Characterization of Structural, Optical, Corrosion, and Mechanical Properties of HfO2 Thin Films Deposited Using Pulsed DC Magnetron Sputtering
Abstract
1. Introduction
2. Materials and Methods
3. Results
3.1. Structural Characterisation of the HfO2
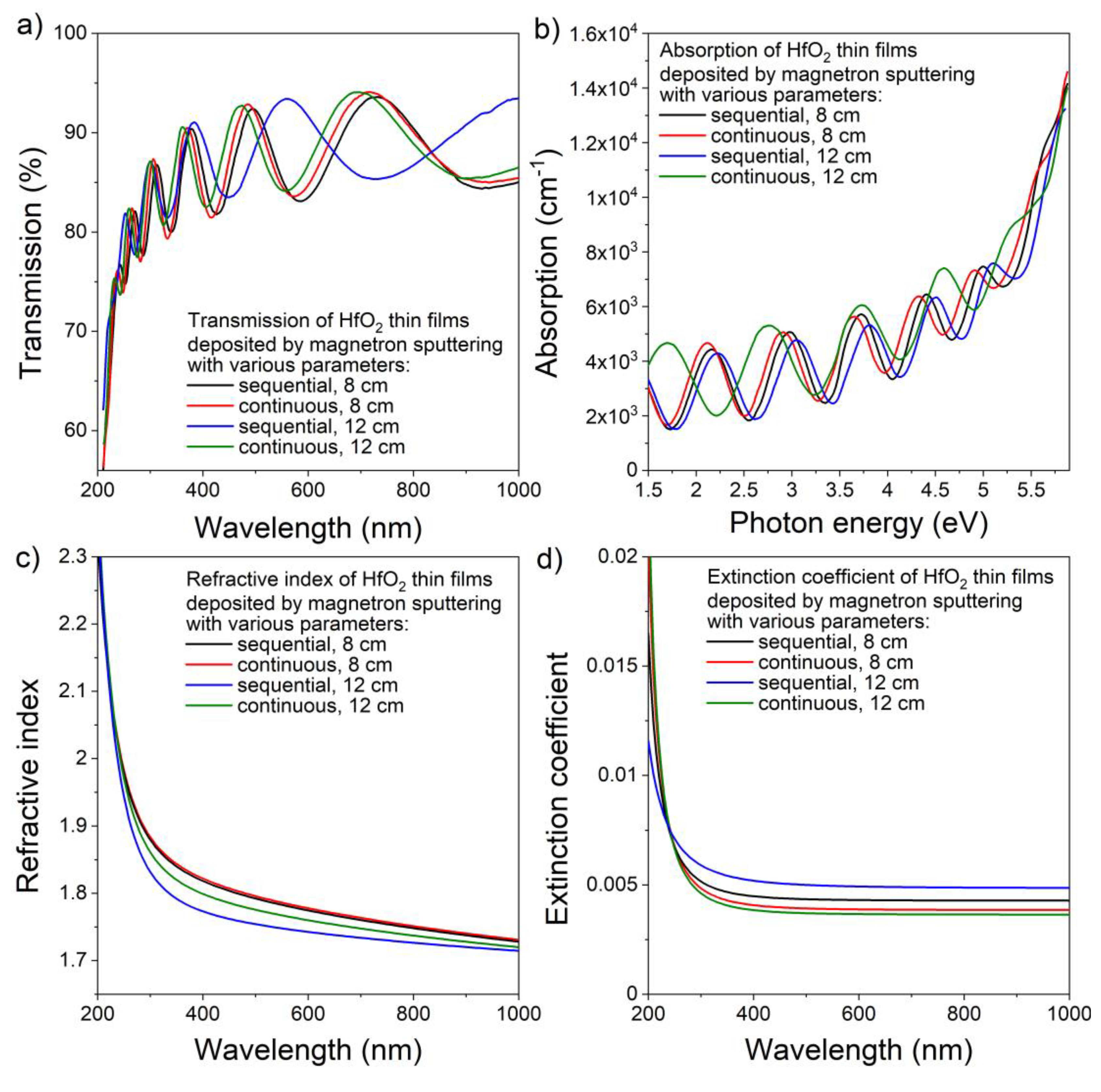
3.2. Optical and Electrical Properties of HfO2 Thin Films
3.3. Corrosion Resistance and Mechanical Properties of HfO2 Thin Films
- -
- The type of magnetron powering from sequential to continuous to change the value of Young’s modulus;
- -
- The target–substrate distance to control the hardness.
4. Summary
Author Contributions
Funding
Institutional Review Board Statement
Informed Consent Statement
Data Availability Statement
Conflicts of Interest
References
- Gu, J.; Wei, H.; Ren, F.; Fan, Q.; Xu, G.; Chen, X.; Song, S.; Dou, S.; Zhao, J.; Li, Y. Fabrication and performances of double-sided HfO2 anti-reflection films with ultra-high infrared transmittance. J. Alloys Compd. 2021, 858, 158337. [Google Scholar] [CrossRef]
- Mazur, M.; Wojcieszak, D.; Domaradzki, J.; Kaczmarek, D.; Poniedziałek, A.; Domanowski, P. Investigation of microstructure, micromechanical and optical properties of HfTiO4 thin films prepared by magnetron co-sputtering. Mater. Res. Bull. 2015, 72, 116–122. [Google Scholar] [CrossRef]
- Khan, S.B.; Zhang, Z.; Lee, S.L. Annealing influence on optical performance of HfO2 thin films. J. Alloys Compd. 2020, 816, 152552. [Google Scholar] [CrossRef]
- Al-Kuhaili, M.F. Optical properties of hafnium oxide thin films and their application in energy-efficient windows. Opt. Mater. 2004, 27, 383–387. [Google Scholar] [CrossRef]
- Vargas, M.; Murphy, N.R.; Ramana, C.V. Structure and optical properties of nanocrystalline hafnium oxide thin films. Opt. Mater. 2014, 37, 621–628. [Google Scholar] [CrossRef]
- Zhang, X.Y.; Han, J.; Wang, Y.T.; Ruan, Y.J.; Wu, W.Y.; Wuu, D.S.; Zuo, J.; Lai, F.M.; Lien, S.Y.; Zhu, W.Z. Effect on passivation mechanism and properties of HfO2/crystalline-Si interface under different annealing atmosphere. Sol. Energy Mater. Sol. Cell. 2023, 257, 112384. [Google Scholar] [CrossRef]
- Lin, W.K.; Liu, K.C.; Chang, S.T.; Li, C.S. Room Temperature Fabricated Transparent Amorphous Indium Zinc Oxide Based Thin Film Transistor Using High-κ HfO2 as Gate Insulator. Thin Solid Films 2012, 520, 3079–3083. [Google Scholar] [CrossRef]
- Ryu, H.; Kim, S. Effects of Oxygen Precursor on Resistive Switching Properties of CMOS Compatible HfO2-Based RRAM. Metals 2021, 11, 1350. [Google Scholar] [CrossRef]
- Rituerto Sin, J.; Neville, A.; Emami, N. Corrosion and Tribocorrosion of Hafnium in Simulated Body Fluids. J. Biomed. Mater. Res. Part B Appl. Biomater. 2014, 102, 1157–1164. [Google Scholar] [CrossRef]
- Pourbaix, M. Atlas of Electrochemical Equilibria in Aqueous Solutions, 1st ed.; Pergamon Press: Oxford, UK; Cebelcor: Brussels, Belgium, 1966. [Google Scholar]
- Daubert, J.S.; Hill, G.T.; Gotsch, H.N.; Gremaud, A.P.; Ovental, J.S.; Williams, P.S.; Oldham, C.J.; Parsons, G.N. Corrosion Protection of Copper Using Al2O3, TiO2, ZnO, HfO2, and ZrO2 Atomic Layer Deposition. ACS Appl. Mater. Interfaces 2017, 9, 4192–4201. [Google Scholar] [CrossRef]
- Fusco, M.A.; Woodward, I.R.; Oldham, C.J.; Parsons, G.N. Enhanced Corrosion Protection of Copper in Salt Environments with Nanolaminate Ceramic Coatings Deposited by Atomic Layer Deposition. ESC Trans. 2018, 85, 683–691. [Google Scholar]
- Dinu, M.; Wang, K.; Mouele, E.S.M.; Parau, A.C.; Vladescu, A.; Liang, X.; Braic, V.; Petrik, L.F.; Braic, M. Effects of Film Thickness of ALD-Deposited Al2O3, ZrO2 and HfO2 Nano-Layers on the Corrosion Resistance of Ti(N,O)-Coated Stainless Steel. Materials 2023, 16, 2007. [Google Scholar] [CrossRef] [PubMed]
- Staišiūnas, L.; Kalinauskas, P.; Juzeliūnas, E.; Grigucevičienė, A.; Leinartas, K.; Niaura, G.; Stanionytė, S.; Selskis, A. Silicon Passivation by Ultrathin Hafnium Oxide Layer for Photoelectrochemical Applications. Front. Chem. 2022, 10, 859023. [Google Scholar] [CrossRef] [PubMed]
- Spajić, I.; Rodič, P.; Šekularac, G.; Lekka, M.; Fedrizzi, L.; Milošev, I. The Effect of Surface Preparation on the Protective Properties of Al2O3 and HfO2 Thin Films Deposited on Cp-Titanium by Atomic Layer Deposition. Electrochim. Acta 2021, 366, 137431. [Google Scholar] [CrossRef]
- Liu, X.; Yang, Q.; Li, Z.; Yuan, W.; Zheng, Y.; Cui, Z.; Yang, X.; Yeung, K.W.K.; Wu, S. A combined coating strategy based on atomic layer deposition for enhancement of corrosion resistance of AZ31 magnesium alloy. Appl. Surf. Sci. 2018, 434, 1101–1111. [Google Scholar] [CrossRef]
- Peron, M.; Cogo, S.; Bjelland, M.; Bin Afif, A.; Dadlani, A.; Greggio, E.; Berto, F.; Torgersen, J. On the Evaluation of ALD TiO2, ZrO2 and HfO2 Coatings on Corrosion and Cytotoxicity Performances. J. Magnes. Alloy. 2021, 9, 1806–1819. [Google Scholar] [CrossRef]
- Staišiūnas, L.; Leinartas, K.; Juzeliūnas, E.; Bučinskienė, D.; Grigucevičienė, A.; Kalinauskas, P.; Selskis, A.; Stanionytė, S. Anticorrosion Performance of Hafnium Oxide Ultrathin Films on AZ31 Magnesium Alloy. Surf. Coat. Technol. 2020, 397, 126046. [Google Scholar] [CrossRef]
- Kaczmarek, D.; Domaradzki, J.; Adamiak, B.; Dora, J.; Maguda, S. A Method of Depositing Films in the Multitarget System for Magnetron Sputtering. PL Patent 221077, 29 February 2016. [Google Scholar]
- Mazur, M.; Kalisz, M.; Wojcieszak, D.; Grobelny, M.; Mazur, P.; Kaczmarek, D.; Domaradzki, J. Determination of structural, mechanical and corrosion properties of Nb2O5 and (NbyCuy−1)Ox thin films deposited on Ti6Al4V alloy substrates for dental implant applications. Mater. Sci. Eng. C 2015, 47, 211–221. [Google Scholar] [CrossRef]
- Zahoor, A.; Xu, C.; Shahid, T.; Anwar, M.A.; Song, Z. Effects of O2 Flux on Structure, Optical Properties and Hydrophobicity of Highly Emissive Antireflective HfO2 Thin Films by Magnetron Sputtering. Vacuum 2022, 197, 110824. [Google Scholar] [CrossRef]
- Vargas, A.L.M.; De Araújo Ribeiro, F.; Hübler, R. Changes in the Young Modulus of Hafnium Oxide Thin Films. Nucl. Instrum. Methods Phys. Res. Sect. B 2015, 365, 362–366. [Google Scholar] [CrossRef]
- Mazur, M.; Howind, T.; Gibson, D.; Kaczmarek, D.; Morgiel, J.; Wojcieszak, D.; Zhu, W.; Mazur, P. Modification of Various Properties of HfO2 Thin Films Obtained by Changing Magnetron Sputtering Conditions. Surf. Coatings Technol. 2017, 320, 426–431. [Google Scholar] [CrossRef]
- Klug, H.P.; Alexander, E.E. X-ray Diffraction Procedures for Polycrystalline and Amorphous Materials, 2nd ed.; John Wiley and Sons: New York, NY, USA, 1974. [Google Scholar]
- Ramana, C.V.; Vargas, M.; Lopez, G.A.; Noor-A-Alam, M.; Hernandez, M.J.; Rubio, E.J. Effect of oxygen/argon gas ratio on the structure and optical properties of sputter-deposited nanocrystalline HfO2 thin films. Ceram. Int. 2015, 41, 6187–6193. [Google Scholar] [CrossRef]
- Swanepoel, R. Determination of the thickness and optical constants of amorphous silicon. J. Phys. E Sci. Inst. 1983, 16, 1214–1222. [Google Scholar] [CrossRef]
- Mansfeld, F. Electrochemical Methods of Corrosion Testing. In Corrosion: Fundamentals, Testing, and Protection; ASM Handbook; Cramer, S.D., Covino, B.S., Jr., Eds.; ASM International: Almere, The Netherlands, 2003; Volume 13A, pp. 446–462. [Google Scholar]
- Oliver, W.C.; Pharr, G.M. An improved technique for determining hardness and elastic modulus using load and displacement sensing indentation experiments. J. Mater. Res. 1992, 7, 1564–1583. [Google Scholar] [CrossRef]
- Jung, Y.-G.; Lawn, B.R.; Martyniuk, M.; Huang, H.; Hu, X.Z. Evaluation of elastic modulus and hardness of thin films by nanoindentation. J. Mater. Res. 2004, 19, 3076–3080. [Google Scholar] [CrossRef]
- ASTM F735-17. Standard Test Method for Abrasion Resistance of Transparent Plastics and Coatings Using the Oscillating Sand Method. ASTM International: West Conshohocken, PA, USA, 2017.
- Pi, N.W.; Zhang, M.; Jiang, J.; Belosludtsev, A.; Vlček, J.; Houška, J.; Meletis, E.I. Microstructure of hard and optically transparent HfO2 films prepared by high-power impulse magnetron sputtering with a pulsed oxygen flow control. Thin Solid Films 2016, 619, 239–249. [Google Scholar] [CrossRef]
- ASTM-65-1142. Powder Diffraction File; Joint Committee on Powder Diffraction Standards. ASTM: Philadelphia, PA, USA, 1967.
- Ramadoss, A.; Kim, S.J. Synthesis and characterization of HfO2 nanoparticles by sonochemical approach. J. Alloys Compd. 2012, 544, 115–119. [Google Scholar] [CrossRef]
- Belo, G.S.; Nakagomi, F.; Minko, A.; da Silva, S.W.; Morais, P.C.; Buchanan, D.A. Phase transition in sputtered HfO2 thin films: A qualitative Raman study. Appl. Surf. Sci. 2016, 261, 727–729. [Google Scholar] [CrossRef]
- Tan, T.; Liu, Z.; Lu, H.; Liu, W.; Tian, H. Structure and optical properties of HfO2 thin films on silicon after rapid thermal annealing. Opt. Mater. 2010, 32, 432–435. [Google Scholar] [CrossRef]
- Schroder, D.K. Semiconductor Material and Device Characterization, 3rd ed.; A Wiley-Interscience Publication: New York, NY, USA, 2006. [Google Scholar]
- Mazur, M.; Pastuszek, R.; Wojcieszak, D.; Kaczmarek, D.; Obstarczyk, A.; Lubańska, A. Effect of Thickness on Optoelectronic Properties of ITO Thin Films. Circuit World 2022, 48, 149–159. [Google Scholar] [CrossRef]
- Tapily, K.; Jakes, J.E.; Stone, D.S.; Shrestha, P.; Gu, D.; Baumgart, H.; Elmustafa, A.A. Nanoindentation investigation of HfO2 and Al2O3 films grown by atomic layer deposition. J. Electrochem. Soc. 2008, 155, H545. [Google Scholar] [CrossRef]
- Pietruszka, R.; Witkowski, B.S.; Zimowski, S.; Stapinski, T.; Godlewski, M. Tribological study of hafnium dioxide and aluminium oxide films grown by atomic layer deposition on glass substrate. Thin Solid Films 2020, 709, 138191. [Google Scholar] [CrossRef]
- Vankatachalam, D.K.; Bradby, J.E.; Saleh, M.N.; Ruffell, S.; Elliman, R.G. Nanomechanical properties of sputter-deposited HfO2 and HfxSi1-xO2 thin films. J. Appl. Phys. 2011, 110, 043527. [Google Scholar] [CrossRef]
- Tapily, K.; Jakes, J.E.; Gu, D.; Baumgart, H.; Elmustafa, A.A. Nanomechanical study of amorphous and polycrystalline ALD HfO2 thin films. Int. J. Surf. Sci. Eng. 2011, 5, 193–204. [Google Scholar]








| MS Type | Target–Substrate Distance (cm) | Time of Powering Break (s) | Sputtering Time (min) | Power (W) | Sputtering Pressure (mbar) | Oxygen Flow (sccm) |
|---|---|---|---|---|---|---|
| sequential | 8 | 1 | 180 | 450 | 1.2 × 10−2 | 18 |
| 12 | 360 | |||||
| continuous | 8 | - | 90 | |||
| 12 | 180 |
| Thin Film | MS Process | Target–Substrate Distance (cm) | D (nm) | d (nm) | dPDF (nm) |
|---|---|---|---|---|---|
| m-HfO2 | sequential | 8 | 6.9 | 0.3160 | 0.3145 |
| m-HfO2 | continuous | 8.4 | 0.3155 | ||
| m-HfO2 | sequential | 12 | 6.3 | 0.3159 | |
| m-HfO2 | continuous | 7.5 | 0.3156 |
| Thin Film | MS Process | Target–Substrate Distance (cm) | icorr (A/cm2) | Ecorr (V) |
|---|---|---|---|---|
| HfO2 | sequential | 8 | 3.63 × 10−8 | 0.052 |
| continuous | 1.26 × 10−9 | −0.410 | ||
| sequential | 12 | 3.09 × 10−8 | 0.542 | |
| continuous | 4.33 × 10−9 | 0.663 | ||
| as-received sample Ti6Al4V | 6.10 × 10−5 | −1.188 | ||
| Thin Film | MS Process | Target–Substrate Distance (cm) | Hardness (GPa) | Elastic Modulus (GPa) |
|---|---|---|---|---|
| HfO2 | Sequential | 8 | 7.12 ± 0.12 | 93.3 ± 2.1 |
| Continuous | 7.07 ± 0.09 | 108.3 ± 3.4 | ||
| Sequential | 12 | 6.45 ± 0.10 | 88.8 ± 2.6 | |
| Continuous | 6.27 ± 0.10 | 108.0 ± 3.1 |
Disclaimer/Publisher’s Note: The statements, opinions and data contained in all publications are solely those of the individual author(s) and contributor(s) and not of MDPI and/or the editor(s). MDPI and/or the editor(s) disclaim responsibility for any injury to people or property resulting from any ideas, methods, instructions or products referred to in the content. |
© 2023 by the authors. Licensee MDPI, Basel, Switzerland. This article is an open access article distributed under the terms and conditions of the Creative Commons Attribution (CC BY) license (https://creativecommons.org/licenses/by/4.0/).
Share and Cite
Mańkowska, E.; Mazur, M.; Kalisz, M.; Grobelny, M.; Domaradzki, J.; Wojcieszak, D. Characterization of Structural, Optical, Corrosion, and Mechanical Properties of HfO2 Thin Films Deposited Using Pulsed DC Magnetron Sputtering. Materials 2023, 16, 5005. https://doi.org/10.3390/ma16145005
Mańkowska E, Mazur M, Kalisz M, Grobelny M, Domaradzki J, Wojcieszak D. Characterization of Structural, Optical, Corrosion, and Mechanical Properties of HfO2 Thin Films Deposited Using Pulsed DC Magnetron Sputtering. Materials. 2023; 16(14):5005. https://doi.org/10.3390/ma16145005
Chicago/Turabian StyleMańkowska, Ewa, Michał Mazur, Małgorzata Kalisz, Marcin Grobelny, Jarosław Domaradzki, and Damian Wojcieszak. 2023. "Characterization of Structural, Optical, Corrosion, and Mechanical Properties of HfO2 Thin Films Deposited Using Pulsed DC Magnetron Sputtering" Materials 16, no. 14: 5005. https://doi.org/10.3390/ma16145005
APA StyleMańkowska, E., Mazur, M., Kalisz, M., Grobelny, M., Domaradzki, J., & Wojcieszak, D. (2023). Characterization of Structural, Optical, Corrosion, and Mechanical Properties of HfO2 Thin Films Deposited Using Pulsed DC Magnetron Sputtering. Materials, 16(14), 5005. https://doi.org/10.3390/ma16145005

