Experimental Validation of Dynamic Response of Small-Scale Metaconcrete Beams at Resonance Vibration
Abstract
1. Introduction
1.1. Metaconcrete
1.2. Scope and Outline of the Work
2. Materials and Specimens
2.1. Concrete Mixture
2.2. Damping Aggregates
2.3. Specimens
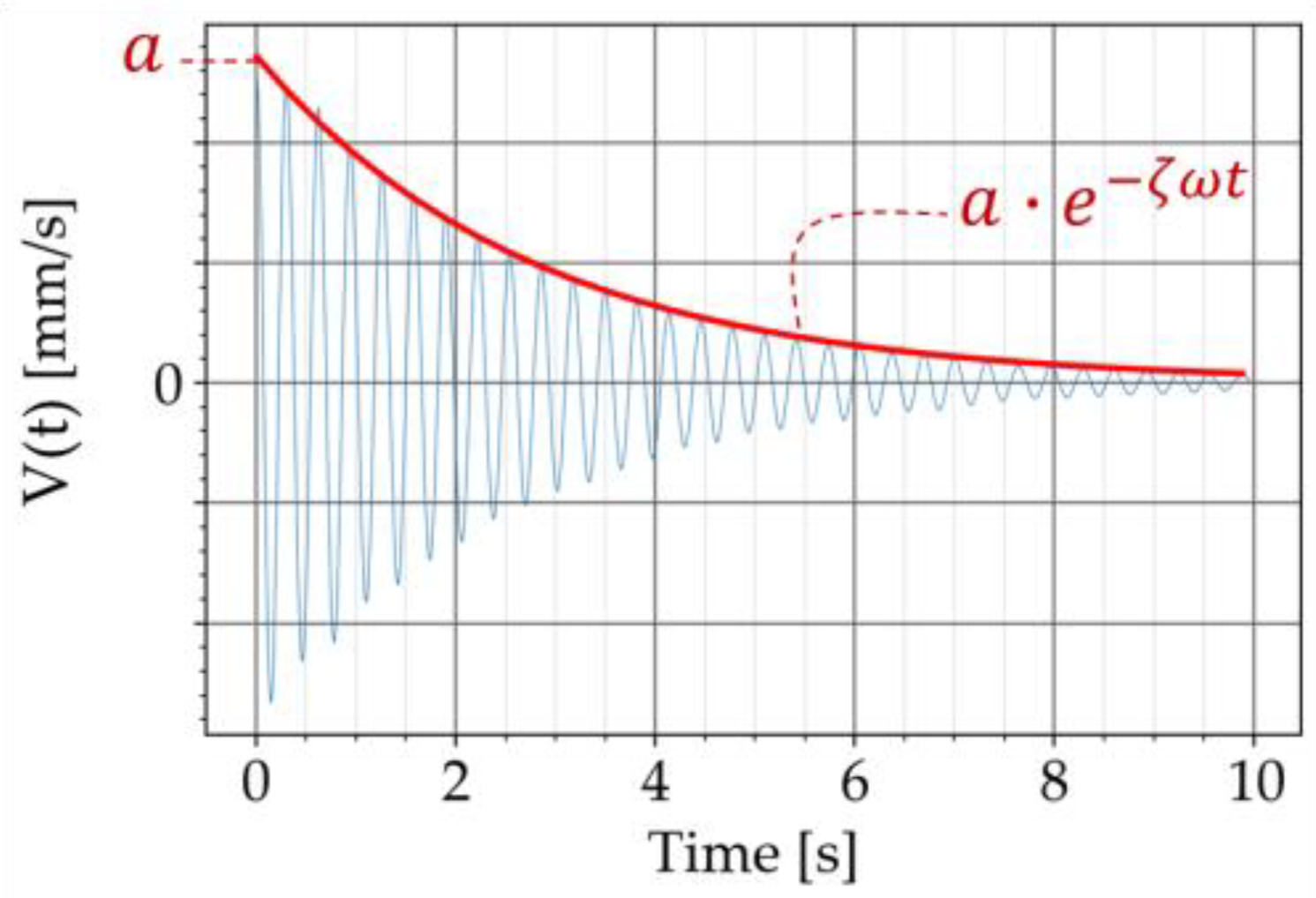
3. Determination of the Damping Ratio with the Free Vibration Test
3.1. Description of the Test Setup and Procedure
3.2. Results and Discussion
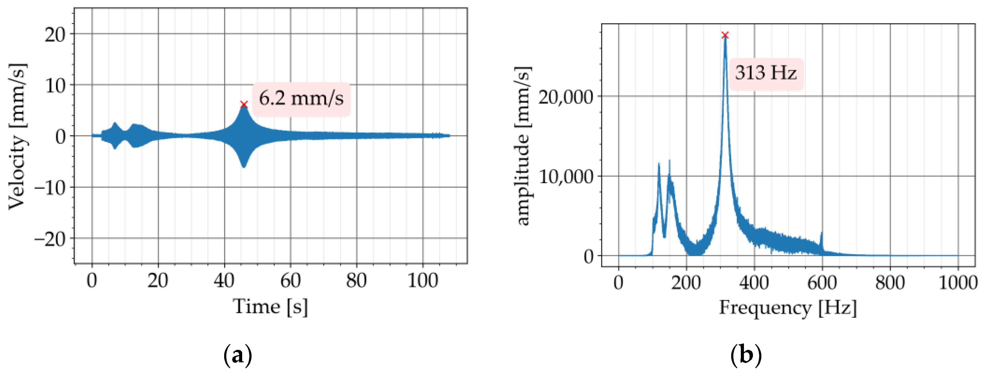
4. Determination of the Vibration Amplitude with the Frequency Sweep Test
4.1. Description of the Test Setup and Procedure
4.2. Results and Discussion
5. Conclusions
Author Contributions
Funding
Institutional Review Board Statement
Informed Consent Statement
Data Availability Statement
Acknowledgments
Conflicts of Interest
References
- Olson, D.W.; Wolf, S.F.; Hook, J.M. The tacoma narrows bridge collapse. Phys. Today 2015, 68, 64–65. [Google Scholar] [CrossRef]
- Petersen, C. Schwingungsdämpfer im Ingenieurbau; Maurer Soehne GmbH & Co. KG: Munich, Germany, 2001. [Google Scholar]
- Frahm, H. Device for Damping Vibration of Bodies. U.S. Patent 989,958, 30 October 1909. [Google Scholar]
- Den Hartog, J. Mechanical Vibrations, 3rd ed.; McGraw-Hill: New York, NY, USA, 1947. [Google Scholar]
- Warburton, G.; Ayorinde, E. Optimum absorber parameters for simple systems. Earthq. Eng. Struct. Dyn. 1980, 8, 197–217. [Google Scholar] [CrossRef]
- Warburton, G. Optimum absorber parameters for various combinations of response and excitation parameters. Earthq. Eng. Struct. Dyn. 1982, 10, 381–401. [Google Scholar] [CrossRef]
- Abe, M.; Fujino, Y. Dynamic characterization of multiple tuned mass dampers and some design formulas. Earthq. Eng. Struct. Dyn. 1994, 23, 813–835. [Google Scholar] [CrossRef]
- Yamaguchi, H.; Harnpornchai, N. Fundamental characteristics of Multiple Tuned Mass Dampers for suppressing harmonically forced oscillations. Earthq. Eng. Struct. Dyn. 1993, 22, 51–62. [Google Scholar] [CrossRef]
- Igusa, T.; Xu, K. Dynamic characteristics of multiple substructures with closely spaced frequencies. Earthq. Eng. Struct. Dyn. 1992, 21, 1059–1070. [Google Scholar]
- Igusa, T.; Achenbach, J.D.; Min, K.-W. Resonance Characteristics of Connected Subsystems: Theory and Simple Configurations. J. Sound Vib. 1991, 146, 407–421. [Google Scholar] [CrossRef]
- Igusa, T.; Achenbach, J.D.; Min, K.-W. Resonance Characteristics of Connected Subsystems: General Configurations. J. Sound Vib. 1991, 146, 423–437. [Google Scholar] [CrossRef]
- Ansari, M.; Zacharias, C.; Koenke, C. Metaconcrete: An Experimental Study on the Impact of the Core-Coating Inclusions on Mechanical Vibration. Materials 2023, 16, 1836. [Google Scholar] [CrossRef] [PubMed]
- Wasler, R.M. Complex Mediums II: Beyond Linear Isotropic Dielectrics. Electromagn. Metamater. 2001, 4467, 1–15. [Google Scholar]
- Mitchell, S.J. Metaconcrete: Engineered Aggregates for Enhanced Dynamic Performance. Ph.D. Thesis, California Institute of Technology, Pasadena, CA, USA, 2016. [Google Scholar]
- Briccola, D.; Ortiz, M.; Pandolfi, A. Experimental Validation of Metaconcrete Blast Mittigation Properties. J. Appl. Mech. 2017, 84, 031001. [Google Scholar] [CrossRef]
- Miranda, E.J.P., Jr.; Angelin, A.F.; Silva, F.M.; Dos Santos, J.M.C. Passive vibration control using a metaconcrete thin plate. Cerâmica 2019, 65, 27–33. [Google Scholar] [CrossRef]
- Briccola, D.; Tomasin, M.; Netti, T.; Pandolfi, A. The Influence of a Lattice-Like Pattern of Inclusions on the Attenuation Properties of Metaconcrete. Front. Mater. 2019, 6, 35. [Google Scholar] [CrossRef]
- Briccola, D.; Cuni, M.; Juli, A.D.; Ortiz, M.; Pandolfi, A. Experimental Validation of the Attenuation Properties in the Sonic Range of Metaconcrete Containing Two Types of Resonant Inclusions. Exp. Mech. 2021, 61, 515–532. [Google Scholar] [CrossRef]
- Briccola, D.; Pandolfi, A. Analysis on the Dynamic Wave Attenuation Properties of Metaconcrete Considering a Quasi-Random Arrangement of Inclusions. Front. Mater. 2021, 7, 615189. [Google Scholar] [CrossRef]
- Kaewunruen, S.; Li, D.; Chen, Y.; Xian, Z. Enhancement of Dynamic Damping in Eco-Friendly Railway Concrete Sleepers Using Waste-Tyre Crumb Rubber. Materials 2018, 11, 1169. [Google Scholar] [CrossRef] [PubMed]
- Razak, H.; Choi, F.C. The effect of corrosion on the natural frequency and modal damping of reinforced concrete beams. Eng. Struct. 2001, 23, 1126–1133. [Google Scholar] [CrossRef]
- Gaul, L.; Schmidt, A. Experimental Determination and Modeling of Material Damping. In Schwingungsdämpfung: Modellbildung, Numerische Umsetzung, Experimentelle Verfahren, Praxisrelevante Passive und Adaptive Anwendungen; VDI Verlag GmbH: Wiesloch, Germany, 2007. [Google Scholar]
- Botelho, E.; Campos, A.; de Barros, E.; Pardini, L.; Rezende, M. Damping behavior of continuous fiber/metal composite materials by the free vibration method. Compos. Part B Eng. 2005, 37, 255–263. [Google Scholar] [CrossRef]
- Rogers, G.L. Dynamics of Framed Structures; John Wiley & Sons, Inc.: Hoboken, NJ, USA, 1959. [Google Scholar]
- Gasquet, C.; Witomski, P. Fourier Analysis and Applications; Springer: New York, NY, USA, 1999. [Google Scholar]
- SciPy documentation-Fourier Transforms, The SciPy Community, 28 June 2023. Available online: https://docs.scipy.org/doc/scipy/tutorial/fft.html (accessed on 12 July 2023).
- Petersen, C.; Werkle, H. Dynamik der Baukonstruktionen, 2nd ed.; Springer Vieweg: Berlin/Heidelberg, Germany, 2017. [Google Scholar]
- Chopra, A.K. Dynamics of Structures, 5th ed.; Pearson Education: London, UK, 2020. [Google Scholar]

















| Component | Volume Fraction (%) | Volume (dm3/m3) | Unit Mass (kg/dm3) | Mass (kg/m3) |
|---|---|---|---|---|
| Aggregates | ||||
| 0~2 mm | 35 | 229 | 2.65 | 608 |
| 2~8 mm | 65 | 426 | 2.60 | 1108 |
| Sum | 100 | 655 | 1716 | |
| Chosen W/C: | 0.45 | |||
| Water | 189 | |||
| Cement | 420 | |||
| Sum | 609 | |||
| Total sum | 2325 |
| Size | Stainless-Steel Core | Silicone Coating | Overall | Overall | |
|---|---|---|---|---|---|
| Diameter (mm) | Mass (gr) | Thickness (mm) | Diameter (mm) | Volume (mm3) | |
| K7 | 8 | 2.14 | 3 | 14 | 1437 |
| K9 | 10 | 4.19 | 3 | 16 | 2145 |
| Component | Material | Density (kg/m3) | E (MPa) |
|---|---|---|---|
| Core | Stainless-Steel | 8000 | 200,000 |
| Coating | Silicone | 1040 | 0.024 |
| Specimen | Core-Coating in Concrete | Length (mm) | Section (mm) (Width × Depth) | Mass (gr) | |
|---|---|---|---|---|---|
| Size | |||||
| P720 | - | - | 720 | 60 × 40 | 3980 |
| P720-K7 | K7 | 60 | 720 | 60 × 40 | 4064 |
| P720-K9 | K9 | 40 | 720 | 60 × 40 | 4178 |
| Beam | [Hz] | [%] | [-] | [Hz/min] |
|---|---|---|---|---|
| P720 | 304 | 0.36 | 139 | 258 |
| P720-K7 | 310 | 1.84 | 27 | 7119 |
| P720-K9 | 340 | 2.73 | 18 | 192,667 |
Disclaimer/Publisher’s Note: The statements, opinions and data contained in all publications are solely those of the individual author(s) and contributor(s) and not of MDPI and/or the editor(s). MDPI and/or the editor(s) disclaim responsibility for any injury to people or property resulting from any ideas, methods, instructions or products referred to in the content. |
© 2023 by the authors. Licensee MDPI, Basel, Switzerland. This article is an open access article distributed under the terms and conditions of the Creative Commons Attribution (CC BY) license (https://creativecommons.org/licenses/by/4.0/).
Share and Cite
Ansari, M.; Tartaglione, F.; Koenke, C. Experimental Validation of Dynamic Response of Small-Scale Metaconcrete Beams at Resonance Vibration. Materials 2023, 16, 5029. https://doi.org/10.3390/ma16145029
Ansari M, Tartaglione F, Koenke C. Experimental Validation of Dynamic Response of Small-Scale Metaconcrete Beams at Resonance Vibration. Materials. 2023; 16(14):5029. https://doi.org/10.3390/ma16145029
Chicago/Turabian StyleAnsari, Meisam, Fabiola Tartaglione, and Carsten Koenke. 2023. "Experimental Validation of Dynamic Response of Small-Scale Metaconcrete Beams at Resonance Vibration" Materials 16, no. 14: 5029. https://doi.org/10.3390/ma16145029
APA StyleAnsari, M., Tartaglione, F., & Koenke, C. (2023). Experimental Validation of Dynamic Response of Small-Scale Metaconcrete Beams at Resonance Vibration. Materials, 16(14), 5029. https://doi.org/10.3390/ma16145029

