Abstract
An ammonia sensor based on a delay-line surface acoustic wave (SAW) device is developed in this study by coating the delay line area of the device with a nano-structured molybdenum disulfide (MoS2) sensitive material. A SAW device of 122 MHz was designed and fabricated with a pair of interdigital transducers (IDTs) defined on a 128° y-cut LiNbO3 substrate using photolithography technologies, and the aluminum IDT electrodes were deposited by a DC magnetron sputtering system. By adjusting the pH values of precursor solutions, molybdenum disulfide (MoS2) nanospheres were prepared with various structures using a hydrothermal method. Finally, an NH3 gas sensor with high sensitivity of 4878 Hz/ppm, operating at room temperature, was successfully obtained. The excellent sensitivity performance may be due to the efficient adsorption of NH3 gas molecules on the surfaces of the nanoflower-like MoS2, which has a larger specific surface area and provides more active sites, and results in a larger change in the resonant frequency of the device due to the mass loading effect.
1. Introduction
The development and application of industrial technology have improved the convenience of human life, but they have also brought many new challenges, such as negative impacts on air quality and the ecological environment. There are many kinds of pollutants in the air, among which the dust-like particles floating in the air are called particulate matter (PM). When the suspended particulate matter is PM2.5 (particle size less than or equal to 2.5 microns), it can penetrate the bubbles in the lungs and cause serious harm to human health as the blood circulates in the body, which cannot be ignored. It has been clarified that the main source precursors of PM2.5 are sulfur dioxide, nitrogen oxides, ammonia, etc. [1,2]. The US Occupational Safety and Health Administration (OSHA) has declared that the acceptable average ammonia exposures time is 8 h at 25 ppm and 15 min at 35 ppm [3,4]. If the human body strongly inhales high concentrations of NH3, various symptoms such as tearing, coughing, and dyspnea will appear, and death can be caused under extremely high concentrations of ammonia [5,6].
Ammonia gas (NH3) is commonly used in industrial manufacturing processes. However, when the concentration of NH3 in the air reaches a certain range, of about 15% to 28%, it is explosive. Many kinds of NH3 sensors using various sensitive materials have been developed. For example, metal-oxide sensors, which are current research hotspots, have the advantages of simple operation, low cost, and fast response, but complex synthesis processes and higher operating temperatures are required for better performance, and because of high power needed, their application in the Internet of Things is bound to be limited [7,8,9,10,11]. Therefore, there is an urgent need to study high-performance NH3 sensors operating at room temperature for immediate preventive measures under adverse conditions.
In this study, a SAW device was employed to perform as an ammonia sensor using novel nanostructured molybdenum disulfide (MoS2) as the sensitive layer. In the application of gas sensors, surface acoustic wave devices have the advantages of high sensitivity, low detection limit and operation at room temperature, which can be used to measure the trace concentrations [12,13,14]. In addition, the frequency responses of SAW sensors can support wireless sensing, and also have outstanding performance at room temperature [15].
The resonant frequency f of a surface acoustic wave device is related to the spacing of the interdigital transducer (IDT) electrodes and the wave velocity, with the relationship of f = υ/λ where υ is the wave velocity, λ is the wavelength, and f is the resonant frequency. The 4 times the line width of the electrode (d) can excite the acoustic wave, with a wavelength of λ = 4d. In the design of a SAW gas sensor, the delay line area of the SAW device is coated with a sensitive thin film, and the gas molecules are adsorbed through the sensitive thin film to produce physical changes, which will change the resonant frequency of the SAW device [16,17].
Molybdenum disulfide (MoS2) has a large band gap, a layered structure, semiconductor characteristics, etc. It is an excellent gas-sensing material, with high sensitivity and selectivity when applied as a sensor [18,19]. In addition, studies have shown that the shape, size, and specific surface area of gas-sensing materials also have a great influence on the gas-sensing performance [20]. Therefore, it is of great significance to study the gas-sensing properties of MoS2 with different morphologies for the design of sensor structures. In this study, three kinds of ammonia sensors with different MoS2 morphologies were constructed based on the hydrothermal method, and the gas-sensing properties of MoS2 with three different morphologies for ammonia gas were studied.
2. Materials and Methods
2.1. Preparation of Molybdenum Disulfide Nanospheres
In this study, MoS2 nanospheres, prepared with a simple hydrothermal method, were used as the sensitive materials of the surface acoustic wave gas sensors. Briefly, Na2MoO4 (0.05 M) and C2H5NS (0.15 M) were added to 40 mL of deionized (DI) water and stirred for 30 min to fully dissolve. In order to obtain different MoS2 morphologies, various amounts of HCl were added to adjust the pH values of the solutions, with pH1, pH3, and pH5, respectively, and were then stirred for 10 min to form uniform precursor solutions. Subsequently, the precursor solution was poured into 100 mL of Teflon liner, then loaded into an autoclave reactor and heated to 180 °C in a high-temperature furnace for 20 h. Finally, the obtained powders were washed several times by centrifuge with ethanol and deionized water. After drying at 80 °C for 6 h on a heater platform, various morphologies of MoS2 nanospheres were obtained. The process flow of the hydrothermal method is shown in Figure 1.
Figure 1.
Process flow of the hydrothermal method to prepare MoS2 nanospheres.
2.2. Fabrication of Surface Acoustic Wave Devices
LiNbO3 is a crystal that integrates multiple effects such as piezoelectricity, electro-optic, and nonlinear optics, and has the advantages of high temperature resistance and corrosion resistance. In this study, 128° y-cut LiNbO3 was adopted as the piezoelectric substrate with a wave speed of ≈3900 m/s. The line width of the interdigital transducer (IDT) electrodes of 8 µm was designed to excite the surface acoustic wave with a wavelength of 32 µm, which resulted in a resonant frequency of 122 MHz. Figure 2 shows the fabrication processes of a SAW device. Firstly, the 128° y-cut LiNbO3 substrate was cleaned according to the RCA cleaning processes, and then the photoresist (AZ1500) (1.2 µm) was coated on the substrate using a spinning coater, and heated on a heater platform for soft baking, and then exposed and developed through the usual photolithography processes. In this study, a dual-target DC sputtering system was used to deposit Ti (20 nm) and Al (100 nm) as IDT electrodes, in which the titanium metal film was used as an adhesive layer. The advantage of the double-target sputtering system is that it can continuously deposit multi-layer films without restarting the vacuum chamber, avoiding pollution or oxidation on the films. Therefore, a high-quality SAW device can be obtained through controlling the film quality. Finally, the lift-off process was carried out by immersing the substrate into the acetone solution and shaking using an ultrasonic washing machine to remove the photoresist and unnecessary films to complete the SAW device.
Figure 2.
Fabrication processes of a surface acoustic wave device [21].
2.3. Sensor Fabrication
In this study, a SAW delay line structured device with a resonant frequency of 122 MHz was successfully fabricated on the 128° y-cut LiNbO3 substrate. Then, the MoS2 nanospheres, as the sensitive materials, were spin-coated on the delay line area of the SAW devices. Figure 3 shows the preparation processes of the sensitive layer of the sensor. First, the IDT electrodes of the SAW device were covered with tape. Then, the MoS2 powders were mixed with absolute ethanol at a weight ratio of 1:30, and stirred for 20 min. Then, the MoS2 solution of 1 mL was dropped on the delay line area using a precision dropper, and spun at 1200 rpm for 30 s. Finally, the substrate and the sensitive materials were dried at 90 °C for 6 min. After removing the tape, the sensor device was fabricated. Figure 4 is a schematic diagram of the complete ammonia gas sensor. The SPB-U668 aluminum wire bonder was adopted to connect the SAW sensor and the microstrip line, according to the design rules of the coplanar waveguide (CPW) microstrip line and the impedance calculation of the 50 ohm (PCB) board.
Figure 3.
Fabrication flow chart of a SAW gas sensor based on MoS2 nanospheres.
Figure 4.
Schematic of the complete ammonia gas sensor.
2.4. Material Analysis and Sensor Measurement
The nanostructures of MoS2 will affect the properties of the sensor devices. Therefore, scanning electron microscopy (SEM, JEOL-6700 field emission SEI/BEI type, JEOL, Ltd., Tokyo, Japan), energy-dispersive X-ray spectroscopy (EDX, JEOL, Ltd., Tokyo, Japan), and X-ray diffraction (XRD, Bruker, Billerica, MA, USA) were used to analyze the nanostructures and atomic ratio of MoS2 under different hydrothermal conditions. The frequency response of the SAW sensor was measured using the P9372A Keysight Streamline USB Vector Network Analyzer (Keysight, Santa Rosa, CA, USA).
Gas sensing measurements were performed on a static gas sensing measurement system at room temperature. During the test, a 25% ammonia solution was carried by N2 gas and injected into the vaporizer through a micro-syringe, then mixed with air in a 3 L test chamber to prepare NH3 gas with various concentrations of 5–50 ppm. Finally, the desired concentration of NH3 gas was introduced into the measurement chamber, and the frequency response of the sensor exposed to different concentrations of NH3 gas was recorded by the network analyzer.
3. Results and Discussion
3.1. Performance of the Designed Surface Acoustic Wave Device
The performance of a SAW device can be defined by its figure of merit (FoM), as in Equation (1).
where Q is the quality factor, and K2 is the electromechanical coupling factor of the SAW device. Besides, Q and K2 can be derived from the following Equations (2) and (3).
where f0 is the center frequency of the SAW filter, fH and fL are the upper and low 3-dB frequencies of the SAW filter, respectively. B is the radiated susceptance; Ga is the radiated conductance; and N is the IDT pair number.
In practical applications, it is necessary to pursue SAW devices with high electromechanical coupling factors (K2) and quality factors (Q). However, there are some trade-offs between these two parameters. Therefore, FoM can better demonstrate the advantages and disadvantages of the device during the design process of SAW. In this study, the fabricated SAW device exhibited a Q factor of 180, K2 of 3.29 % and FoM of 5.922.
3.2. Characteristic Analysis of Molybdenum Disulfide
In this experiment, by adjusting the pH values of the precursor solutions, various MoS2 nanospheres were successfully prepared using the hydrothermal method. It is demonstrated that HCl will play an important role in the synthesis of MoS2 [22]. Without HCl, the pH value of the precursor solution was about 6, and no MoS2 powder was produced at this situation. As HCl was added into the precursor solution, MoS2 appeared without any byproduct at pH value of 5. However, as the concentration of HCl increased further, the byproduct MoO2 appeared at pH values of 3 and 1. The X-ray diffractions of obtained MoS2 samples with different pH values were shown in Figure 5. It can be inferred that HCl may enhance the formation of MoS2 and MoO2.
Figure 5.
X-ray diffractions of MoS2 samples obtained from precursor solutions with different pH values.
The concentration of HCl in the reaction solution not only affects the formation of MoS2, but also has a great influence on the microscopic morphology. From the SEM images in Figure 6, it can be found that the nanospheres are formed by flake agglomeration. As the pH value increases, the flake structure becomes more obvious. When the pH value was 5, the structure resembled a nanosphere of a rose. The experimental results show that the morphological control of the product could be achieved by adjusting the concentration of HCl in the reaction solution.
Figure 6.
SEM images of MoS2 microstructures obtained from precursor solutions with different pH values.
From the EDX analysis, it can be clearly observed that there were only Mo and S elements in the MoS2 samples without impurities. Moreover, as the pH value approached neutral, the atomic ratio of Mo and S approached 1:2, as shown in Table 1.
Table 1.
EDX analysis of MoS2 nanospheres obtained from various precursor solutions.
3.3. Analysis of Ammonia Gas Sensor
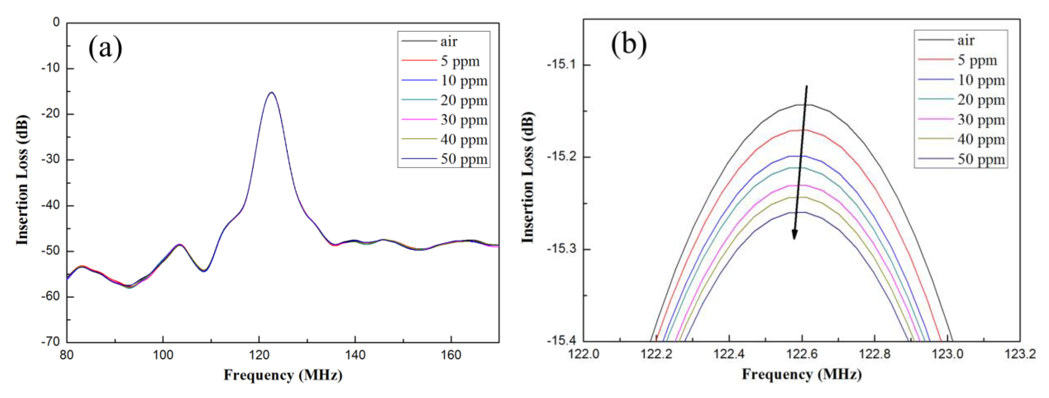
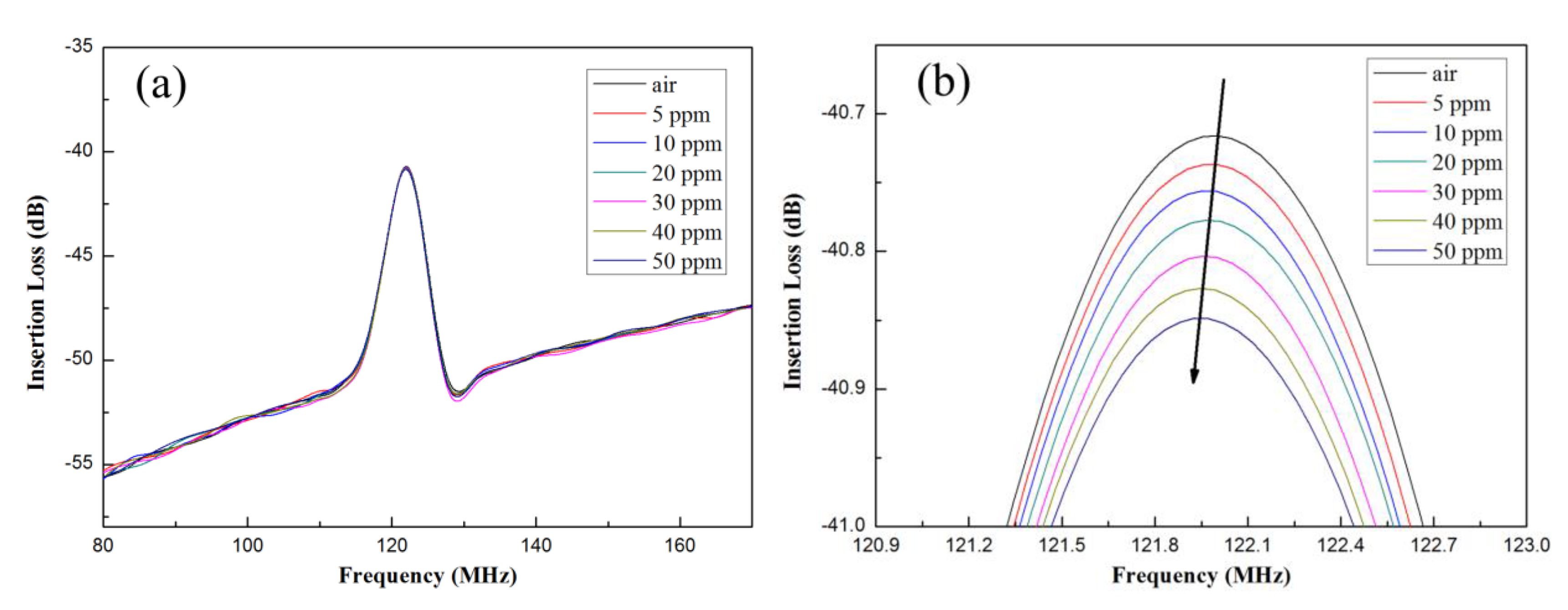
The MoS2 nanospheres obtained from various precursor solutions with pH values of pH1, pH3, and pH5 were coated on the delay line area as the sensitive layers of the SAW gas sensors, and those were defined as sensor−1, sensor−2, and sensor−3. As the gas sensors were exposed to different concentrations of NH3, variations in the frequency response could be observed and shown in Figure 7a for sensor−1, 8a for sensor−2, and 9a for sensor−3. For clarity, the sensor response near the resonant frequency of 122 MHz was zoomed in further, as shown in Figure 7b, Figure 8b and Figure 9b.
Figure 7.
(a) Frequency variations at different ammonia concentrations for sensor−1. (b) Zoomed in near the region of 122 MHz resonant frequency.
Figure 8.
(a) Frequency variations at different ammonia concentrations for sensor−2. (b) Zoomed in near the region of 122 MHz resonant frequency.
Figure 9.
(a) Frequency variations at different ammonia concentrations for sensor−3. (b) Zoomed in near the region of 122 MHz resonant frequency.
The original resonant frequency of all sensors without NH3 gas was around 122 MHz, whereas it shifted toward lower frequencies as the concentration of NH3 gas increased. The frequency shifts for the three sensors are shown in Figure 10. Sensitivity is an important indicator of sensor performance, which refers to the ratio of sensor output variation to measured input variation; its calculation formula is as follows:
where S is the sensitivity, is the change of gas concentration, is the frequency of the gas sensor in air, and is the frequency at which the gas sensor detects the measured gas. From Equation (4), the calculated sensitivities were 1402 Hz/ppm for sensor−1, 2816 Hz/ppm for sensor−2 and 4878 Hz/ppm for sensor−3, respectively. The detection limit could be as low as <1ppm.
Figure 10.
The frequency shifts of the fabricated sensors towards NH3 gas concentrations.
In the SAW sensor, the resonant frequency change (Δf) may be related to mass loading or acoustoelectric interactions, or elastic changes when interacting with target gas molecules [23]. However, the lower value of the electromechanical coupling factor for 128° y-LiNbO3-based SAW sensor is expected to result in a negligible contribution due to the acoustoelectric effect [24]. Therefore, the existence of acoustoelectric interaction can be ruled out in this case. Furthermore, it is essential to point out that mass loading causes the resonant frequency to move towards the lower end (i.e., decreasing the resonant frequency), while the elastic changes cause the resonant frequency to move towards the higher end (i.e., increasing the resonant frequency); that is, the material elasticity can also be ruled out and the change was negligible [24]. From the results obtained, it can be concluded that the frequency shift is owing to the mass loading effect.
The mass loading effect of a sensor can be expressed by the following formula [23,24,25,26]:
where k1 (−3.775 × 10−8 m2 s kg−1) and k2 (−1.73 × 10−8 m2 s kg−1) are the material constants of 128° y−cut LiNbO3 substrate. Δρs is the density change of the sensing layer of the SAW sensor after being exposed to ammonia. Note that both k1 and k2 are negative, so a positive change in Δρs results in a negative value in Δf [27,28,29].
In this study, sensor−3, prepared with MoS2−pH5 as sensitive material, exhibited the best performance as an ammonia sensor. It is known from the literature that nanoflower−like MoS2 has the highest specific surface area, and it is speculated that a larger specific surface area can provide more active sites, thereby obtaining higher ammonia gas−sensing response performances [30,31,32,33]. The resonant frequency of the SAW sensor shows a downward shift as the concentration of NH3 increases. The frequency variation for 5–50 ppm NH3 gas is shown in Table 2 for sensor−3, from which the sensitivity was calculated to be 4878 Hz/ppm. Compared with other works in the literature, this study showed an excellent sensitivity performance [34,35,36,37,38], as shown in Table 3.
Table 2.
Resonant frequency and frequency shifts with different concentrations of NH3 for fabricated MoS2/SAW sensor−3.
Table 3.
Comparisons of NH3 sensing performance of SAW−based sensors with various sensing materials.
4. Conclusions
In this study, SAW devices of 122 MHz were fabricated using the piezoelectric 128° y−cut LiNbO3 as the substrate. MoS2 nanospheres were prepared using the hydrothermal method and coated on the delay line area of SAWs. Finally, an NH3 gas sensor with a high sensitivity of 4878 Hz/ppm was successfully obtained. The reason for the improved sensitivity was due to the efficient adsorption of the target NH3 gas molecules on the surfaces of the nanoflower−like MoS2 sensitive layer, which had a larger specific surface area and provided more active sites, resulting in a more significant change in the resonant frequency of the device due to the mass loading effect.
Author Contributions
Conceptualization, C.-Y.C. and Y.-C.C.; methodology, C.-Y.C.; Formal analysis, C.-Y.C., K.-S.K. and E.-I.L.; Resources, Y.-C.C., K.-S.K. and F.-R.J.; Data curation, C.-Y.C.; Writing—original draft preparation, C.-Y.C.; Writing—review and editing, K.-S.K. and Y.-C.C.; Supervision, Y.-C.C.; Funding acquisition, C.-Y.C. All authors have read and agreed to the published version of the manuscript.
Funding
This research received no external funding.
Institutional Review Board Statement
Not applicable.
Informed Consent Statement
Not applicable.
Data Availability Statement
Not applicable.
Conflicts of Interest
The authors declare no conflict of interest.
References
- Kampa, M.; Castanas, E. Human health effects of air pollution. Environ. Pollut. 2008, 2, 362–367. [Google Scholar] [CrossRef] [PubMed]
- Clappier, A.; Thunis, P.; Beekmann, M.; Putaud, J.; de Meij, A. Impact of SOx, NOx and NH3 emission reductions on PM2. 5 concentrations across Europe: Hints for future measure development. Environ. Int. 2021, 156, 106699. [Google Scholar] [CrossRef]
- Zhou, Y.; Li, X.; Wang, Y.; Tai, H.; Guo, Y. UV Illumination−enhanced molecular ammonia detection based on a ternary−reduced graphene oxide–titanium dioxide–Au composite film at room temperature. Anal. Chem. 2018, 5, 3311–3318. [Google Scholar] [CrossRef] [PubMed]
- Zhang, D.; Yang, Z.; Li, P.; Pang, M.; Xue, Q. Flexible self−powered high−performance ammonia sensor based on Au−decorated MoSe2 nanoflowers driven by single layer MoS2−flake piezoelectric nanogenerator. Nano Energy 2019, 65, 103974. [Google Scholar] [CrossRef]
- Li, H.-Y.; Lee, C.-S.; Kim, D.H.; Lee, J.-H. Flexible room−temperature NH3 sensor for ultrasensitive, selective, and humidity−independent gas detection. ACS Appl. Mater. Interfaces 2018, 33, 27858–27867. [Google Scholar] [CrossRef]
- Kumar, A.; Sanger, A.; Kumar, A.; Chandra, R. Fast response ammonia sensors based on TiO2 and NiO nanostructured bilayer thin films. RSC Adv. 2016, 81, 77636–77643. [Google Scholar] [CrossRef]
- Van Toan, N.; Hung, C.M.; Van Duy, N.; Hoa, N.D.; Le, D.T.T.; Van Hieu, N. Bilayer SnO2–WO3 nanofilms for enhanced NH3 gas sensing performance. Mater. Sci. Eng. B 2017, 224, 163–170. [Google Scholar] [CrossRef]
- Li, P.; Wang, B.; Qin, C.; Han, C.; Sun, L.; Wang, Y. Band−gap−tunable CeO2 nanoparticles for room−temperature NH3 gas sensors. Ceram. Int. 2020, 11, 19232–19240. [Google Scholar] [CrossRef]
- Perrozzi, F.; Emamjomeh, S.M.; Paolucci, V.; Taglieri, G.; Ottaviano, L.; Cantalini, C. Thermal stability of WS2 flakes and gas sensing properties of WS2/WO3 composite to H2, NH3 and NO2. Sens. Actuators B Chem. 2017, 243, 812–822. [Google Scholar] [CrossRef]
- Yan, W.; Hu, M.; Wang, D.; Li, C. Room temperature gas sensing properties of porous silicon/V2O5 nanorods composite. Appl. Surf. Sci. 2015, 346, 216–222. [Google Scholar] [CrossRef]
- Chen, X.; Zhao, S.; Zhou, P.; Cui, B.; Liu, W.; Wei, D.; Shen, Y. Room−temperature NO2 sensing properties and mechanism of CuO nanorods with Au functionalization. Sens. Actuators B Chem. 2021, 328, 129070. [Google Scholar] [CrossRef]
- Jakubik, W.; Powroźnik, P.; Wrotniak, J.; Krzywiecki, M. Theoretical analysis of acoustoelectrical sensitivity in SAW gas sensors with single and bi−layer structures. Sens. Actuators B Chem. 2016, 236, 1069–1074. [Google Scholar] [CrossRef]
- Rana, L.; Gupta, R.; Tomar, M.; Gupta, V. ZnO/ST−Quartz SAW resonator: An efficient NO2 gas sensor. Sens. Actuators B Chem. 2017, 252, 840–845. [Google Scholar] [CrossRef]
- Raj, V.B.; Tomar, M.; Nimal, A.; Sharma, M.U.; Gupta, V. Nano−crystalline SnO2 thin film based surface acoustic wave sensor for selective and fast detection of NO2 gas. Adv. Sci. Lett. 2014, 5–6, 1124–1128. [Google Scholar] [CrossRef]
- Wang, S.-H.; Shen, C.-Y.; Lien, Z.-J.; Wang, J.-H. Nitric oxide sensing properties of a surface acoustic wave sensor with copper−ion−doped polyaniline/tungsten oxide nanocomposite film. Sens. Actuators B Chem. 2017, 243, 1075–1082. [Google Scholar] [CrossRef]
- Jakubik, W.P. Surface acoustic wave−based gas sensors. Thin Solid Films 2011, 520, 986–993. [Google Scholar] [CrossRef]
- Wang, W.; Liu, X.; Mei, S.; Jia, Y.; Liu, M.; Xue, X.; Yang, D. Development of a Pd/Cu nanowires coated SAW hydrogen gas sensor with fast response and recovery. Sens. Actuators B Chem. 2019, 243, 157–164. [Google Scholar] [CrossRef]
- Akbari, E.; Jahanbin, K.; Afroozeh, A.; Yupapin, P.; Buntat, Z. Brief review of monolayer molybdenum disulfide application in gas sensor. Phys. B Condens. Matter 2018, 545, 510–518. [Google Scholar] [CrossRef]
- Chava, R.K.; Do, J.Y.; Kang, M. Hydrothermal growth of two dimensional hierarchical MoS2 nanospheres on one dimensional CdS nanorods for high performance and stable visible photocatalytic H2 evolution. Appl. Surf. Sci. 2018, 433, 240–248. [Google Scholar] [CrossRef]
- Bai, J.; Shen, Y.; Zhao, S.; Chen, Y.; Li, G.; Han, C.; Wei, D.; Yuan, Z.; Meng, F. Flower−like MoS2 hierarchical architectures assembled by 2D nanosheets sensitized with SnO2 quantum dots for high−performance NH3 sensing at room temperature. Sens. Actuators B Chem. 2022, 353, 131191. [Google Scholar] [CrossRef]
- Chung, C.-Y.; Chen, Y.-C.; Chung, C.-J.; Kao, K.-S. The photoluminescence responses of two−dimensional atomic layers of MoS2 excited by surface acoustic wave device. Mod. Phys. Lett. B 2022, 36, 2241004. [Google Scholar] [CrossRef]
- Tang, G.; Zhang, J.; Liu, C.; Zhang, D.; Wang, Y.; Tang, H.; Li, C. Synthesis and tribological properties of flower−like MoS2 microspheres. Ceram. Int. 2014, 40, 11575–11580. [Google Scholar] [CrossRef]
- Ballantine, D., Jr.; White, R.M.; Martin, S.J.; Ricco, A.J.; Zellers, E.; Frye, G.; Wohltjen, H. Acoustic Wave Sensors: Theory, Design and Physico–Chemical Applications; Elsevier: Amsterdam, The Netherlands, 1996. [Google Scholar]
- Morgan, D. Surface Acoustic Wave Filters: With Applications to Electronic Communications and Signal Processing; Academic Press: Cambridge, MA, USA, 2010; p. 9. [Google Scholar]
- Ricco, A.; Martin, S.; Zipperian, T. Surface acoustic wave gas sensor based on film conductivity changes. Sens. Actuators 1985, 8, 319–333. [Google Scholar] [CrossRef]
- Penza, M.; Aversa, P.; Cassano, G.; Wlodarski, W.; Kalantar, K. Layered SAW gas sensor with single−walled carbon nanotube−based nanocomposite coating. Sens. Actuators B Chem. 2007, 127, 168–178. [Google Scholar] [CrossRef]
- Tang, Y.-L.; Li, Z.-J.; Ma, J.-Y.; Su, H.-Q.; Guo, Y.-J.; Wang, L.; Du, B.; Chen, J.-J.; Zhou, W.; Yu, Q.-K. Highly sensitive room−temperature surface acoustic wave (SAW) ammonia sensors based on Co3O4/SiO2 composite films. J. Hazard. Mater. 2014, 280, 127–133. [Google Scholar] [CrossRef]
- Burman, D.; Raha, H.; Manna, B.; Pramanik, P.; Guha, P.K. Substitutional doping of MoS2 for superior gas−sensing applications: A proof of concept. ACS Sens. 2021, 6, 3398–3408. [Google Scholar] [CrossRef]
- Mak, K.F.; Lee, C.; Hone, J.; Shan, J.; Heinz, T.F. Atomically thin MoS2: A new direct−gap semiconductor. Phys. Rev. Lett. 2010, 105, 136805. [Google Scholar] [CrossRef]
- Wang, W.; Zhen, Y.; Zhang, J.; Li, Y.; Zhong, H.; Jia, Z.; Xiong, Y.; Xue, Q.; Yan, Y.; Alharbi, N.S. SnO2 nanoparticles−modified 3D−multilayer MoS2 nanosheets for ammonia gas sensing at room temperature. Sens. Actuators B Chem. 2020, 321, 128471. [Google Scholar] [CrossRef]
- Sharma, S.; Kumar, A.; Kaur, D. Room temperature ammonia gas sensing properties of MoS2 nanostructured thin film. In AIP Conference Proceedings; AIP Publishing LLC: Melville, NY, USA, 2018; p. 030261. [Google Scholar]
- Liu, B.; Chen, L.; Liu, G.; Abbas, A.N.; Fathi, M.; Zhou, C. High−performance chemical sensing using Schottky−contacted chemical vapor deposition grown monolayer MoS2 transistors. ACS Nano 2014, 8, 5304–5314. [Google Scholar] [CrossRef]
- Wenbo, L.; Rong, Q.; Shangjun, Z.; Hong, J.; Cheng, S.; Yueqin, Z. MoS2 with Different Morphologies: Preparation and Gas−sensing Property of NH3. J. Inorg. Mater. 2022, 37, 1135–1140. [Google Scholar]
- Constantinoiu, I.; Miu, D.; Viespe, C. Surface acoustic wave sensors for ammonia detection at room temperature based on SnO2/Co3O4 bilayers. J. Sens. 2019, 2019, 8203810. [Google Scholar] [CrossRef]
- Guo, Y.; Long, G.; Tang, Y.; Wang, J.; Tang, Q.; Zu, X.; Ma, J.; Du, B.; Torun, H.; Fu, Y. Surface acoustic wave ammonia sensor based on SiO2–SnO2 composite film operated at room temperature. Smart Mater. Struct. 2020, 29, 095003. [Google Scholar] [CrossRef]
- Tang, Y.; Ao, D.; Li, W.; Zu, X.; Li, S.; Fu, Y.Q. NH3 sensing property and mechanisms of quartz surface acoustic wave sensors deposited with SiO2, TiO2, and SiO2−TiO2 composite films. Sens. Actuators B Chem. 2018, 254, 1165–1173. [Google Scholar] [CrossRef]
- Xu, X.; Zu, X.; Ao, D.; Yu, J.; Xiang, X.; Xie, W.; Tang, Y.; Li, S.; Fu, Y. NH3−sensing mechanism using surface acoustic wave sensor with AlO (OH) film. Nanomaterials 2019, 9, 1732. [Google Scholar] [CrossRef]
- Zhao, L.; Wang, R.; Cao, Q. Highly Sensitive Surface Acoustic Wave NH3 Gas Sensor Based on TiO2 Film. Sens. Mater. 2020, 32, 4111–4119. [Google Scholar] [CrossRef]
Disclaimer/Publisher’s Note: The statements, opinions and data contained in all publications are solely those of the individual author(s) and contributor(s) and not of MDPI and/or the editor(s). MDPI and/or the editor(s) disclaim responsibility for any injury to people or property resulting from any ideas, methods, instructions or products referred to in the content. |
© 2023 by the authors. Licensee MDPI, Basel, Switzerland. This article is an open access article distributed under the terms and conditions of the Creative Commons Attribution (CC BY) license (https://creativecommons.org/licenses/by/4.0/).









