Enhanced Energy Storage Performance and Efficiency in Bi0.5(Na0.8K0.2)0.5TiO3-Bi0.2Sr0.7TiO3 Relaxor Ferroelectric Ceramics via Domain Engineering
Abstract
1. Introduction
2. Materials and Methods
3. Results and Discussion
3.1. Phase Evolution and Microstructure
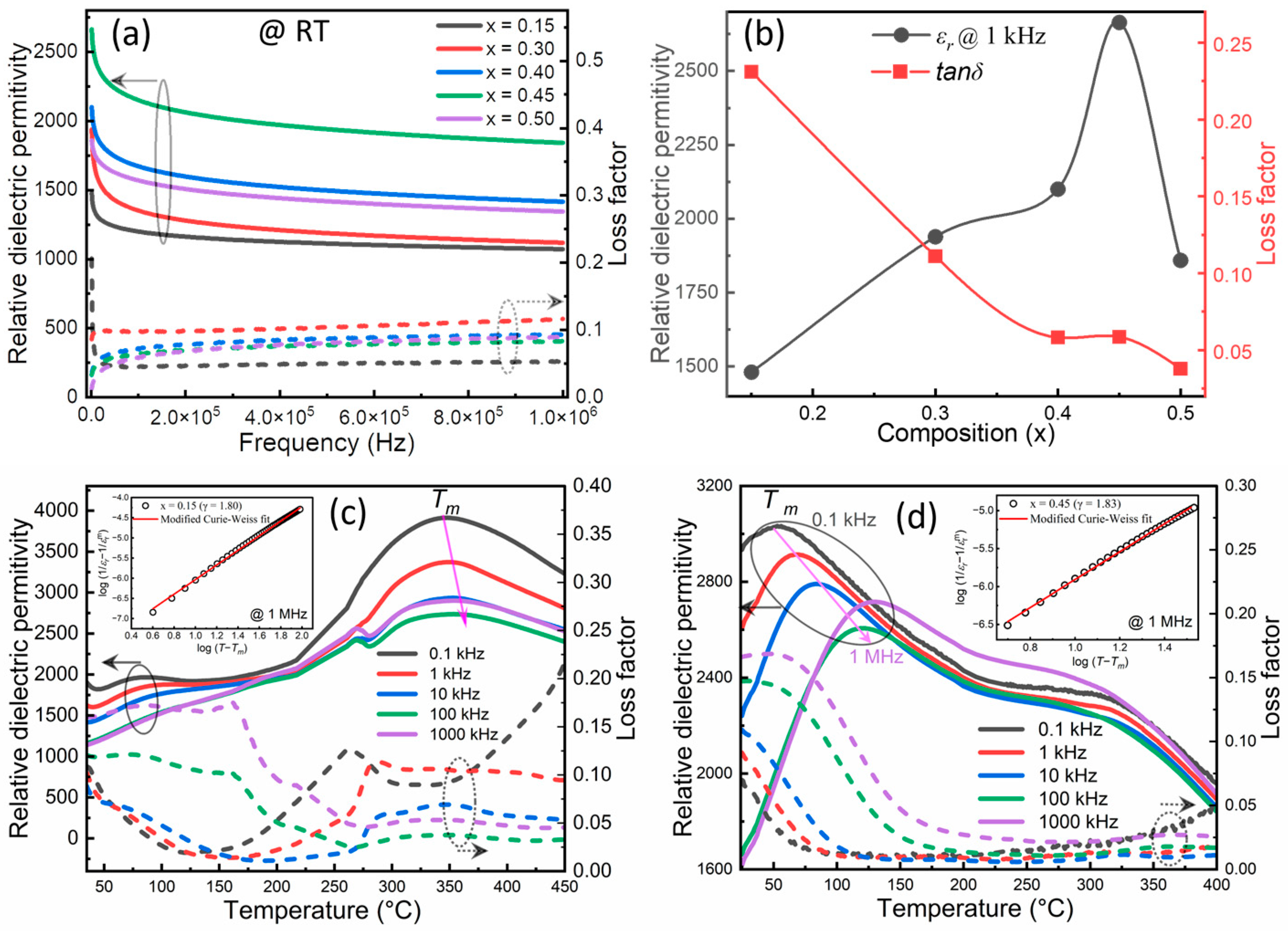
3.2. Dielectric Properties and Relaxor Behavior
3.3. FE-RFE Transformation, Domain Evolution, and Energy Storage Performance
4. Conclusions
Author Contributions
Funding
Institutional Review Board Statement
Informed Consent Statement
Data Availability Statement
Conflicts of Interest
References
- Shen, Y.; Zhang, X.; Li, M.; Lin, Y.; Nan, C.-W. Polymer Nanocomposite Dielectrics for Electrical Energy Storage. Natl. Sci. Rev. 2017, 4, 23–25. [Google Scholar] [CrossRef]
- Yao, Z.; Song, Z.; Hao, H.; Yu, Z.; Cao, M.; Zhang, S.; Lanagan, M.T.; Liu, H. Homogeneous/Inhomogeneous-Structured Dielectrics and Their Energy-Storage Performances. Adv. Mater. 2017, 29, 1601727. [Google Scholar] [CrossRef]
- Palneedi, H.; Peddigari, M.; Hwang, G.-T.; Jeong, D.-Y.; Ryu, J. High-Performance Dielectric Ceramic Films for Energy Storage Capacitors: Progress and Outlook. Adv. Funct. Mater. 2018, 28, 1803665. [Google Scholar] [CrossRef]
- Li, Q.; Chen, L.; Gadinski, M.R.; Zhang, S.; Zhang, G.; Li, H.U.; Iagodkine, E.; Haque, A.; Chen, L.-Q.; Jackson, T.N.; et al. Flexible High-Temperature Dielectric Materials from Polymer Nanocomposites. Nature 2015, 523, 576–579. [Google Scholar] [CrossRef]
- Kumar, N.; Ionin, A.; Ansell, T.; Kwon, S.; Hackenberger, W.; Cann, D. Multilayer Ceramic Capacitors Based on Relaxor BaTiO3-Bi(Zn1/2Ti1/2)O3 for Temperature Stable and High Energy Density Capacitor Applications. Appl. Phys. Lett. 2015, 106, 252901. [Google Scholar] [CrossRef]
- Li, J.; Li, F.; Xu, Z.; Zhang, S. Multilayer Lead-Free Ceramic Capacitors with Ultrahigh Energy Density and Efficiency. Adv. Mater. 2018, 30, 1802155. [Google Scholar] [CrossRef]
- Chen, Q.; Shen, Y.; Zhang, S.; Zhang, Q.M. Polymer-Based Dielectrics with High Energy Storage Density. Annu. Rev. Mater. Res. 2015, 45, 433–458. [Google Scholar] [CrossRef]
- Xie, A.; Zuo, R.; Qiao, Z.; Fu, Z.; Hu, T.; Fei, L. NaNbO3-(Bi0.5 Li0.5 )TiO3 Lead-Free Relaxor Ferroelectric Capacitors with Superior Energy-Storage Performances via Multiple Synergistic Design. Adv. Energy Mater. 2021, 11, 2101378. [Google Scholar] [CrossRef]
- Li, T.; Jiang, X.; Li, J.; Xie, A.; Fu, J.; Zuo, R. Ultrahigh Energy-Storage Performances in Lead-Free Na0.5 Bi0.5 TiO3 -Based Relaxor Antiferroelectric Ceramics through a Synergistic Design Strategy. ACS Appl. Mater. Interfaces 2022, 14, 22263–22269. [Google Scholar] [CrossRef]
- Li, B.; Yan, Z.; Zhou, X.; Qi, H.; Koval, V.; Luo, X.; Luo, H.; Yan, H.; Zhang, D. Achieving Ultrahigh Energy Storage Density of La and Ta Codoped AgNbO3 Ceramics by Optimizing the Field-Induced Phase Transitions. ACS Appl. Mater. Interfaces 2023, 15, 4246–4256. [Google Scholar] [CrossRef]
- Yang, Z.; Du, H.; Jin, L.; Poelman, D. High-Performance Lead-Free Bulk Ceramics for Electrical Energy Storage Applications: Design Strategies and Challenges. J. Mater. Chem A Mater. 2021, 9, 18026–18085. [Google Scholar] [CrossRef]
- Okhay, O.; Vilarinho, P.M.; Tkach, A. Structure, Microstructure, and Dielectric Response of Polycrystalline Sr1-XZnxTiO3 Thin Films. Coatings 2023, 13, 165. [Google Scholar] [CrossRef]
- Pu, Y.; Wang, W.; Guo, X.; Shi, R.; Yang, M.; Li, J. Enhancing the Energy Storage Properties of Ca0.5 Sr0.5 TiO3—Based Lead-Free Linear Dielectric Ceramics with Excellent Stability through Regulating Grain Boundary Defects. J. Mater. Chem. C Mater. 2019, 7, 14384–14393. [Google Scholar] [CrossRef]
- Chauhan, V.; Wang, B.-X.; Ye, Z.-G. Structure, Antiferroelectricity and Energy-Storage Performance of Lead Hafnate in a Wide Temperature Range. Materials 2023, 16, 4144. [Google Scholar] [CrossRef]
- Zhu, L.-F.; Deng, S.; Zhao, L.; Li, G.; Wang, Q.; Li, L.; Yan, Y.; Qi, H.; Zhang, B.-P.; Chen, J.; et al. Heterovalent-Doping-Enabled Atom-Displacement Fluctuation Leads to Ultrahigh Energy-Storage Density in AgNbO3-Based Multilayer Capacitors. Nat. Commun. 2023, 14, 1166. [Google Scholar] [CrossRef] [PubMed]
- Moradi, P.; Taheri-Nassaj, E.; Yourdkhani, A.; Mykhailovych, V.; Diaconu, A.; Rotaru, A. Enhanced Energy Storage Performance in Reaction-Sintered AgNbO3 Antiferroelectric Ceramics. Dalton Trans. 2023, 52, 4462–4474. [Google Scholar] [CrossRef] [PubMed]
- An, K.; Li, G.; Fan, T.; Huang, F.; Wang, W.; Wang, J. Enhanced Energy Storage Performance of AgNbO3:XCeO2 by Synergistic Strategies of Tolerance Factor and Density Regulations. Coatings 2023, 13, 534. [Google Scholar] [CrossRef]
- Zhang, M.-H.; Ding, H.; Egert, S.; Zhao, C.; Villa, L.; Fulanović, L.; Groszewicz, P.B.; Buntkowsky, G.; Kleebe, H.-J.; Albe, K.; et al. Tailoring High-Energy Storage NaNbO3-Based Materials from Antiferroelectric to Relaxor States. Nat. Commun. 2023, 14, 1525. [Google Scholar] [CrossRef] [PubMed]
- Yang, L.; Kong, X.; Li, F.; Hao, H.; Cheng, Z.; Liu, H.; Li, J.-F.; Zhang, S. Perovskite Lead-Free Dielectrics for Energy Storage Applications. Prog. Mater. Sci. 2019, 102, 72–108. [Google Scholar] [CrossRef]
- Gui, D.-Y.; Ma, X.-Y.; Yuan, H.-D.; Wang, C.-H. Mn- and Yb-Doped BaTiO3-(Na0.5Bi0.5)TiO3 Ferroelectric Relaxor with Low Dielectric Loss. Materials 2023, 16, 2229. [Google Scholar] [CrossRef]
- Shi, H.; Li, K.; Li, F.; Ma, J.; Tu, Y.; Long, M.; Lu, Y.; Gong, W.; Wang, C.; Shan, L. Enhanced Piezoelectricity and Thermal Stability of Electrostrain Performance in BiFeO3-Based Lead-Free Ceramics. Nanomaterials 2023, 13, 942. [Google Scholar] [CrossRef]
- Ji, H.; Wang, D.; Bao, W.; Lu, Z.; Wang, G.; Yang, H.; Mostaed, A.; Li, L.; Feteira, A.; Sun, S.; et al. Ultrahigh Energy Density in Short-Range Tilted NBT-Based Lead-Free Multilayer Ceramic Capacitors by Nanodomain Percolation. Energy Storage Mater. 2021, 38, 113–120. [Google Scholar] [CrossRef]
- Zhang, G.; Zhu, D.; Zhang, X.; Zhang, L.; Yi, J.; Xie, B.; Zeng, Y.; Li, Q.; Wang, Q.; Jiang, S. High-Energy Storage Performance of (Pb0.87 Ba0.1 La0.02 )(Zr0.68 Sn0.24 Ti0.08 )O3 Antiferroelectric Ceramics Fabricated by the Hot-Press Sintering Method. J. Am. Ceram. Soc. 2015, 98, 1175–1181. [Google Scholar] [CrossRef]
- Liu, Z.; Chen, X.; Peng, W.; Xu, C.; Dong, X.; Cao, F.; Wang, G. Temperature-Dependent Stability of Energy Storage Properties of Pb0.97 La0.02 (Zr0.58 Sn0.335 Ti0.085 )O3 Antiferroelectric Ceramics for Pulse Power Capacitors. Appl. Phys. Lett 2015, 106, 262901. [Google Scholar] [CrossRef]
- Yuan, Q.; Li, G.; Yao, F.-Z.; Cheng, S.-D.; Wang, Y.; Ma, R.; Mi, S.-B.; Gu, M.; Wang, K.; Li, J.-F.; et al. Simultaneously Achieved Temperature-Insensitive High Energy Density and Efficiency in Domain Engineered BaTiO3-Bi(Mg0.5Zr0.5)O3 Lead-Free Relaxor Ferroelectrics. Nano Energy 2018, 52, 203–210. [Google Scholar] [CrossRef]
- Zhao, P.; Wang, H.; Wu, L.; Chen, L.; Cai, Z.; Li, L.; Wang, X. High-Performance Relaxor Ferroelectric Materials for Energy Storage Applications. Adv. Energy Mater. 2019, 9, 1803048. [Google Scholar] [CrossRef]
- Asbani, B.; Gagou, Y.; Ben Moumen, S.; Dellis, J.-L.; Lahmar, A.; Amjoud, M.; Mezzane, D.; El Marssi, M.; Rozic, B.; Kutnjak, Z. Large Electrocaloric Responsivity and Energy Storage Response in the Lead-Free Ba(GexTi1−x)O3 Ceramics. Materials 2022, 15, 5227. [Google Scholar] [CrossRef]
- Yin, J.; Zhang, Y.; Lv, X.; Wu, J. Ultrahigh Energy-Storage Potential under Low Electric Field in Bismuth Sodium Titanate-Based Perovskite Ferroelectrics. J. Mater. Chem. A Mater. 2018, 6, 9823–9832. [Google Scholar] [CrossRef]
- Qi, H.; Zuo, R. Linear-like Lead-Free Relaxor Antiferroelectric (Bi0.5 Na0.5 )TiO3-NaNbO3 with Giant Energy-Storage Density/Efficiency and Super Stability against Temperature and Frequency. J. Mater. Chem. A Mater. 2019, 7, 3971–3978. [Google Scholar] [CrossRef]
- Lu, Y.; Zhang, H.; Yang, H.; Fan, P.; Samart, C.; Takesue, N.; Tan, H. SPS-Prepared High-Entropy (Bi0.2Na0.2Sr0.2Ba0.2Ca0.2)TiO3 Lead-Free Relaxor-Ferroelectric Ceramics with High Energy Storage Density. Crystals 2023, 13, 445. [Google Scholar] [CrossRef]
- Jiang, Y.; Niu, X.; Liang, W.; Jian, X.; Shi, H.; Li, F.; Zhang, Y.; Wang, T.; Gong, W.; Zhao, X.; et al. Enhanced Energy Storage Performance in Na0.5Bi0.5TiO3-Based Relaxor Ferroelectric Ceramics via Compositional Tailoring. Materials 2022, 15, 5881. [Google Scholar] [CrossRef] [PubMed]
- Wang, G.; Li, J.; Zhang, X.; Fan, Z.; Yang, F.; Feteira, A.; Zhou, D.; Sinclair, D.C.; Ma, T.; Tan, X.; et al. Ultrahigh Energy Storage Density Lead-Free Multilayers by Controlled Electrical Homogeneity. Energy Env. Sci. 2019, 12, 582–588. [Google Scholar] [CrossRef]
- Pan, H.; Li, F.; Liu, Y.; Zhang, Q.; Wang, M.; Lan, S.; Zheng, Y.; Ma, J.; Gu, L.; Shen, Y.; et al. Ultrahigh-Energy Density Lead-Free Dielectric Films via Polymorphic Nanodomain Design. Science 1979 2019, 365, 578–582. [Google Scholar] [CrossRef]
- Yang, Z.; Wang, B.; Li, Y.; Hall, D.A. Enhancement of Nonlinear Dielectric Properties in BiFeO3-BaTiO3 Ceramics by Nb-Doping. Materials 2022, 15, 2872. [Google Scholar] [CrossRef]
- Wang, D.; Liu, J.; Zeng, M.; Zhang, C.; Li, H.; Yu, H.; Yuan, Y.; Zhang, S. Stabilizing Temperature-capacitance Dependence of (Sr, Pb, Bi)TiO3-Bi4Ti3O12 Solutions for Energy Storage. J. Am. Ceram. Soc. 2019, 102, 4029–4037. [Google Scholar] [CrossRef]
- Wendari, T.P.; Zulhadjri. Emriadi Observation of Relaxor Ferroelectric Behavior and Energy Storage Performances in Sr1.25Bi2.75Nb1.25Ti1.75O12 Aurivillius Ceramic Synthesized by Molten Salt Method. J. Solid State Chem. 2023, 325, 124150. [Google Scholar] [CrossRef]
- Luo, C.; Zheng, X.; Zheng, P.; Du, J.; Niu, Z.; Zhang, K.; Bai, W.; Fan, Q.; Zheng, L.; Zhang, Y. Realizing Excellent Energy Storage Performances in Tetragonal Tungsten Bronze Ceramics via a B-Site Engineering Strategy. J. Alloys Compd. 2023, 933, 167809. [Google Scholar] [CrossRef]
- Li, F.; Hou, X.; Wang, J.; Zeng, H.; Shen, B.; Zhai, J. Structure-Design Strategy of 0–3 Type (Bi0.32Sr0.42Na0.20)TiO3/MgO Composite to Boost Energy Storage Density, Efficiency and Charge-Discharge Performance. J. Eur. Ceram. Soc. 2019, 39, 2889–2898. [Google Scholar] [CrossRef]
- Liu, N.; Liang, R.; Zhou, Z.; Dong, X. Designing Lead-Free Bismuth Ferrite-Based Ceramics Learning from Relaxor Ferroelectric Behavior for Simultaneous High Energy Density and Efficiency under Low Electric Field. J. Mater. Chem. C Mater. 2018, 6, 10211–10217. [Google Scholar] [CrossRef]
- Wu, Y.; Fan, Y.; Liu, N.; Peng, P.; Zhou, M.; Yan, S.; Cao, F.; Dong, X.; Wang, G. Enhanced Energy Storage Properties in Sodium Bismuth Titanate-Based Ceramics for Dielectric Capacitor Applications. J. Mater. Chem. C Mater. 2019, 7, 6222–6230. [Google Scholar] [CrossRef]
- Hu, Q.; Tian, Y.; Zhu, Q.; Bian, J.; Jin, L.; Du, H.; Alikin, D.O.; Shur, V.Y.; Feng, Y.; Xu, Z.; et al. Achieve Ultrahigh Energy Storage Performance in BaTiO3-Bi(Mg1/2Ti1/2)O3 Relaxor Ferroelectric Ceramics via Nano-Scale Polarization Mismatch and Reconstruction. Nano Energy 2020, 67, 104264. [Google Scholar] [CrossRef]
- Sayyed, S.; Acharya, S.A.; Kautkar, P.; Sathe, V. Structural and Dielectric Anomalies near the MPB Region of Na0.5 Bi0.5 TiO3-SrTiO3 Solid Solution. RSC Adv. 2015, 5, 50644–50654. [Google Scholar] [CrossRef]
- Ma, W.; Zhu, Y.; Marwat, M.A.; Fan, P.; Xie, B.; Salamon, D.; Ye, Z.-G.; Zhang, H. Enhanced Energy-Storage Performance with Excellent Stability under Low Electric Fields in BNT-ST Relaxor Ferroelectric Ceramics. J. Mater. Chem. C Mater. 2019, 7, 281–288. [Google Scholar] [CrossRef]
- Shi, L.N.; Wang, Y.G.; Ren, Z.H.; Jain, A.; Jiang, S.S.; Chen, F.G. Significant Improvement in Electrical Characteristics and Energy Storage Performance of NBT-Based Ceramics. Ceram. Int. 2022, 48, 26973–26983. [Google Scholar] [CrossRef]
- Kong, X.; Yang, L.; Cheng, Z.; Zhang, S. Bi-modified SrTiO3-based Ceramics for High-temperature Energy Storage Applications. J. Am. Ceram. Soc. 2020, 103, 1722–1731. [Google Scholar] [CrossRef]
- Wei, T.; Liu, K.; Fan, P.; Lu, D.; Ye, B.; Zhou, C.; Yang, H.; Tan, H.; Salamon, D.; Nan, B.; et al. Novel NaNbO3-Sr0.7Bi0.2TiO3 Lead-Free Dielectric Ceramics with Excellent Energy Storage Properties. Ceram. Int. 2021, 47, 3713–3719. [Google Scholar] [CrossRef]
- Pham, K.-N.; Hussain, A.; Ahn, C.W.; Kim, W.; Jeong, S.J.; Lee, J.-S. Giant Strain in Nb-Doped Bi0.5(Na0.82K0.18)0.5TiO3 Lead-Free Electromechanical Ceramics. Mater. Lett. 2010, 64, 2219–2222. [Google Scholar] [CrossRef]
- Pattipaka, S.; James, A.R.; Dobbidi, P. Dielectric, Piezoelectric and Variable Range Hopping Conductivity Studies of Bi0.5(Na, K)0.5TiO3 Ceramics. J. Electron. Mater. 2018, 47, 3876–3890. [Google Scholar] [CrossRef]
- Ullah, A.; Ahn, C.W.; Hussain, A.; Lee, S.Y.; Kim, J.S.; Kim, I.W. Effect of Potassium Concentration on the Structure and Electrical Properties of Lead-Free Bi0.5 (Na,K)0.5 TiO3-BiAlO3 Piezoelectric Ceramics. J. Alloys Compd. 2011, 509, 3148–3154. [Google Scholar] [CrossRef]
- Sumang, R.; Cann, D.P.; Kumar, N.; Bongkarn, T. Large Strain in Lead-Free Piezoelectric (1 − x − y)Bi0.5Na0.5TiO3-XBi0.5K0.5TiO3-YBi0.5Li0.5TiO3 System near MPB Prepared via the Combustion Technique. Ceram. Int. 2015, 41, S127–S135. [Google Scholar] [CrossRef]
- Fernandez-Benavides, D.; Gutierrez-Perez, A.; Benitez-Castro, A.; Ayala-Ayala, M.; Moreno-Murguia, B.; Muñoz-Saldaña, J. Comparative Study of Ferroelectric and Piezoelectric Properties of BNT-BKT-BT Ceramics near the Phase Transition Zone. Materials 2018, 11, 361. [Google Scholar] [CrossRef] [PubMed]
- Gupta, S.K.; McQuade, R.; Gibbons, B.; Mardilovich, P.; Cann, D.P. Electric Field-Induced Strain in Sr(Hf0.5Zr0.5)O3-Modified Bi0.5(Na0.8 K0.2)0.5 TiO3 Piezoelectric Ceramics. J. Appl. Phys. 2020, 127, 074104. [Google Scholar] [CrossRef]
- Pattipaka, S.; James, A.R.; Dobbidi, P. Enhanced Dielectric and Piezoelectric Properties of BNT-KNNG Piezoelectric Ceramics. J. Alloys Compd. 2018, 765, 1195–1208. [Google Scholar] [CrossRef]
- Tong, X.-Y.; Song, M.-W.; Zhou, J.-J.; Wang, K.; Guan, C.-L.; Liu, H.; Fang, J.-Z. Enhanced Energy Storage Properties in Nb-Modified Bi0.5Na0.5TiO3-SrTiO3 Lead-Free Electroceramics. J. Mater. Sci. Mater. Electron. 2019, 30, 5780–5790. [Google Scholar] [CrossRef]
- Jaita, P.; Saenkam, K.; Rujijanagul, G. Improvements in Piezoelectric and Energy Harvesting Properties with a Slight Change in Depolarization Temperature in Modified BNKT Ceramics by a Simple Technique. RSC Adv. 2023, 13, 3743–3758. [Google Scholar] [CrossRef]
- Chu, B.; Hao, J.; Li, P.; Li, Y.; Li, W.; Zheng, L.; Zeng, H. High-Energy Storage Properties over a Broad Temperature Range in La-Modified BNT-Based Lead-Free Ceramics. ACS Appl. Mater. Interfaces 2022, 14, 19683–19696. [Google Scholar] [CrossRef]
- Jaita, P.; Watcharapasorn, A.; Cann, D.P.; Jiansirisomboon, S. Dielectric, Ferroelectric and Electric Field-Induced Strain Behavior of Ba(Ti0.90Sn0.10)O3-Modified Bi0.5(Na0.80K0.20)0.5TiO3 Lead-Free Piezoelectrics. J. Alloys Compd. 2014, 596, 98–106. [Google Scholar] [CrossRef]
- Zhang, H.; Zhou, J.; Shen, J.; Yang, X.; Wu, C.; Han, K.; Zhao, Z.; Chen, W. Enhanced Piezoelectric Property and Promoted Depolarization Temperature in Fe Doped Bi1/2(Na0.8K0.2)1/2TiO3 Lead-Free Ceramics. Ceram. Int. 2017, 43, 16395–16402. [Google Scholar] [CrossRef]
- Huang, Y.; Zhao, C.; Wu, B.; Wu, J. Multifunctional BaTiO3 -Based Relaxor Ferroelectrics toward Excellent Energy Storage Performance and Electrostrictive Strain Benefiting from Crossover Region. ACS Appl. Mater. Interfaces 2020, 12, 23885–23895. [Google Scholar] [CrossRef]
- Sun, Z.; Wang, Z.; Tian, Y.; Wang, G.; Wang, W.; Yang, M.; Wang, X.; Zhang, F.; Pu, Y. Progress, Outlook, and Challenges in Lead-Free Energy-Storage Ferroelectrics. Adv. Electron. Mater 2020, 6, 1900698. [Google Scholar] [CrossRef]
- Shvartsman, V.V.; Lupascu, D.C. Lead-Free Relaxor Ferroelectrics. J. Am. Ceram. Soc. 2012, 95, 1–26. [Google Scholar] [CrossRef]
- Liu, G.; Wang, Y.; Han, G.; Gao, J.; Yu, L.; Tang, M.; Li, Y.; Hu, J.; Jin, L.; Yan, Y. Enhanced Electrical Properties and Energy Storage Performances of NBT-ST Pb-Free Ceramics through Glass Modification. J. Alloys Compd. 2020, 836, 154961. [Google Scholar] [CrossRef]
- Uchino, K.; Nomura, S.; Cross, L.E.; Jang, S.J.; Newnham, R.E. Electrostrictive Effect in Lead Magnesium Niobate Single Crystals. J. Appl. Phys. 1980, 51, 1142–1145. [Google Scholar] [CrossRef]
- Li, Q.; Wang, C.; Yadav, A.K.; Fan, H. Large Electrostrictive Effect and Energy Storage Density in MnCO3 Modified Na0.325Bi0.395Sr0.245□0.035TiO3 Lead-Free Ceramics. Ceram. Int. 2020, 46, 3374–3381. [Google Scholar] [CrossRef]
- Wu, J.; Mahajan, A.; Riekehr, L.; Zhang, H.; Yang, B.; Meng, N.; Zhang, Z.; Yan, H. Perovskite Srx(Bi1-xNa0.97-xLi0.03)0.5TiO3 Ceramics with Polar Nano Regions for High Power Energy Storage. Nano Energy 2018, 50, 723–732. [Google Scholar] [CrossRef]
- Yan, Y.; Zeng, X.; Deng, T.; Chen, F.; Yang, L.; He, Z.; Jin, L.; Liu, G. Rheological, Mechanical, and Electrical Properties of Sr0.7 Bi0.2 TiO3 Modified BaTiO3 Ceramic and Its Composites. J. Am. Ceram. Soc. 2023, 106, 3052–3065. [Google Scholar] [CrossRef]
- Nayak, S.; Venkateshwarlu, S.; Budisuharto, A.S.; Jørgensen, M.R.V.; Borkiewicz, O.; Beyer, K.A.; Pramanick, A. Effect of A-site Substitutions on Energy Storage Properties of BaTiO3-BiScO3 Weakly Coupled Relaxor Ferroelectrics. J. Am. Ceram. Soc. 2019, 102, 5919–5933. [Google Scholar] [CrossRef]
- Cao, W.P.; Li, W.L.; Dai, X.F.; Zhang, T.D.; Sheng, J.; Hou, Y.F.; Fei, W.D. Large Electrocaloric Response and High Energy-Storage Properties over a Broad Temperature Range in Lead-Free NBT-ST Ceramics. J. Eur. Ceram. Soc. 2016, 36, 593–600. [Google Scholar] [CrossRef]
- Jabeen, N.; Hussain, A.; Qaiser, M.A.; Ali, J.; Rehman, A.; Sfina, N.; Ali, G.A.; Tirth, V. Enhanced Energy Storage Performance by Relaxor Highly Entropic (Ba0.2Na0.2K0.2La0.2Bi0.2)TiO3 and (Ba0.2Na0.2K0.2Mg0.2Bi0.2)TiO3 Ferroelectric Ceramics. Appl. Sci. 2022, 12, 12933. [Google Scholar] [CrossRef]







| Composition | Pr (µC/cm2) | Pmax (µC/cm2) | Ec (kV/cm) | EBD (kV/cm) | Wrec (J/cm3) | η (%) |
|---|---|---|---|---|---|---|
| x = 0.15 | 19.89 | 31.46 | 16.66 | 57.42 | 0.20 | 18.67 |
| x = 0.30 | 3.95 | 32.18 | 5.59 | 68.18 | 0.57 | 52.02 |
| x = 0.40 | 0.92 | 23.91 | 2.98 | 74.57 | 0.73 | 85.30 |
| x = 0.45 | 0.78 | 22.5 | 1.58 | 90 | 0.81 | 86.95 |
| x = 0.50 | 0.96 | 17.79 | 2.94 | 71.54 | 0.56 | 85.23 |
Disclaimer/Publisher’s Note: The statements, opinions and data contained in all publications are solely those of the individual author(s) and contributor(s) and not of MDPI and/or the editor(s). MDPI and/or the editor(s) disclaim responsibility for any injury to people or property resulting from any ideas, methods, instructions or products referred to in the content. |
© 2023 by the authors. Licensee MDPI, Basel, Switzerland. This article is an open access article distributed under the terms and conditions of the Creative Commons Attribution (CC BY) license (https://creativecommons.org/licenses/by/4.0/).
Share and Cite
Pattipaka, S.; Choi, H.; Lim, Y.; Park, K.-I.; Chung, K.; Hwang, G.-T. Enhanced Energy Storage Performance and Efficiency in Bi0.5(Na0.8K0.2)0.5TiO3-Bi0.2Sr0.7TiO3 Relaxor Ferroelectric Ceramics via Domain Engineering. Materials 2023, 16, 4912. https://doi.org/10.3390/ma16144912
Pattipaka S, Choi H, Lim Y, Park K-I, Chung K, Hwang G-T. Enhanced Energy Storage Performance and Efficiency in Bi0.5(Na0.8K0.2)0.5TiO3-Bi0.2Sr0.7TiO3 Relaxor Ferroelectric Ceramics via Domain Engineering. Materials. 2023; 16(14):4912. https://doi.org/10.3390/ma16144912
Chicago/Turabian StylePattipaka, Srinivas, Hyunsu Choi, Yeseul Lim, Kwi-Il Park, Kyeongwoon Chung, and Geon-Tae Hwang. 2023. "Enhanced Energy Storage Performance and Efficiency in Bi0.5(Na0.8K0.2)0.5TiO3-Bi0.2Sr0.7TiO3 Relaxor Ferroelectric Ceramics via Domain Engineering" Materials 16, no. 14: 4912. https://doi.org/10.3390/ma16144912
APA StylePattipaka, S., Choi, H., Lim, Y., Park, K.-I., Chung, K., & Hwang, G.-T. (2023). Enhanced Energy Storage Performance and Efficiency in Bi0.5(Na0.8K0.2)0.5TiO3-Bi0.2Sr0.7TiO3 Relaxor Ferroelectric Ceramics via Domain Engineering. Materials, 16(14), 4912. https://doi.org/10.3390/ma16144912

