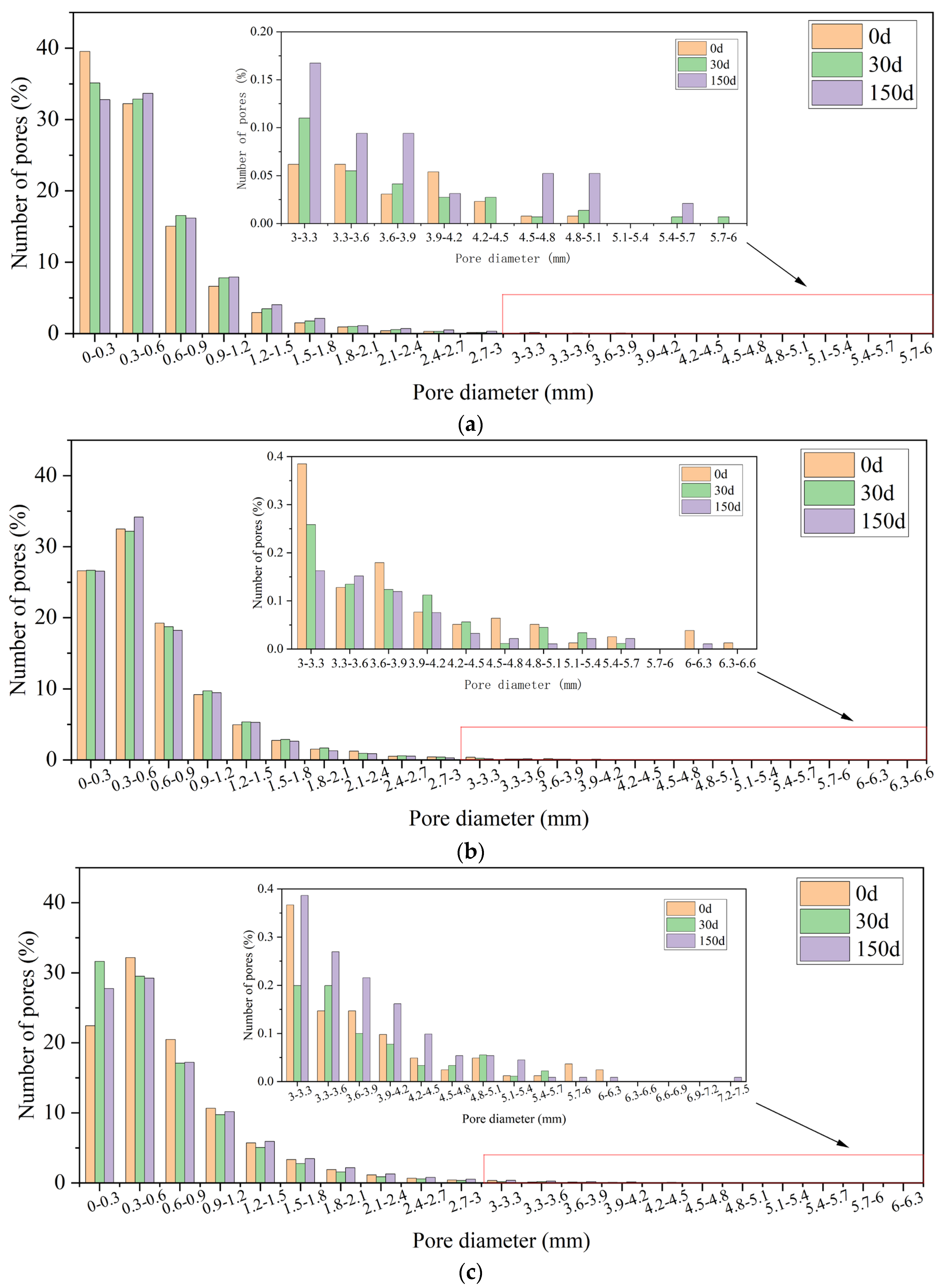
3.5.3. Frequency Distribution of Pore Size
3.5.4. Compactness and Sphericity
4. Conclusions
Author Contributions
Funding
Institutional Review Board Statement
Informed Consent Statement
Data Availability Statement
Acknowledgments
Conflicts of Interest
Appendix A
| No. | 0 d | 30 d | 60 d | 90 d | 120 d | 150 d | ||||||||||||
|---|---|---|---|---|---|---|---|---|---|---|---|---|---|---|---|---|---|---|
| fcc (MPa) | Mean | St.D | fcc (MPa) | Mean | St.D | fcc (MPa) | Mean | St.D | fcc (MPa) | Mean | St.D | fcc (MPa) | Mean | St.D | fcc (MPa) | Mean | St.D | |
| 35-0 | 68.9 | 68.5 | 3.0 | 82.1 | 82.0 | 3.5 | 75.3 | 79.8 | 4.4 | 65.7 | 68.6 | 3.2 | 76.9 | 74.0 | 2.7 | 74.5 | 73.4 | 3.9 |
| 65.3 | 85.5 | 84.0 | 72.1 | 71.5 | 76.6 | |||||||||||||
| 71.3 | 78.5 | 80.1 | 68.1 | 73.5 | 69.1 | |||||||||||||
| 35-5 | 62.8 | 67.5 | 4.1 | 81.2 | 83.5 | 2.3 | 87.6 | 85.9 | 1.5 | 83.4 | 77.4 | 5.6 | 73.9 | 74.6 | 1.5 | 77.7 | 75.9 | 2.0 |
| 69.3 | 83.6 | 85.5 | 72.3 | 76.3 | 73.8 | |||||||||||||
| 70.3 | 85.7 | 84.7 | 76.5 | 73.6 | 76.3 | |||||||||||||
| 35-10 | 68.8 | 71.3 | 2.3 | 83.3 | 78.4 | 4.3 | 82.3 | 83.5 | 1.3 | 77.7 | 83.7 | 6.2 | 70.5 | 75.7 | 5.4 | 73.8 | 76.6 | 2.6 |
| 73.3 | 75.4 | 83.3 | 83.4 | 81.2 | 78.8 | |||||||||||||
| 71.8 | 76.6 | 84.9 | 90.0 | 75.5 | 77.3 | |||||||||||||
| 35-15 | 66.8 | 68.9 | 2.1 | 73.1 | 76.9 | 3.3 | 78.6 | 78.5 | 5.4 | 67.4 | 74.3 | 6.2 | 68.3 | 73.6 | 5.6 | 83.2 | 81.8 | 1.2 |
| 71 | 79.4 | 73.1 | 76.1 | 73.1 | 81.1 | |||||||||||||
| 68.9 | 78.1 | 83.8 | 79.3 | 79.5 | 81.2 | |||||||||||||
| 40-0 | 55.9 | 55.8 | 1.5 | 69.9 | 71.7 | 3.1 | 79.7 | 71.8 | 7.2 | 65.0 | 62.3 | 3.1 | 59.6 | 61.7 | 2.1 | 61.5 | 63.4 | 1.8 |
| 57.3 | 75.3 | 65.6 | 58.9 | 63.8 | 63.8 | |||||||||||||
| 54.3 | 70.0 | 70.2 | 63.0 | 61.8 | 65.0 | |||||||||||||
| 40-5 | 60.3 | 60.1 | 0.9 | 73.0 | 74.6 | 1.8 | 71.1 | 73.6 | 2.4 | 65.7 | 62.5 | 3.4 | 64.1 | 62.7 | 1.2 | 69.1 | 66.9 | 3.6 |
| 59.1 | 76.5 | 75.8 | 58.9 | 61.7 | 68.9 | |||||||||||||
| 60.9 | 74.3 | 73.9 | 62.9 | 62.3 | 62.7 | |||||||||||||
| 40-10 | 60.7 | 58.9 | 1.6 | 76.4 | 77.1 | 0.7 | 82.9 | 81.3 | 3.0 | 73.2 | 72.0 | 3.3 | 66.4 | 68.6 | 4.7 | 67.0 | 65.2 | 1.7 |
| 58.2 | 77.2 | 77.8 | 68.3 | 65.4 | 65.0 | |||||||||||||
| 57.7 | 77.7 | 83.2 | 74.6 | 74.0 | 63.7 | |||||||||||||
| 40-15 | 54 | 56.8 | 2.6 | 79.3 | 77.1 | 2.2 | 76.3 | 72.1 | 3.8 | 74.7 | 70.2 | 4.8 | 74.6 | 73.4 | 1.2 | 75.3 | 76.6 | 2.0 |
| 59.2 | 75.0 | 68.9 | 65.1 | 72.3 | 78.9 | |||||||||||||
| 57.3 | 77.0 | 71.1 | 70.9 | 73.3 | 75.7 | |||||||||||||
| 45-0 | 50.2 | 51.1 | 1.7 | 64.9 | 63.2 | 1.7 | 66.1 | 66.5 | 1.7 | 64.9 | 60.1 | 4.2 | 52.8 | 55.6 | 2.7 | 50.1 | 54.4 | 3.9 |
| 50.1 | 61.6 | 68.4 | 57.3 | 55.8 | 57.8 | |||||||||||||
| 53.1 | 63.1 | 65.1 | 58.1 | 58.2 | 55.3 | |||||||||||||
| 45-5 | 46.2 | 50.3 | 3.6 | 64.2 | 63.1 | 2.4 | 63.4 | 65.2 | 1.6 | 57.3 | 58.7 | 4.5 | 43.8 | 44.3 | 1.3 | 53.9 | 52.7 | 1.2 |
| 52.5 | 64.8 | 66.5 | 55.1 | 43.3 | 51.6 | |||||||||||||
| 52.3 | 60.4 | 65.7 | 63.7 | 45.8 | 52.6 | |||||||||||||
| 45-10 | 53.9 | 54.5 | 0.7 | 68.9 | 69.8 | 1.0 | 71.9 | 70.7 | 1.2 | 64.7 | 65.7 | 1.9 | 59.4 | 62.5 | 3.1 | 61.2 | 59.5 | 1.8 |
| 54.4 | 69.7 | 69.5 | 64.4 | 65.6 | 57.7 | |||||||||||||
| 55.2 | 70.9 | 70.8 | 67.9 | 62.6 | 59.6 | |||||||||||||
| 45-15 | 44.9 | 50.2 | 4.6 | 65.2 | 67.3 | 2.2 | 69.4 | 68.0 | 1.4 | 58.7 | 61.7 | 4.4 | 62.0 | 57.7 | 4.6 | 61.2 | 58.3 | 2.7 |
| 53.5 | 69.5 | 66.7 | 66.8 | 52.8 | 55.8 | |||||||||||||
| 52.2 | 67.2 | 68.0 | 59.7 | 58.3 | 57.9 | |||||||||||||
| No. | 30 d | 60 d | 90 d | 120 d | 150 d | ||||||||||
|---|---|---|---|---|---|---|---|---|---|---|---|---|---|---|---|
| ΔW (%) | Mean | St.D | ΔW (%) | Mean | St.D | ΔW (%) | Mean | St.D | ΔW (%) | Mean | St.D | ΔW (%) | Mean | St.D | |
| 35-0 | −1.73 | −1.57 | 0.146 | −1.92 | −1.78 | 0.123 | −1.93 | −2.01 | 0.091 | 0.98 | 0.93 | 0.392 | 1.19 | 0.95 | 0.212 |
| −1.45 | −1.73 | −2.11 | 0.52 | 0.87 | |||||||||||
| −1.52 | −1.69 | −2.00 | 1.30 | 0.79 | |||||||||||
| 35-5 | −1.23 | −1.07 | 0.146 | −1.13 | −1.27 | 0.132 | −1.77 | −1.64 | 0.117 | −0.61 | −0.73 | 0.104 | 0.45 | 0.47 | 0.097 |
| −1.02 | −1.30 | −1.62 | −0.80 | 0.58 | |||||||||||
| −0.95 | −1.39 | −1.54 | −0.78 | 0.39 | |||||||||||
| 35-10 | −0.93 | −0.86 | 0.061 | −1.24 | −1.14 | 0.138 | −1.73 | −1.52 | 0.183 | −1.38 | −1.59 | 0.268 | 0.29 | 0.38 | 0.153 |
| −0.81 | −0.98 | −1.38 | −1.89 | 0.30 | |||||||||||
| −0.85 | −1.19 | −1.46 | −1.49 | 0.56 | |||||||||||
| 35-15 | −1.01 | −1.08 | 0.151 | −1.45 | −1.48 | 0.114 | −1.73 | −1.80 | 0.065 | −0.92 | −0.84 | 0.212 | 0.61 | 0.53 | 0.076 |
| −1.25 | −1.61 | −1.86 | −1.00 | 0.51 | |||||||||||
| −0.97 | −1.39 | −1.80 | −0.60 | 0.46 | |||||||||||
| 40-0 | −1.92 | −1.80 | 0.107 | −1.91 | −1.93 | 0.092 | −1.95 | −2.15 | 0.184 | −1.89 | −1.76 | 0.113 | 1.35 | 1.23 | 0.131 |
| −1.78 | −2.03 | −2.31 | −1.69 | 1.25 | |||||||||||
| −1.71 | −1.85 | −2.20 | −1.70 | 1.09 | |||||||||||
| 40-5 | −1.31 | −1.35 | 0.129 | −1.41 | −1.41 | 0.205 | −1.78 | −1.81 | 0.031 | −0.19 | −0.07 | 0.104 | 0.86 | 0.88 | 0.276 |
| −1.49 | −1.62 | −1.84 | −0.04 | 1.17 | |||||||||||
| −1.24 | −1.21 | −1.82 | 0.01 | 0.62 | |||||||||||
| 40-10 | −1.21 | −1.14 | 0.059 | −1.30 | −1.35 | 0.101 | −1.53 | −1.57 | 0.102 | −0.73 | −0.81 | 0.085 | 0.92 | 0.75 | 0.147 |
| −1.12 | −1.47 | −1.69 | −0.90 | 0.70 | |||||||||||
| −1.1 | −1.29 | −1.50 | −0.81 | 0.64 | |||||||||||
| 40-15 | −1.23 | −1.15 | 0.071 | −1.64 | −1.64 | 0.170 | −1.91 | −1.98 | 0.142 | −0.65 | −0.79 | 0.125 | 0.77 | 0.98 | 0.210 |
| −1.09 | −1.81 | −1.88 | −0.83 | 0.99 | |||||||||||
| −1.14 | −1.47 | −2.14 | −0.89 | 1.19 | |||||||||||
| 45-0 | −2.1 | −1.90 | 0.182 | −2.21 | −2.06 | 0.136 | −2.59 | −2.66 | 0.061 | 0.10 | 0.02 | 0.221 | 1.61 | 1.80 | 0.195 |
| −1.87 | −1.95 | −2.71 | −0.23 | 2.00 | |||||||||||
| −1.74 | −2.01 | −2.67 | 0.19 | 1.80 | |||||||||||
| 45-5 | −1.31 | −1.47 | 0.151 | −1.76 | −1.55 | 0.191 | −0.25 | −0.13 | 0.106 | 0.68 | 0.37 | 0.429 | 2.91 | 3.02 | 0.196 |
| −1.61 | −1.49 | −0.05 | 0.55 | 3.25 | |||||||||||
| −1.49 | −1.39 | −0.09 | −0.12 | 2.91 | |||||||||||
| 45-10 | −1.45 | −1.56 | 0.095 | −1.89 | −1.78 | 0.115 | −2.15 | −2.48 | 0.287 | 0.19 | 0.13 | 0.261 | 1.02 | 1.23 | 0.215 |
| −1.59 | −1.66 | −2.59 | −0.16 | 1.45 | |||||||||||
| −1.63 | −1.78 | −2.69 | 0.35 | 1.23 | |||||||||||
| 45-15 | −1.25 | −1.43 | 0.163 | −1.52 | −1.78 | 0.223 | −2.28 | −2.47 | 0.195 | −0.83 | −0.71 | 0.191 | 2.13 | 2.48 | 0.306 |
| −1.49 | −1.92 | −2.67 | −0.49 | 2.70 | |||||||||||
| −1.56 | −1.89 | −2.46 | −0.81 | 2.61 | |||||||||||
References
- Cefis, N.; Comi, C. Chemo-Mechanical Modelling of the External Sulfate Attack in Concrete. Cem. Concr. Res. 2017, 93, 57–70. [Google Scholar] [CrossRef]
- Cheng, H.; Liu, T.; Zou, D.; Zhou, A. Compressive Strength Assessment of Sulfate-Attacked Concrete by Using Sulfate Ions Distributions. Constr. Build. Mater. 2021, 293, 123550. [Google Scholar] [CrossRef]
- Zhang, C.; Chen, W.; Mu, S.; Savija, B.; Liu, Q. Numerical Investigation of External Sulfate Attack and Its Effect on Chloride Binding and Diffusion in Concrete. Constr. Build. Mater. 2021, 285, 122806. [Google Scholar] [CrossRef]
- Wongprachum, W.; Sappakittipakorn, M.; Sukontasukkul, P.; Chindaprasirt, P.; Banthia, N. Resistance to Sulfate Attack and Underwater Abrasion of Fiber Reinforced Cement Mortar. Constr. Build. Mater. 2018, 189, 686–694. [Google Scholar] [CrossRef]
- Zhao, G.; Guo, M.; Cui, J.; Li, J.; Xu, L. Partially-Exposed Cast-in-Situ Concrete Degradation Induced by Internal-External Sulfate and Magnesium Multiple Coupled Attack. Constr. Build. Mater. 2021, 294, 123560. [Google Scholar] [CrossRef]
- Haufe, J.; Vollpracht, A. Tensile Strength of Concrete Exposed to Sulfate Attack. Cem. Concr. Res. 2019, 116, 81–88. [Google Scholar] [CrossRef]
- Spragg, R.P.; Castro, J.; Li, W.; Pour-Ghaz, M.; Huang, P.-T.; Weiss, J. Wetting and Drying of Concrete Using Aqueous Solutions Containing Deicing Salts. Cem. Concr. Compos. 2011, 33, 535–542. [Google Scholar] [CrossRef]
- Feng, P.; Garboczi, E.J.; Miao, C.; Bullard, J.W. Microstructural Origins of Cement Paste Degradation by External Sulfate Attack. Constr. Build. Mater. 2015, 96, 391–403. [Google Scholar] [CrossRef]
- Irassar, E.F.; Maio, A.D.; Batic, O.R. Sulfate Attack on Concrete with Mineral Admixtures. Cem. Concr. Res. 1996, 26, 113–123. [Google Scholar] [CrossRef]
- Aköz, F.; Türker, F.; Koral, S.; Yüzer, N. Effects of Sodium Sulfate Concentration on the Sulfate Resistance of Mortars with and without Silica Fume. Cem. Concr. Res. 1995, 25, 1360–1368. [Google Scholar] [CrossRef]
- Santhanam, M.; Cohen, M.D.; Olek, J. Mechanism of Sulfate Attack: A Fresh Look Part 1: Summary of Experimental Results. Cem. Concr. Res. 2002, 32, 915–921. [Google Scholar] [CrossRef]
- Aggarwal, P.; Singh, R.P.; Aggarwal, Y.; Hussain, R.R. Use of Nano-Silica in Cement Based Materials—A Review. Cogent Eng. 2015, 2, 1078018. [Google Scholar] [CrossRef]
- Paul, S.C.; van Rooyen, A.S.; van Zijl, G.P.A.G.; Petrik, L.F. Properties of Cement-Based Composites Using Nanoparticles: A Comprehensive Review. Constr. Build. Mater. 2018, 189, 1019–1034. [Google Scholar] [CrossRef]
- Liu, X.; Chen, L.; Liu, A.; Wang, X. Effect of Nano-CaCO3 on Properties of Cement Paste. Energy Procedia 2012, 16, 991–996. [Google Scholar] [CrossRef]
- Iijima, S. Helical Microtubules of Graphitic Carbon. Nature 1991, 354, 56–58. [Google Scholar] [CrossRef]
- Yu, M.-F.; Lourie, O.; Dyer, M.J.; Moloni, K.; Kelly, T.F.; Ruoff, R.S. Strength and Breaking Mechanism of Multiwalled Carbon Nanotubes Under Tensile Load. Science 2000, 287, 637–640. [Google Scholar] [CrossRef]
- Tyson, B.M.; Abu Al-Rub, R.K.; Yazdanbakhsh, A.; Grasley, Z. Carbon Nanotubes and Carbon Nanofibers for Enhancing the Mechanical Properties of Nanocomposite Cementitious Materials. J. Mater. Civ. Eng. 2011, 23, 1028–1035. [Google Scholar] [CrossRef]
- Han, B.; Sun, S.; Ding, S.; Zhang, L.; Yu, X.; Ou, J. Review of Nanocarbon-Engineered Multifunctional Cementitious Composites. Compos. Part A Appl. Sci. Manuf. 2015, 70, 69–81. [Google Scholar] [CrossRef]
- Huang, J.Y.; Chen, S.; Wang, Z.Q.; Kempa, K.; Wang, Y.M.; Jo, S.H.; Chen, G.; Dresselhaus, M.S.; Ren, Z.F. Superplastic Carbon Nanotubes. Nature 2006, 439, 281. [Google Scholar] [CrossRef]
- Liew, K.M.; Kai, M.F.; Zhang, L.W. Carbon Nanotube Reinforced Cementitious Composites: An Overview. Compos. Part A Appl. Sci. Manuf. 2016, 91, 301–323. [Google Scholar] [CrossRef]
- Makar, J.M.; Chan, G.W. Growth of Cement Hydration Products on Single-Walled Carbon Nanotubes. J. Am. Ceram. Soc. 2009, 92, 1303–1310. [Google Scholar] [CrossRef]
- Azhari, F.; Banthia, N. Cement-Based Sensors with Carbon Fibers and Carbon Nanotubes for Piezoresistive Sensing. Cem. Concr. Compos. 2012, 34, 866–873. [Google Scholar] [CrossRef]
- Moore, V.C.; Strano, M.S.; Haroz, E.H.; Hauge, R.H.; Smalley, R.E.; Schmidt, J.; Talmon, Y. Individually Suspended Single-Walled Carbon Nanotubes in Various Surfactants. Nano Lett. 2003, 3, 1379–1382. [Google Scholar] [CrossRef]
- Gao, F.; Tian, W.; Wang, Z.; Wang, F. Effect of Diameter of Multi-Walled Carbon Nanotubes on Mechanical Properties and Microstructure of the Cement-Based Materials. Constr. Build. Mater. 2020, 260, 120452. [Google Scholar] [CrossRef]
- Konsta-Gdoutos, M.S.; Metaxa, Z.S.; Shah, S.P. Highly Dispersed Carbon Nanotube Reinforced Cement Based Materials. Cem. Concr. Res. 2010, 40, 1052–1059. [Google Scholar] [CrossRef]
- Li, W.-W.; Ji, W.-M.; Wang, Y.-C.; Liu, Y.; Shen, R.-X.; Xing, F. Investigation on the Mechanical Properties of a Cement-Based Material Containing Carbon Nanotube under Drying and Freeze-Thaw Conditions. Materials 2015, 8, 8780–8792. [Google Scholar] [CrossRef]
- Xu, S.; Liu, J.; Li, Q. Mechanical Properties and Microstructure of Multi-Walled Carbon Nanotube-Reinforced Cement Paste. Constr. Build. Mater. 2015, 76, 16–23. [Google Scholar] [CrossRef]
- Nochaiya, T.; Chaipanich, A. Behavior of Multi-Walled Carbon Nanotubes on the Porosity and Microstructure of Cement-Based Materials. Appl. Surf. Sci. 2011, 257, 1941–1945. [Google Scholar] [CrossRef]
- Kim, H.-K. Chloride Penetration Monitoring in Reinforced Concrete Structure Using Carbon Nanotube/Cement Composite. Constr. Build. Mater. 2015, 96, 29–36. [Google Scholar] [CrossRef]
- Wang, J.; Bai, X.; Zhao, J.; Gao, Z. Carbon Nanotubes Enhance RPC Bending Fatigue Performanc. J. Build. Mater. 2020, 23, 1345–1349. [Google Scholar]
- Liu, G.; Zhang, H.; Liu, J.; Xu, S.; Chen, Z. Experimental Study on the Salt Freezing Durability of Multi-Walled Carbon Nanotube Ultra-High-Performance Concrete. Materials 2022, 15, 3188. [Google Scholar] [CrossRef]
- Souza, D.J.; Yamashita, L.Y.; Dranka, F.; Medeiros, M.H.F.; Medeiros-Junior, R.A. Repair Mortars Incorporating Multiwalled Carbon Nanotubes: Shrinkage and Sodium Sulfate Attack. J. Mater. Civ. Eng. 2017, 29, 04017246. [Google Scholar] [CrossRef]
- Cheng, X.; Tian, W.; Gao, J.; Guo, J.; Wang, X. Grey Entropy Analysis of Strength and Void Structure of Carbon Nanotubes Concrete under the Coupling of Sulfate Attack and Freeze-Thaw Cycles. Constr. Build. Mater. 2022, 358, 129462. [Google Scholar] [CrossRef]
- Wang, B.-M.; Liu, S.; Han, Y.; Leng, P. Preparation and Durability of Cement-Based Composites Doped with Multi-Walled Carbon Nanotubes. Nanosci. Nanotechnol. Lett. 2015, 7, 411–416. [Google Scholar] [CrossRef]
- Gao, F.; Tian, W.; Wang, Y.; Wang, F. Effect of the Dosage of MWCNT’S on Deterioration Resistant of Concrete Subjected to Combined Freeze–Thaw Cycles and Sulfate Attack. Struct. Concr. 2021, 22, E955–E965. [Google Scholar] [CrossRef]
- Páez-Pavón, A.; García-Junceda, A.; Galán-Salazar, A.; Merodio-Perea, R.G.; Sánchez del Río, J.; Lado-Touriño, I. Microstructure and Electrical Conductivity of Cement Paste Reinforced with Different Types of Carbon Nanotubes. Materials 2022, 15, 7976. [Google Scholar] [CrossRef]
- MacLeod, A.J.N.; Gates, W.P.; Collins, F. Durability Characterisation of Portland Cement–Carbon Nanotube Nanocomposites. Materials 2020, 13, 4097. [Google Scholar] [CrossRef]
- Hawreen, A.; Bogas, J.A.; Dias, A.P.S. On the Mechanical and Shrinkage Behavior of Cement Mortars Reinforced with Carbon Nanotubes. Constr. Build. Mater. 2018, 168, 459–470. [Google Scholar] [CrossRef]
- Hu, Y.; Luo, D.; Li, P.; Li, Q.; Sun, G. Fracture Toughness Enhancement of Cement Paste with Multi-Walled Carbon Nanotubes. Constr. Build. Mater. 2014, 70, 332–338. [Google Scholar] [CrossRef]
- GB/T50080-2016; Standard for Test Methods of Performance. Ministry of Housing and Urban-Rural Construction of the People’s Republic of China. China Construction Industry Press: Beijing, China, 2016.
- GB/T50082-2009; Standard for Test Methods of Long-term Performance and Durability of Ordinary Concrete. Ministry of Housing and Urban-Rural Construction of the People’s Republic of China. China Construction Industry Press: Beijing, China, 2009.
- GB/T50081-2019; Standard for Test Methods of Physical and Mechanical Properties of Concrete. Ministry of Housing and Urban-Rural Construction of the People’s Republic of China. China Construction Industry Press: Beijing, China, 2019.
- Zhang, H.; Liu, W.; Zhang, J.; Liu, F.; Lin, X.; Ji, T. A New Look at the Resistance of Recycled Aggregate Concrete (RAC) to the External Sulfate Attacks: The Influence of the Multiple Mesoscopic Material Phases. J. Build. Eng. 2023, 64, 105653. [Google Scholar] [CrossRef]
- Sarvandani, M.M.; Mahdikhani, M.; Aghabarati, H.; Fatmehsari, M.H. Effect of Functionalized Multi-Walled Carbon Nanotubes on Mechanical Properties and Durability of Cement Mortars. J. Build. Eng. 2021, 41, 102407. [Google Scholar] [CrossRef]
- Zhang, Z.; Zhou, J.; Yang, J.; Zou, Y.; Wang, Z. Understanding of the Deterioration Characteristic of Concrete Exposed to External Sulfate Attack: Insight into Mesoscopic Pore Structures. Constr. Build. Mater. 2020, 260, 119932. [Google Scholar] [CrossRef]
- Bulatović, V.; Melešev, M.; Radeka, M.; Radonjanin, V.; Lukić, I. Evaluation of Sulfate Resistance of Concrete with Recycled and Natural Aggregates. Constr. Build. Mater. 2017, 152, 614–631. [Google Scholar] [CrossRef]
- Zhang, H.; Ji, T.; Liu, H. Performance Evolution of Recycled Aggregate Concrete (RAC) Exposed to External Sulfate Attacks under Full-Soaking and Dry-Wet Cycling Conditions. Constr. Build. Mater. 2020, 248, 118675. [Google Scholar] [CrossRef]
- Fu, J.; Yu, Y. Experimental Study on Pore Characteristics and Fractal Dimension Calculation of Pore Structure of Aerated Concrete Block. Adv. Civ. Eng. 2019, 2019, 8043248. [Google Scholar] [CrossRef]
- Miao, Y.; Lei, C.; Zhang, Y.; Selyutina, N.; Smirnov, I.; Ma, G.; Liu, Y.; Lu, Z. Micro/meso-scale damage analysis of recycled aggregate concrete mixed with glazed hollow beads after high temperatures based on 2D CT images. Constr. Build. Mater. 2023, 365, 130063. [Google Scholar] [CrossRef]
- Liu, G.; Kan, D.; Cao, S.; Chen, Z.; Lyu, Q. Effect of multi-walled carbon nanotube on reactive powder concrete (RPC) performance in sulfate dry-wet cycling environment. Constr. Build. Mater. 2022, 342, 128075. [Google Scholar] [CrossRef]














| Composition | CaO | SiO2 | Al2O3 | Fe2O3 | SO3 | MgO | R2O | K2O | Na2O | P2O5 |
|---|---|---|---|---|---|---|---|---|---|---|
| Cement | 55.32 | 25.44 | 7.06 | 2.89 | 2.77 | 2.25 | 0.88 | 0.67 | 0.49 | - |
| LS | 22.02 | 41.72 | 18.10 | 1.24 | 15.14 | 0.54 | - | 0.35 | 0.14 | 0.37 |
| Diameter (nm) | Length (µm) | Purity (%) | Ash% (wt.%) | Specific Surface Area (m2/g) |
|---|---|---|---|---|
| 40–60 | <10 | >98 | <3 | 60–100 |
| Specimen Number | Cement (kg/m3) | Water (kg/m3) | W/C | Fine Aggregate (kg/m3) | Coarse Aggregates (kg/m3) | MWCNTs (wt.% OPC) | LS (kg/m3) | Water Reducing (%) |
|---|---|---|---|---|---|---|---|---|
| 35-0 | 366 | 160 | 0.35 | 774 | 985 | 0 | 91 | 1.1063 |
| 35-5 | 366 | 160 | 0.35 | 774 | 985 | 0.05 | 91 | 1.1063 |
| 35-10 | 366 | 160 | 0.35 | 774 | 985 | 0.10 | 91 | 1.1063 |
| 35-15 | 366 | 160 | 0.35 | 774 | 985 | 0.15 | 91 | 1.1063 |
| 40-0 | 320 | 160 | 0.40 | 832 | 977 | 0 | 80 | 0.8800 |
| 40-5 | 320 | 160 | 0.40 | 832 | 977 | 0.05 | 80 | 0.8800 |
| 40-10 | 320 | 160 | 0.40 | 832 | 977 | 0.10 | 80 | 0.8800 |
| 40-15 | 320 | 160 | 0.40 | 832 | 977 | 0.15 | 80 | 0.8800 |
| 45-0 | 284 | 160 | 0.45 | 869 | 980 | 0 | 71 | 0.7820 |
| 45-5 | 284 | 160 | 0.45 | 869 | 980 | 0.05 | 71 | 0.7820 |
| 45-10 | 284 | 160 | 0.45 | 869 | 980 | 0.10 | 71 | 0.7820 |
| 45-15 | 284 | 160 | 0.45 | 869 | 980 | 0.15 | 71 | 0.7820 |
| Scanning voltage (kV) | 430 |
| Scanning electric current (mA) | 1.55 |
| Maximum working power (kW) | 0.70 |
| Scanning spacing (mm) | 0.50 |
| 2D pixel size (mm) | 0.127 |
| Enlargement factor | 2.02 |
| Focus–detector distance (mm) | 1380.28 |
| Focus–specimen distance (mm) | 684.60 |
| Integral time (ms) | 50 |
| Enlargement factor | Linear array scanning |
| Specimen Number | Pore Characteristic | Time (Days) | ||
|---|---|---|---|---|
| 0 | 30 | 150 | ||
| 35-0 | Average diameter (mm) | 0.516 | 0.553 | 0.588 |
| Maximum diameter (mm) | 4.838 | 5.942 | 5.58 | |
| Average surface area (mm2) | 2.535 | 2.834 | 3.426 | |
| 35-10 | Average diameter (mm) | 0.672 | 0.668 | 0.646 |
| Maximum diameter (mm) | 6.380 | 5.624 | 6.222 | |
| Average surface area (mm2) | 4.341 | 4.223 | 3.800 | |
| 45-10 | Average diameter (mm) | 0.713 | 0.640 | 0.716 |
| Maximum diameter (mm) | 6.165 | 5.609 | 7.346 | |
| Average surface area (mm2) | 4.681 | 4.143 | 5.330 | |
| Specimen Number | Time (Days) | Proportion of Aperture Distribution (%) | |||
|---|---|---|---|---|---|
| d < 1 mm | 1 mm ≤ d < 3 mm | 3 mm ≤ d < 5 mm | d ≥ 5 mm | ||
| 35-0 | 0 | 89.48 | 10.27 | 0.25 | 0 |
| 30 | 87.91 | 11.79 | 0.28 | 0.02 | |
| 150 | 85.79 | 13.70 | 0.49 | 0.02 | |
| 35-10 | 0 | 81.99 | 16.99 | 0.92 | 0.10 |
| 30 | 81.73 | 17.48 | 0.73 | 0.06 | |
| 150 | 82.82 | 16.55 | 0.58 | 0.05 | |
| 45-10 | 0 | 79.42 | 19.62 | 0.87 | 0.09 |
| 30 | 82.18 | 17.09 | 0.70 | 0.03 | |
| 150 | 78.18 | 20.50 | 1.23 | 0.09 | |
Disclaimer/Publisher’s Note: The statements, opinions and data contained in all publications are solely those of the individual author(s) and contributor(s) and not of MDPI and/or the editor(s). MDPI and/or the editor(s) disclaim responsibility for any injury to people or property resulting from any ideas, methods, instructions or products referred to in the content. |
© 2023 by the authors. Licensee MDPI, Basel, Switzerland. This article is an open access article distributed under the terms and conditions of the Creative Commons Attribution (CC BY) license (https://creativecommons.org/licenses/by/4.0/).
Share and Cite
Zhang, Y.; Qin, Y.; Guo, Z.; Li, D. Research on Performance Deterioration of Multi-Walled Carbon Nanotube–Lithium Slag Concrete under the Coupling Effect of Sulfate Attack and Dry–Wet Cycles. Materials 2023, 16, 5130. https://doi.org/10.3390/ma16145130
Zhang Y, Qin Y, Guo Z, Li D. Research on Performance Deterioration of Multi-Walled Carbon Nanotube–Lithium Slag Concrete under the Coupling Effect of Sulfate Attack and Dry–Wet Cycles. Materials. 2023; 16(14):5130. https://doi.org/10.3390/ma16145130
Chicago/Turabian StyleZhang, Yifei, Yongjun Qin, Zheyi Guo, and Dongjin Li. 2023. "Research on Performance Deterioration of Multi-Walled Carbon Nanotube–Lithium Slag Concrete under the Coupling Effect of Sulfate Attack and Dry–Wet Cycles" Materials 16, no. 14: 5130. https://doi.org/10.3390/ma16145130
APA StyleZhang, Y., Qin, Y., Guo, Z., & Li, D. (2023). Research on Performance Deterioration of Multi-Walled Carbon Nanotube–Lithium Slag Concrete under the Coupling Effect of Sulfate Attack and Dry–Wet Cycles. Materials, 16(14), 5130. https://doi.org/10.3390/ma16145130

