Next Article in Journal
An Experimental Study on the Impact of Layer Height and Annealing Parameters on the Tensile Strength and Dimensional Accuracy of FDM 3D Printed Parts
Next Article in Special Issue
Tailoring Mechanical and Magnetic Properties in Dual-Phase FeCoNi(CuAl)0.8 High-Entropy Alloy
Previous Article in Journal
Effect of Synchronized Laser Shock Peening on Decreasing Defects and Improving Microstructures of Ti-6Al-4V Laser Joint
Previous Article in Special Issue
Excellent Magnetocaloric Performance of the Fe87Ce13−xBx (x = 5, 6, 7) Metallic Glasses and Their Composite
 
 
Font Type:
Arial Georgia Verdana
Font Size:
Aa Aa Aa
Line Spacing:
Column Width:
Background:
Article

The Effect of Fe Addition on the Curie Temperature and Magnetic Entropy of the Gd45Co50Al5 Amorphous Alloy

1
Chongqing Key Laboratory of Photo-Electric Functional Materials, College of Physics and Electronic Engineering, Chongqing Normal University, Chongqing 401331, China
2
Institute of Materials & Laboratory for Microstructure, Shanghai University, Shanghai 200072, China
*
Authors to whom correspondence should be addressed.
Materials 2023, 16(13), 4571; https://doi.org/10.3390/ma16134571
Submission received: 21 May 2023 / Revised: 18 June 2023 / Accepted: 22 June 2023 / Published: 24 June 2023
(This article belongs to the Special Issue Advances in Amorphous Alloy)

Abstract

The new magnetic refrigeration (MR) technology, which uses the magnetocaloric effect (MCE) of materials for refrigeration, has shown apparent advantages over the compression refrigeration of freon and other gases. Therefore, how to obtain materials with excellent magnetic entropy change near room temperature is of great significance for the realization of MR. In order to achieve high Tc of a Gd-based amorphous alloy, Gd45Co50Al5 amorphous alloy with good room temperature MCE was selected, and a series of Gd45Co50−xFexAl5 (x = 2, 5, 10) amorphous alloys were prepared by adding Fe instead of Co. In this paper, the effect of Fe addition on the Curie temperature, and the magnetic entropy change in the alloys, were studied thoroughly. The results show that the Curie temperature is increased to 281 K by adding 5% Fe elements, which is mainly related to the enhanced 3d-3d interaction of transition elements caused by Fe addition, and the maximum value of magnetic entropy change is 3.24 J/(kg·K) under a field of 5 T. The results are expected to provide guidance for further improving the room temperature MCE of Gd-based amorphous alloys.

1. Introduction

Nowadays, clean and green energy has been touted in many fields due to its advantages of high efficiency and energy saving. In the field of refrigeration, the traditional refrigerator, which is characterized by compressed fluorocarbons and fluorine refrigeration gases, has been unable to meet the needs in the current era of high-quality development due to the disadvantages such as high energy consumption and environmental destruction [1,2,3,4]. By utilizing the magnetocaloric effect (MCE) of materials, that is, the phenomenon that the ferromagnet or paramagnet generate heat change when stimulated by an external magnetic field during adiabatic process, this new magnetic refrigeration (MR) pattern can realize a heat interaction with the exterior and the refrigeration efficiency can reach up to 60% of the Carnot cycle. Compared with the conventional gas compression refrigeration, MR shows the advantages of being more efficient, energy saving and environmentally friendly, therefore, it is considered to be a very advantageous new field [5,6,7,8].
The realization of MR depends on the MCE of materials [1,2]. Therefore, how to obtain large magnetic refrigeration capacity in a large temperature range, especially in the temperature range of room temperature, so as to obtain as much refrigeration efficiency as possible, is the topic issue regarding the application of MR at room temperature [9]. Among the prepared magnetic refrigerants at present, the materials with second-order magnetic phase transition (SOMPT), which are characterized by a continuous magnetic phase transition process, were considered to be the best choice because of their wide range of magnetic entropy change (−ΔSm) region. Among these SOMPT MR materials, amorphous alloys (AM) have gained wide attention [10,11]. AM is in an energy metastable state due to its long-range disorder of the atomic arrangement, thus showing many unique performance advantages, such as good machinability, high corrosion resistance and large resistance to reduce eddy current loss [10,11,12,13,14,15,16,17,18,19,20,21,22]. In addition, AM can be formed within a certain composition range and the magnetic properties can be adjusted continuously with the change in composition, so it is possible for us to design a refrigerant with good MCE performance within a certain temperature range.
Since the −ΔSm of materials are closely related to angular momentum J, rare-earth (RE)-based AM usually show excellent −ΔSm properties [6,7]. However, the Curie temperature (Tc) of RE-based amorphous alloys is generally in a low temperature range, mostly below the cooling temperature of liquid nitrogen [11,12,13,14,15,16,17]. Meanwhile, the AM that are prepared by Gd have the Tc closest to room temperature due to the half-full structure of their 4f layer. Among them, the Curie temperature of Gd50Co50 amorphous alloy reaches 267.5 K, and the peak of magnetic entropy change (−ΔSmpeak) and refrigeration capacity (RC = −ΔSmpeak × δTFWHM means the comprehensive MCE of the material, which can be approximated by the product of the −ΔSmpeak and the temperature interval (δTFWHM) that corresponds to the full width temperature range at the half value of the −ΔSmpeak in the −ΔSm curve) under a field of 5 T, are approximately 4.6 J/(kg·K) and 685.9 J/kg [18,19]. Afterwards, the Tc of Gd-based AM was successfully raised to near room temperature by the addition of the transition elements, Fe and Ni, among which Gd50Co50−xFex (x = 2, 5) and Co50Gd50−x(Fe/Ni)x (x = 1, 2, 3) AM showed the highest Tc of the RE-based AM, which can reach 289 K (Gd50Co45Fe5), 289 K (Co50Gd47Ni3) and 297 K (Co50Gd48Ni2), respectively [20,21,22,23]. However, with the increase in Fe and Ni content, the glass-forming ability (GFA) of these alloys deteriorates significantly, which makes the preparation of AM with higher Tc slightly difficult. The addition of Al can further ameliorate this situation. Gd45Co50Al5 AM not only reduces Gd content to 45%, but also further improves the forming capacity of the AM. However, the only issue is that the Tc of Gd45Co50Al5 AM is only 253 K.
Therefore, in order to further obtain Gd-based AM with Tc at room temperature and a better GFA, a series of Gd45Co50−xFexAl5 (x = 2, 5, 10) AM based on a Gd45Co50Al5 sample were prepared by modulation of the proportion of transition elements through adding Fe instead of Co. The effect of Fe addition on the magnetic properties (Tc and −ΔSmpeak) of the full AM, and the mechanism involved, were studied.

2. Materials and Methods

Samples with the nominal composition of Gd45Co50−xFexAl5 (x = 2, 5, 10) were prepared by melting the mixture of pure Gd, Co, Fe and Al (purity > 99.9 at.%) metals in an arc furnace protected with high-purity argon. Then, the amorphous ribbons were produced by the single roller melt-spinning method with a spinning tangent speed of about 45 m/s. The ribbons with an average thickness about 35 μm were selected as the standard samples for the structure and magnetic test. The amorphous properties were characterized by a X-ray diffractometer with Cu Kα radiation (XRD, PANalytical, Almelo, Holland). The microstructure of the ribbon was observed on a JEM-2010F high resolution electron microscope (HREM) after electrolytic polishing the specimen under the protection of liquid nitrogen (HREM, model JEM-2010F, Tokyo, Japan). The magnetic features, such as Curie temperature and magnetization curves, were performed by the Physical Property Measurement System (PPMS, San Diego, CA, USA) 6000 of Quantum Design.

3. Results and Discussion

The XRD patterns of the Gd45Co50−xFexAl5 (x = 2, 5, 10) as-spun ribbons are shown in Figure 1. The XRD curves do not show significant sharp crystal peaks at the whole measured angle, and only at 2θ = 35° show the representative diffuse scattering peaks that are unique to the disordered structure. The results preliminary judge that the Gd45Co50−xFexAl5 (x = 2, 5, 10) ribbons are amorphous structures.
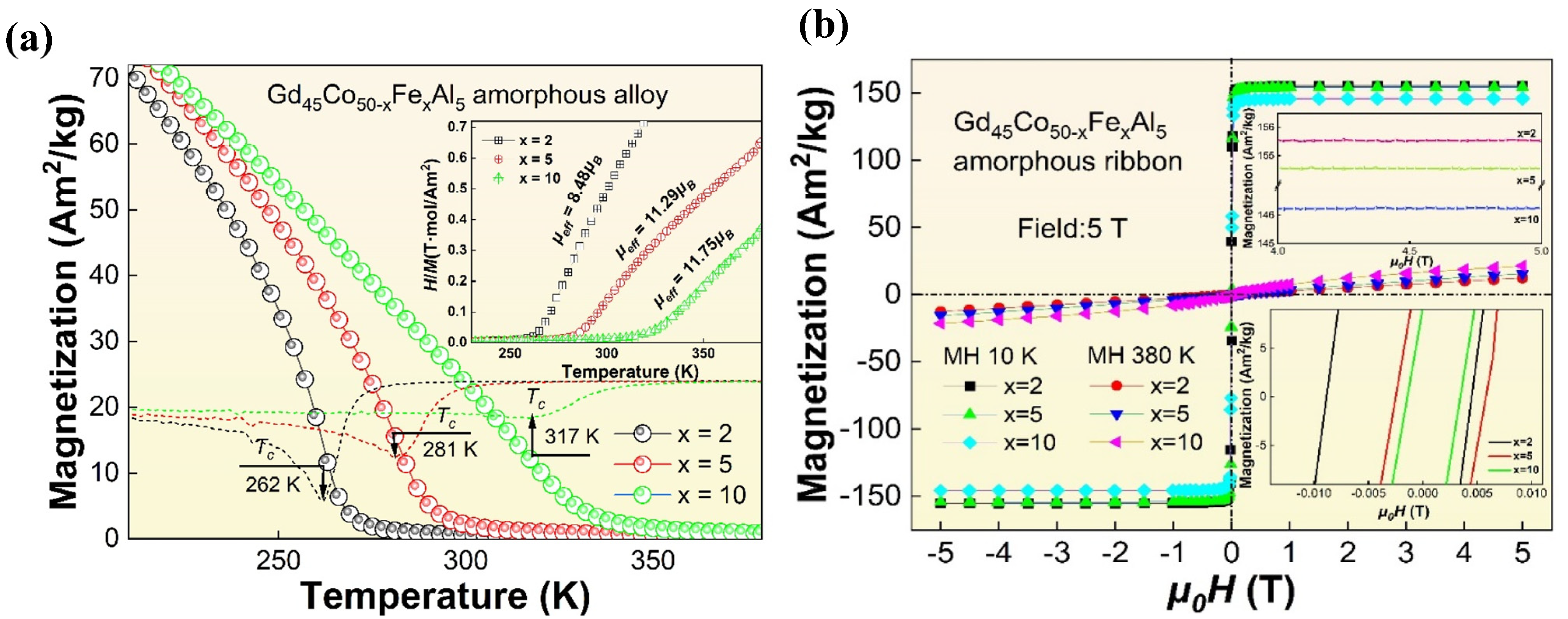
Figure 2a shows the MT diagrams of the Gd45Co50−xFexAl5 (x = 2, 5, 10) amorphous ribbons under a magnetic field of 0.03 T (the solid line). Since the magnetization of the alloy decreases dramatically near the Tc, the Tc of these samples, that were obtained by deriving their MT curves, as shown by the dotted line in the figure, were about 262 K, 281 K and 317 K, respectively.
The high Tc of the Gd45Co50−xFexAl5 (x = 5, 10) AM, which is comparable to the Gd-based AM with the highest Curie temperature available to date, and also within the Curie temperature range of Fe-based AM, means that it can be applied around room temperature. If excellent MCE can be obtained, these alloys will be very promising as magnetic refrigerants. Compared to Gd45Co50Al5 AM, the Tc of the sample increased by 3.5%, 11.1% and 25.3%, with Fe content added, from 2% to 10%. With the increase in Fe content, the Tc of the alloy is obviously improved in a nonlinear increasing trend, although the proportion of TM content remains unchanged. This anomaly may be related to the stronger direct 3d-3d interactions (Fe-Fe and Fe-Co) that were introduced by the addition of Fe, because the magnetic moment of Fe (=5.4 μB) itself is much larger than that of Co (=4.8 μB). The effect of the magnetic moment of transition element on the Curie temperature of the alloy may be more complicated in practice. The nominal magnetic moments (µnom.), that were calculated by simply adding the magnetic moments in atomic proportions, are about 6.01 µB, 6.03 µB and 6.06 µB, respectively. Meanwhile, according to the Curie–Weiss law [24], the effective magnetic moments (µeff) of Gd45Co50−xFexAl5 (x = 2, 5, 10) AM are about 8.48 µB, 11.29 µB and 11.75 µB in turns, as shown in the inset curves in Figure 2a; the effective magnetic moment increases with increasing iron content. The larger effective magnetic moment indicates that the interaction of the alloy may be more complex (due to the appearance of nanocrystalline particles in the Gd45Co50−xFexAl5 (x = 5, 10) alloy), but the magnetic moment of the alloy is enhanced in general, which further indicates that the addition of Fe enhances the magnetic moment of the alloy, thus enhancing the Tc of the Gd45Co50−xFexAl5 (x = 2, 5, 10) alloy.
The hysteresis loops of the Gd45Co50−xFexAl5 (x = 2, 5, 10) amorphous ribbons under the field of 5 T are shown in Figure 2b. The samples display ferromagnetic (FM) properties at 10 K and paramagnetic (PM) properties at 380 K. At a low temperature of 10 K, the saturation magnetization (Ms) of the alloy reaches 155.5 Am2/kg, 154.5 Am2/kg and 146.2 Am2/kg with the Fe content from 2% to 10%, as shown in the enlarged illustration in the upper right corner of Figure 2b, and the coercivity (Hc) is about 66.3 Oe for x = 2, 41.2 Oe for x = 5 and 24.8 Oe for x = 10, all of which are less than 100 Oe, as the details show in the bottom right illustration in Figure 2b. The low coercivity fields characteristic of soft magnetic materials and relatively high Ms indicate that the alloy can be easily magnetized and demagnetized, which is very beneficial to the acquisition of reversible MCE and improvements in refrigeration efficiency.
The isothermal MH curves of the Gd45Co50−xFexAl5 (x = 2, 5, 10) AM under 5 T are shown in the inset of Figure 3. At low temperatures that are under the Tc, the alloys show obvious FM characteristics, and the curves have high magnetic susceptibility, which can increase rapidly and reach saturation under a small external magnetic field. Near the Tc, the FM to PM transition occurs, and the magnetization decreases obviously. When the temperature exceeds the Tc, the alloys are almost completely changed to PM, and the curves produce similar linear relations.
The Arrott curves (H/MM2) of the alloy can be obtained by transforming the isothermal MH curves, and the type of MPT in the magnetic field can be further verified by the Arrott curves in Figure 3. The slope of the Arrott curve of Gd45Co50−xFexAl5 (x = 2, 5, 10) AM is positive in the picture (a), (b), (c). According to the Banerjee rule [25], the slope of the curve is related to the thermal spin perturbation; that is, only the positive slope of the curve indicates that the alloy is undergoing a SOMPT. Therefore, these alloys are typical SOMPT materials, which allows them to have smaller magnetic and thermal hysteresis loss in MCE. At the same time, their wide-phase transition regions make the alloys have a continuous change in −ΔSm to produce a relatively large RC.
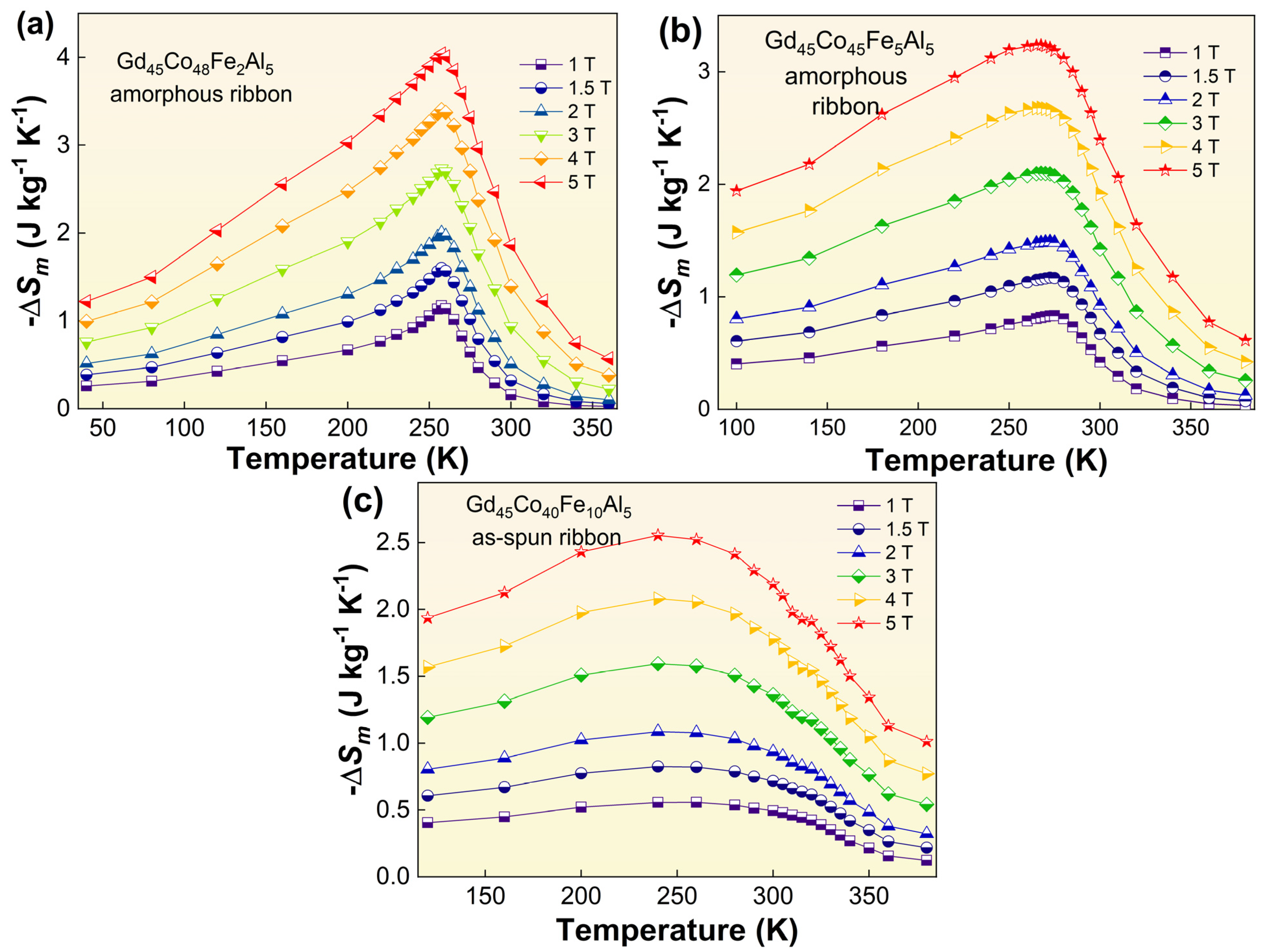
The temperature dependence of isothermal −ΔSm curves (−ΔSmT) of the alloy can also be obtained by applying Maxwell’s equation—∆Sm(T, H) = Sm(T, H) − Sm(T, 0) = ∫0H(∂M/∂T)H dH—to the isothermal MH curves. Figuring out the −ΔSm under 1 T–5 T field, at different temperatures of the Gd45Co50−xFexAl5 (x = 2, 5, 10) AM, as the curves show in Figure 4a–c, it can be seen that all the curves exhibit a broad characteristic of SOMPT around the −ΔSmpeak. As shown in Table 1, the −ΔSmpeak of all samples under the field of 5 T are about 4.04 J/(kg·K) for Gd45Co48Fe2Al5, 3.24 J/(kg·K) for Gd45Co45Fe5Al5 and 2.57 J/(kg·K) for Gd45Co40Fe10Al5, respectively. Another important indicator of measuring the comprehension MCE of the alloy is the refrigeration capacity (RC = −∆Smpeak × δTFWHM), and the RC of the Gd45Co50−xFexAl5 (x = 2, 5, 10) AM is calculated as 723 J/kg when x = 2, ~740 J/kg when x = 5 and ~770 J/kg when x = 10 under the field of 5 T, respectively. Compared with other results in the literature [18,19,20,21,22,23,26,27,28,29,30,31], the relatively large RC of the Gd45Co50−xFexAl5 (x = 2, 5, 10) AM are comparable to that of the Gd-Co binary AM (~720 J/kg), and are obviously better than that of the Fe-Zr-B-based AM (~600 J/kg). They are even superior than those of Gd50Co50−xFex (x = 2, 5) (~700 J/kg) and Co50Gd50−x(Fe/Ni)x (x = 1, 2, 3) (~680 J/kg) AM with the same Curie temperature. The RC results show that the addition of Fe can obviously improve the RC of the alloys. Unfortunately, compared to the original composition of Gd45Co50Al5, the −ΔSmpeak of the samples is decreased by 11.2%, 28.8% and 43.5% with Fe content from 2% to 10%, respectively. Although the highest Tc among Gd-based AM is obtained in Gd45Co40Fe10Al5 alloy, and its comprehensive RC is improved due to its wider temperature variation range, its magnetic entropy change property is seriously affected.
This phenomenon may be related to the variation tendency of MT and −ΔSmT curves. Compared with x = 2%, it is not hard to see, from the MT curves, that the changes are more slow at Curie temperature when x = 5% and 10%, which is more conducive to the alloy to obtain larger RC. Furthermore, it can also be found from the curve of Gd45Co40Fe10Al5 that the −ΔSmT curve of the alloy displays a nearly platform-like feature, and the peak position of its −ΔSm is shifted, which is different from that of other typical amorphous alloys. By constructing the −ΔSmpeak~Tc−2/3 curve and their linear fitting, as shown in Figure 5a, it is easy to find that Gd45Co50−xFexAl5 (x = 0, 2, 5) AM follows the −ΔSmpeak~Tc−2/3 relationship [32]. Meanwhile, Gd45Co40Fe10Al5 deviates from the ln(−ΔSmpeak)~ln(Tc) path, which may be caused by the presence of some heterogeneous structures—the nanoclusters—in the alloy that maintain the magnetization and do not decrease significantly at the Curie temperature of the alloy.
This can be further explained by the field dependence of the −ΔSm characteristics of the alloy. The −ΔSmHn relationship was established according to the Arrott–Noakes equation [33,34], as shown in Figure 5b. For the SOMPT materials, especially for typical amorphous alloys, the variation of exponent n is roughly as follows: under the Tc region, the alloy exhibits ferromagnetism, and the exponent n is close to 1 and decreases with increasing temperature around the Tc region; then, the exponential n is gradually closer to 2 with the temperature reaching the fully paramagnetism state of the alloy. In the mean field theory, the exponent n near Tc is roughly 0.67; however, due to the inhomogeneity structure in practice, which may be due to the existence of atomic clusters, such as amorphous matter, free volume and even nanocrystalline and so on, the exponent n is roughly between 0.75 and 0.78 in the amorphous alloy. As can be seen in the linear fitting of the ln(−ΔSmpeak) and ln(H) in the inset of Figure 5, Gd45Co48Fe2Al5 AM fits well with the actual situation, indicating the fully amorphous structure of the alloy. Meanwhile, in the Gd45Co50−xFexAl5 (x = 5, 10) alloy, the exponent n reaches 0.833 and 0.905, respectively, which indicates that the nanocrystals exist in the alloys of these two components [35,36,37,38,39]. As shown in Figure 5c,d, the HRTEM image of the Gd45Co45Fe5Al5 alloy showed a small amount of clusters, with a size limit below 5 nm, embedded in the disordered matrix, while the Gd45Co40Fe10Al5 alloy showed local nanocrystallization in the amorphous matrix, and the diameter of the cluster is slightly larger than 5 nm. Previous results have shown that the presence of short range order [37,38], with the limits of 5 nm, will lead to an slight increase in exponential n around 0.8. This is beneficial to the improvement in −ΔSm, while the appearance of the intermediate range order is not conducive to the improvement in the −ΔSm. Therefore, the obvious deterioration of −ΔSm of Gd45Co40Fe10Al5 in this paper may be related to the coarsening of nanocrystals in the structure. Combined with the above results, only the Gd45Co45Fe5Al5 alloy shows excellent comprehensive magnetic properties with Tc of about 281 K, −ΔSmpeak of about 3.24 J/(kg·K) at 5 T and 1.49 J/(kg·K) under 2 T, and RC of nearly 740 J/kg at 5 T and about 300 J/kg under 2 T, respectively. The relatively excellent magnetic performance of the composite Gd45Co45Fe5Al5 amorphous alloy can provide a good basic alloy and experimental guidance for further improving the magnetic entropy change performance of a Gd-based amorphous alloy.

4. Conclusions

In conclusion, by the addition of Fe to the base component of the Gd45Co50Al5 ternary alloy, the Gd45Co50−xFexAl5 (x = 2, 5, 10) amorphous alloys, with an average thickness of about 35 μm, were prepared, and the effect of Fe addition on the Curie temperature and magnetic entropy change proprieties of the alloys, as well as the mechanism involved, were systematically studied. The XRD results show that all the prepared alloys are amorphous. The addition of Fe significantly improved the Tc of the alloy from 253 K to 262 K, 281 K and 317 K, corresponding to the Fe content increasing from 0% to 2%, 5% and 10%, respectively. This was mainly caused by the introduction of stronger 3d-3d direct interactions between the TM atoms with the addition of Fe, so that the µeff of the alloy increased gradually from 8.48 µB to 11.29 µB and 11.75 µB with the increase in Fe content and the Tc was obviously enhanced. The alloys also showed good soft magnetic proprieties at low temperature, and the coercivity was negligible. The similar Arrott plots and typical magnetocaloric behaviors indicated the SOMPT feature of the alloy, and the −ΔSmT curve of the alloy showed a broader curve with the increase in Fe content. The relation of −ΔSmpeak~Tc−2/3 deviated from the linear relationship and the −ΔSmHn relationship was slightly different from that of other amorphous alloys, with the exponential n values being about 0.771, 0.833 and 0.905 around the Tc. This abnormal linearity was mainly associated with the intermediate range order nanocrystals (usually larger than 5 nm) in Gd45Co40Fe10Al5. The intermediate range order caused the magnetization properties of the alloy to be affected near the Tc, thus deviating from these empirical formulas. The Gd45Co40Fe10Al5 alloy with short range order showed better magnetic properties with Tc of about 281 K, −ΔSmpeak about 3.24 J/(kg·K) and RC of nearly 740 J/kg under the field of 5 T. These results are expected to provide the foundation and guidance for further improving the room temperature MCE of Gd-based amorphous alloys.

Author Contributions

Data curation, writing—original draft: L.L. and W.F.; methodology: Y.L. and Y.F.; conceptualization, writing—review and editing: B.T. and P.Y.; review and editing, supervision: D.D. and L.X. All authors have read and agreed to the published version of the manuscript.

Funding

This research was funded by the National Nature Science Foundation of China (Grant No. 52071043), the Natural Science Foundation of Chongqing (Grant No. cstc2020jcyj-msxmX0699), the Science and Technology Research Program of Chongqing Municipal Education Commission of China (Grant No. KJQN202200541), the Foundation of Chongqing Normal University (21XLB046) and the College Students Innovation and Entrepreneurship Training Program of Chongqing City (S202210637041).

Institutional Review Board Statement

Not applicable.

Informed Consent Statement

Not applicable.

Data Availability Statement

The data of this study are available from the corresponding author upon reasonable request.

Acknowledgments

This research was technically supported by the Center for Advanced Microanalysis of Shanghai University.

Conflicts of Interest

The authors declare no conflict of interest.

References

  1. Gutfleisch, O.; Willard, M.A.; Bruck, E.; Chen, C.H.; Sankar, S.G.; Liu, J.P. Magnetic materials and devices for the 21st Century: Stronger, lighter, and more energy efficient. Adv. Mater. 2011, 23, 821–842. [Google Scholar] [CrossRef]
  2. Kitanovski. Energy Applications of Magnetocaloric Materials. Adv. Energy Mater. 2020, 10, 1903741. [Google Scholar] [CrossRef]
  3. Franco, V.; Blazquez, J.S.; Ipus, J.J.; Law, J.Y.; Moreno-Ramírez, L.M.; Conde, A. Magnetocaloric effect: From materials research to refrigeration devices. Prog. Mater. Sci. 2018, 93, 112–232. [Google Scholar]
  4. Shen, B.G.; Sun, J.R.; Hu, F.X.; Zhang, H.W.; Cheng, Z.H. Recent progress in exploring magnetocaloric materials. Adv. Mater. 2009, 21, 4545–4564. [Google Scholar] [CrossRef]
  5. Tegus, O.; Bruck, E.; Buschow, K.H.J.; de Boer, F.R. Transition-metal-based magnetic refrigerants for room-temperature applications. Nature 2002, 415, 150–152. [Google Scholar] [CrossRef]
  6. de Oliveira, N.A.; von Ranke, P.J. Theoretical aspects of the magnetocaloric effect. Phys. Rep. 2010, 489, 89–159. [Google Scholar] [CrossRef]
  7. Gschneidner, A.; Pecharsky, V.K. Magnetocaloric materials. Ann. Rev. Mater. Sci. 2000, 30, 387–429. [Google Scholar] [CrossRef]
  8. Gschneidner, K.A.; Pecharsky, V.K.; Tsokol, A.O. Recent developments in magnetocaloric materials. Rep. Prog. Phys. 2005, 68, 1479–1539. [Google Scholar] [CrossRef]
  9. Yu, B.F.; Gao, Q.; Zhang, B.; Meng, X.Z.; Chen, Z. Review on research of room temperature magnetic refrigeration. Int. J. Refig. 2003, 26, 622–636. [Google Scholar] [CrossRef]
  10. Li, H.X.; Lu, Z.C.; Wang, S.L.; Wu, Y.; Lu, Z.P. Fe-based bulk metallic glasses: Glass formation, fabrication, properties and applications. Prog. Mater. Sci. 2019, 103, 235–318. [Google Scholar] [CrossRef]
  11. Luo, Q.; Wang, W.H. Magnetocaloric effect in rare earth-based bulk metallic glasses. J. Alloys Compd. 2010, 495, 209–216. [Google Scholar] [CrossRef]
  12. Huo, J.T.; Zhao, D.Q.; Bai, H.Y.; Axinte, E.; Wang, W.H. Giant magnetocaloric effect in Tm-based bulk metallic glasses. J. Non-Cryst. Solids 2013, 359, 1–4. [Google Scholar] [CrossRef]
  13. Luo, Q.; Tang, M.B.; Shen, J. Tuning the magnetocaloric response of Er-based metallic glasses by varying structural order in disorder. J. Magn. Magn. Mater. 2016, 401, 406–411. [Google Scholar] [CrossRef]
  14. Wang, X.; Wang, Q.; Tang, B.Z.; Yu, P.; Xia, L.; Ding, D. Large magnetic entropy change and adiabatic temperature rise of a ternary Gd34Ni33Al33 metallic glass. J. Rare. Earth 2021, 39, 998–1002. [Google Scholar] [CrossRef]
  15. Fu, H.; Zhang, X.Y.; Yu, H.J.; Teng, B.H.; Zu, X.T. Large magnetic entropy change of Gd-based ternary bulk metallic glass in liquid-nitrogen temperature range. Solid State Commun. 2008, 145, 15–17. [Google Scholar] [CrossRef]
  16. Zhang, H.Y.; Li, R.; Zhang, L.; Zhang, T. Tunable magnetic and magnetocaloric properties in heavy rare-earth based metallic glasses through the substitution of similar elements. J. Appl. Phys. 2014, 115, 133903. [Google Scholar] [CrossRef]
  17. Huo, J.T.; Wang, J.Q.; Wang, W.H. Denary high entropy metallic glass with large magnetocaloric effect. J. Alloys Compd. 2019, 776, 202–206. [Google Scholar] [CrossRef]
  18. Xia, L.; Wu, C.; Chen, S.H.; Chan, K.C. Magneto-caloric effect of a Gd50Co50 amorphous alloy near the freezing point of water. AIP Adv. 2015, 5, 097122. [Google Scholar] [CrossRef]
  19. Wu, C.; Ding, D.; Xia, L.; Chan, K.C. Achieving tailorable magneto-caloric effect in the Gd-Co binary amorphous alloys. AIP. Advs. 2016, 6, 035302. [Google Scholar] [CrossRef]
  20. Liu, G.L.; Zhao, D.Q.; Bai, H.Y.; Wang, W.H.; Pan, M.X. Room temperature table-like magnetocaloric effect in amorphous Gd50Co45Fe5 ribbon. J. Phys. D Appl. Phys. 2016, 49, 055004. [Google Scholar] [CrossRef]
  21. Tang, B.Z.; Guo, D.Q.; Ding, D.; Xia, L.; Chan, K.C. Large adiabatic temperature rise above the water ice point of a minor Fe substituted Gd50Co50 amorphous alloy. J. Non-Cryst. Solids 2017, 464, 30–33. [Google Scholar] [CrossRef]
  22. Huang, L.W.; Tang, B.Z.; Ding, D.; Wang, X.; Xia, L. Achieving high adiabatic temperature change at room temperature in a Gd48Co50Fe2 amorphous alloy. J. Alloys Compd. 2019, 811, 152003. [Google Scholar] [CrossRef]
  23. Tang, B.Z.; Liu, X.P.; Li, D.M.; Yu, P.; Xia, L. Effect of Ni substitution on the formability and magnetic properties of Gd50Co50 amorphous alloy. Chin. Phys. B 2020, 29, 056401. [Google Scholar] [CrossRef]
  24. Blundell, S. Magnetism in Condensed Matter; Oxford University Press: New York, NY, USA, 2001. [Google Scholar]
  25. Banerjee, S.K. On a generalised approach to first and second order magnetic transitions. Phys. Lett. 1964, 12, 16. [Google Scholar] [CrossRef]
  26. Yu, P.; Zhang, J.Z.; Xia, L. Effect of boron on the magneto-caloric effect in Fe91−xZr9Bx(x = 3, 4, 5) amorphous alloys. J. Mater. Sci. 2017, 52, 13948–13955. [Google Scholar] [CrossRef]
  27. Wang, X.; Wang, Q.; Tang, B.Z.; Ding, D.; Cui, L.; Xia, L. Magnetic and magneto-caloric properties of the amorphous Fe(92−x)Zr(8)B(x) ribbons. Mater 2020, 13, 5334. [Google Scholar] [CrossRef]
  28. Gan, L.H.; Ma, L.Y.; Tang, B.Z.; Ding, D.; Xia, L. Effect of Co substitution on the glass forming ability and magnetocaloric effect of Fe88Zr8B4 amorphous alloys. Sci. China-Phys. Mech. Astron. 2017, 60, 076121. [Google Scholar] [CrossRef]
  29. Chen, L.S.; Zhang, J.Z.; Wen, L.; Yu, P.; Xia, L. Outstanding magnetocaloric effect of Fe88−xZr8B4Smx (x = 0, 1, 2, 3) amorphous alloys. Sci. China-Phys. Mech. Astron. 2018, 61, 056121. [Google Scholar] [CrossRef]
  30. Peng, J.X.; Tang, B.Z.; Wang, Q.; Bai, C.; Wu, Y.; Chen, Q.X.; Li, D.M.; Ding, D.; Xia, L.; Guo, X.L.; et al. Effect of heavy rare-earth (Dy, Tb, Gd) addition on the glass-forming ability and magneto-caloric properties of Fe89Zr7B4 amorphous alloy. J. Alloys Compd. 2022, 925, 166707. [Google Scholar] [CrossRef]
  31. Wang, X.; Tang, B.Z.; Wang, Q.; Yu, P.; Ding, D.; Xia, L. Co50Gd48−xFe2Nix amorphous alloys with high adiabatic temperature rise near the hot end of a domestic magnetic refrigerator. J. Non-Cryst. Solids 2020, 544, 120146. [Google Scholar] [CrossRef]
  32. Belo, J.H.; Amaral, J.S.; Pereira, A.M.; Amaral, V.S.; Araújo, J.P. On the Curie temperature dependency of the magnetocaloric effect. Appl. Phys. Lett. 2012, 100, 242407. [Google Scholar] [CrossRef]
  33. Franco, V.; Blázquez, J.S.; Conde, A. Field dependence of the magnetocaloric effect in materials with a second order phase transition: A master curve for the magnetic entropy change. Appl. Phys. Lett. 2006, 89, 222512. [Google Scholar] [CrossRef]
  34. Law, J.Y.; Franco, V.; Moreno-Ramírez, L.M.; Conde, A.; Karpenkov, D.Y.; Radulov, I.; Skokov, K.P.; Gutfleisch, O. A quantitative criterion for determining the order of magnetic phase transitions using the magnetocaloric effect. Nat. Commun. 2018, 9, 2680. [Google Scholar] [CrossRef]
  35. Zhang, Z.Y.; Tang, Q.; Wang, F.C.; Zhang, H.Y.; Zhou, Y.X.; Xia, A.L.; Li, H.L.; Chen, S.S.; Li, W.H. Tailorable magnetocaloric effect by Fe substitution in Gd-(Co, Fe) amorphous alloy. Intermetallics 2019, 111, 106500. [Google Scholar] [CrossRef]
  36. Yu, P.; Zhang, N.Z.; Cui, Y.T.; Wen, L.; Zeng, Z.Y.; Xia, L. Achieving an enhanced magneto-caloric effect by melt spinning a Gd55Co25Al20 bulk metallic glass into amorphous ribbons. J. Alloy Compd. 2016, 655, 353–356. [Google Scholar] [CrossRef]
  37. Xia, L.; Guan, Q.; Ding, D.; Tang, M.B.; Dong, Y.D. Magneto-caloric response of the Gd60Co25Al15 metallic glasses. Appl. Phys. Lett. 2014, 105, 192402. [Google Scholar] [CrossRef]
  38. Guan, Q.; Yu, P.; Chan, K.C.; Xia, L. Improvement of glass forming ability and magnetic properties of a Gd55Al20Co25 bulk metallic glass by minor Fe substitution for Co. Mod. Phys. Lett. B 2015, 29, 1550198. [Google Scholar] [CrossRef]
  39. Wu, C.; Yu, P.; Xia, L. Glass forming ability and magnetic properties of a Gd55Ni25Al18Zn2 bulk metallic glass. J. Non-Cryst. Solids 2015, 422, 23–25. [Google Scholar] [CrossRef]
Figure 1. XRD patterns of the Gd45Co50−xFexAl5 (x = 2, 5, 10) as-spun ribbons.
Figure 1. XRD patterns of the Gd45Co50−xFexAl5 (x = 2, 5, 10) as-spun ribbons.
Materials 16 04571 g001
Figure 2. (a) MT curves of Gd45Co50−xFexAl5 (x = 2, 5, 10) amorphous alloys under a magnetic field of 0.03 T (the solid line) and the corresponding dM−dT curves, that were obtained by taking the derivative of MT curves, as shown by the dotted line in the figure; the inset is μeff of the amorphous alloys, illustrated by (H/MT) curve. (b) The hysteresis loops of the Gd45Co50−xFexAl5(x = 2, 5, 10) amorphous alloys measured at 10 K and 380 K under a field of 5 T. The saturation magnetization (Ms) and coercivity (Hc) details are shown in the illustration (b).
Figure 2. (a) MT curves of Gd45Co50−xFexAl5 (x = 2, 5, 10) amorphous alloys under a magnetic field of 0.03 T (the solid line) and the corresponding dM−dT curves, that were obtained by taking the derivative of MT curves, as shown by the dotted line in the figure; the inset is μeff of the amorphous alloys, illustrated by (H/MT) curve. (b) The hysteresis loops of the Gd45Co50−xFexAl5(x = 2, 5, 10) amorphous alloys measured at 10 K and 380 K under a field of 5 T. The saturation magnetization (Ms) and coercivity (Hc) details are shown in the illustration (b).
Materials 16 04571 g002
Figure 3. The Arrott curve of the (a) Gd45Co48Fe2Al5, (b) Gd45Co45Fe5Al5 and (c) Gd45Co40Fe10Al5 amorphous alloys. The insets are the MH curves at different temperatures under adiabatic conditions.
Figure 3. The Arrott curve of the (a) Gd45Co48Fe2Al5, (b) Gd45Co45Fe5Al5 and (c) Gd45Co40Fe10Al5 amorphous alloys. The insets are the MH curves at different temperatures under adiabatic conditions.
Materials 16 04571 g003
Figure 4. The −ΔSmT curve of the (a) Gd45Co48Fe2Al5, (b) Gd45Co45Fe5Al5 and (c) Gd45Co40Fe10Al5 amorphous alloys under 1 T–5 T field at different temperatures.
Figure 4. The −ΔSmT curve of the (a) Gd45Co48Fe2Al5, (b) Gd45Co45Fe5Al5 and (c) Gd45Co40Fe10Al5 amorphous alloys under 1 T–5 T field at different temperatures.
Materials 16 04571 g004
Figure 5. The −ΔSmpeak~Tc−2/3 curve and their linear fitting of (a) Gd45Co50−xFexAl5 (x = 0, 2, 5, 10) amorphous alloys; (b) the n-T curve of Gd45Co50−xFexAl5 (x = 2, 5, 10) amorphous alloys, the inset is the linear fitting of the In(−ΔSmpeak) and In(H); HREM image of the as-spun ribbon (c) Gd45Co45Fe5Al5 and (d) Gd45Co40Fe10Al5.
Figure 5. The −ΔSmpeak~Tc−2/3 curve and their linear fitting of (a) Gd45Co50−xFexAl5 (x = 0, 2, 5, 10) amorphous alloys; (b) the n-T curve of Gd45Co50−xFexAl5 (x = 2, 5, 10) amorphous alloys, the inset is the linear fitting of the In(−ΔSmpeak) and In(H); HREM image of the as-spun ribbon (c) Gd45Co45Fe5Al5 and (d) Gd45Co40Fe10Al5.
Materials 16 04571 g005
Table 1. Curie temperature Tc(K), −ΔSmpeak (J/(kg·K)) and RC(J/kg) data of the Gd45Co50−xFexAl5 (x = 0, 2, 5, 10) amorphous alloy and other Gd-Co-based or Fe-Zr-B-based amorphous samples with similar Tc.
Table 1. Curie temperature Tc(K), −ΔSmpeak (J/(kg·K)) and RC(J/kg) data of the Gd45Co50−xFexAl5 (x = 0, 2, 5, 10) amorphous alloy and other Gd-Co-based or Fe-Zr-B-based amorphous samples with similar Tc.
SamplesTc (K)−ΔSmpeak * (J/(kg·K))RC (J/kg)Ref.
1 T1.5 T2 T3 T4 T5 T2 T5 T
Gd45Co50Al52531.351.832.283.093.854.55260728Present work
Gd45Co48Fe2Al52621.171.602.002.733.404.04274723
Gd45Co45Fe5Al52810.831.171.492.102.683.24~300~740
Gd45Co40Fe10Al53170.560.831.101.602.332.57~310~770
Gd50Co502671.38 2.363.163.924.6212.8685.9[18]
Gd50Co48Fe2277 2.24 4.44 ~700[21]
Co50Gd49Fe1283 2.32 4.4226.7680[22]
Co50Gd48Fe2297 1.98 3.96~241~674
Co50Gd49Ni1273 2.53 4.90263.2684.6[23]
Co50Gd48Ni2280 2.26 4.46239.3685.8
Co50Gd47Fe2Ni1302 1.85 3.73~211~620[31]
Co50Gd46Fe2Ni2310 1.59 3.28~231~670
Fe88Zr8B4291 1.5 2.81200551[27]
Fe87Co1Zr8B4317 1.61 3.24 ~600[28]
Fe87Zr8B4Sm1308 1.65 3.27 >550[29]
* The maximum magnetic entropy change (−ΔSm) value in the −ΔSmT curves.
Disclaimer/Publisher’s Note: The statements, opinions and data contained in all publications are solely those of the individual author(s) and contributor(s) and not of MDPI and/or the editor(s). MDPI and/or the editor(s) disclaim responsibility for any injury to people or property resulting from any ideas, methods, instructions or products referred to in the content.

Share and Cite

MDPI and ACS Style

Li, L.; Tang, B.; Fu, W.; Lu, Y.; Fu, Y.; Ding, D.; Xia, L.; Yu, P. The Effect of Fe Addition on the Curie Temperature and Magnetic Entropy of the Gd45Co50Al5 Amorphous Alloy. Materials 2023, 16, 4571. https://doi.org/10.3390/ma16134571

AMA Style

Li L, Tang B, Fu W, Lu Y, Fu Y, Ding D, Xia L, Yu P. The Effect of Fe Addition on the Curie Temperature and Magnetic Entropy of the Gd45Co50Al5 Amorphous Alloy. Materials. 2023; 16(13):4571. https://doi.org/10.3390/ma16134571

Chicago/Turabian Style

Li, Luyi, Benzhen Tang, Weijie Fu, Ying Lu, Yunqing Fu, Ding Ding, Lei Xia, and Peng Yu. 2023. "The Effect of Fe Addition on the Curie Temperature and Magnetic Entropy of the Gd45Co50Al5 Amorphous Alloy" Materials 16, no. 13: 4571. https://doi.org/10.3390/ma16134571

APA Style

Li, L., Tang, B., Fu, W., Lu, Y., Fu, Y., Ding, D., Xia, L., & Yu, P. (2023). The Effect of Fe Addition on the Curie Temperature and Magnetic Entropy of the Gd45Co50Al5 Amorphous Alloy. Materials, 16(13), 4571. https://doi.org/10.3390/ma16134571

Note that from the first issue of 2016, this journal uses article numbers instead of page numbers. See further details here.

Article Metrics

Back to TopTop