A Joint Johnson–Cook-TANH Constitutive Law for Modeling Saw-Tooth Chip Formation of Ti-6AL-4V Based on an Improved Smoothed Particle Hydrodynamics Method
Abstract
1. Introduction
2. Materials and Methods
2.1. Modeling of SPH
2.1.1. SPH Formulation for Solid Flows
2.1.2. Geometric Definition of Cutting Model in SPH Method
2.1.3. Improved Algorithms (Density and Kernel Gradient Correction)
2.1.4. Constitutive Law for Materials with Strength
2.2. Material Constitutive
2.2.1. Johnson–Cook Damage Material Constitutive law
2.2.2. Modified Constitutive Law-TANH
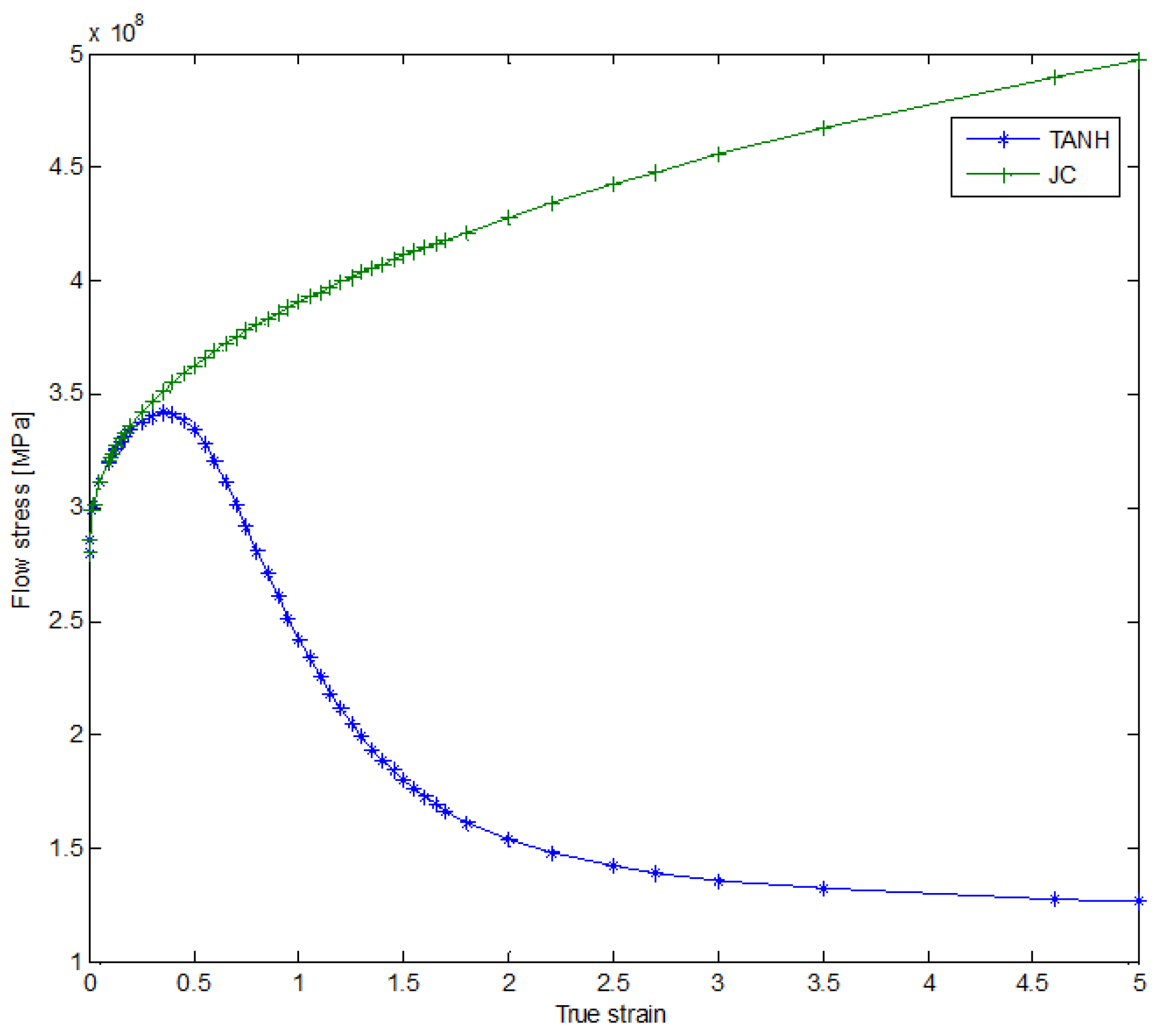
2.2.3. Joint JC-TANH Law
- Step 1
- Set the following parameters: Population size: 200, crossover probability: 0.7, mutation probability: 0.03, maximum number of iterations: 2000.
- Step 2
- Initial population: Generate initial population randomly. Each individual in the population is a solution, that is, a combination of variables encoded by the real numbers;
- Step 3
- Calculate the fitness of the individual: Use an objective function to calculate the fitness of each individual.
- Step 4
- Check whether the end conditions are met. If an end condition is met (for example, a preset maximum number of iterations is reached, or the optimal fitness is no longer significantly improved), the algorithm is terminated and the current optimal solution is output. Otherwise, proceed to the selection operation.
- Step 5
- Selection: Select according to the fitness of the individual. Individuals with higher fitness have a higher probability of being selected.
- Step 6
- Cross: A cross-operation is performed on the selected individual to generate a new individual.
- Step 7
- Variation: Variation is performed on the newly generated individuals to increase the diversity of the population.
- Step 8
- Assess the fitness of each individual in a new population: Assess the fitness of each individual in a new population using the same method.
- Step 9
- Return to Step 4 and iterate until the end condition is met.
3. Experiment Results and Discussion
4. Conclusions
- The SPH cutting model possesses a significant advantage in dealing with large deformations and the simulation process is more consistent with the actual cutting process;
- Chip morphology and distinct shearing band can be modeled clearly;
- The joint JC-TANH constitutive cutting model improves the prediction of chip morphology.
Author Contributions
Funding
Institutional Review Board Statement
Informed Consent Statement
Data Availability Statement
Conflicts of Interest
References
- Kumar, S.; Chattopadhyay, K.; Singh, V. Effect of surface nanostructuring on corrosion behavior of Ti–6Al–4V alloy. Mater. Charact. 2016, 121, 23–30. [Google Scholar] [CrossRef]
- Wang, B.; Liu, Z.; Hou, X.; Zhao, J. Influences of cutting speed and material mechanical properties on chip deformation and fracture during high-speed cutting of inconel 718. Materials 2018, 11, 461. [Google Scholar] [CrossRef]
- Dong, Z.; Jiao, L.; Wang, X.; Liang, Z.; Liu, Z.; Yi, J. FEA-based prediction of machined surface errors for dynamic fixture-workpiece system during milling process. Int. J. Adv. Manuf. Technol. 2016, 85, 299–315. [Google Scholar] [CrossRef]
- Setti, D.; Kirsch, B.; Aurich, J.C. An analytical method for prediction of material deformation behavior in grinding using single grit analogy. Procedia CIRP 2017, 58, 263–268. [Google Scholar] [CrossRef]
- Khawarizmi, R.M.; Lu, J.; Nguyen, D.S.; Bieler, T.R.; Kwon, P. The Effect of Ti-6Al-4V Microstructure, Cutting Speed, and Adiabatic Heating on Segmented Chip Formation and Tool Life. JOM 2022, 7, 526–534. [Google Scholar] [CrossRef]
- Rhim, S.H. Prediction of serrated chip formation in metal cutting process with new flow stress model for AISI 1045 steel. J. Mater. Process. Technol. 2006, 171, 417–422. [Google Scholar] [CrossRef]
- Sowerby, R.; Chandrasekaran, N. A proposal for the onset of chip segmentation in machining. Mater. Sci. Eng. A 1989, 119, 219–229. [Google Scholar] [CrossRef]
- Su, G.; Liu, Z. An experimental study on influences of material brittleness on chip morphology. Int. J. Adv. Manuf. Technol. 2010, 51, 87–92. [Google Scholar] [CrossRef]
- Shivpuri, R.; Hua, J.; Mittal, P.; Srivastava, A.K.; Lahoti, G.D. Microstructure-mechanics interactions in modeling chip segmentation during titanium machining. CIRP Ann. Manuf. Technol. 2002, 51, 71–74. [Google Scholar] [CrossRef]
- Hua, J.; Shivpuri, R. Prediction of chip morphology and segmentation during the machining of titanium alloys. J. Mater. Process. Technol. 2004, 150, 124–133. [Google Scholar] [CrossRef]
- Fernandez-Zelaia, P.; Melkote, S.N. Validation of Material Models for Machining Simulation Using Mechanical Properties of the Deformed Chip. Procedia CIRP 2017, 58, 535–538. [Google Scholar] [CrossRef]
- Li, G.; Smith, J.; Liu, W.K. Finite element simulation of saw-tooth chip in high-speed machining based on multiresolution continuum theory. Int. J. Adv. Manuf. Technol. 2019, 101, 1759–1772. [Google Scholar] [CrossRef]
- Thepsonthi, T.; Özel, T. Simulation of serrated chip formation in micro-milling of titanium alloy Ti-6Al-4V using 2D elasto-viscoplastic finite element modeling. Prod. Eng. 2016, 10, 575–586. [Google Scholar] [CrossRef]
- Haddag, B.; Atlati, S.; Nouari, M.; Mouflki, A. Dry machining aeronautical aluminum alloy AA2024-T351: Analysis of cutting forces, chip segmentation and built-up edge formation. Metal 2016, 6, 197. [Google Scholar] [CrossRef]
- Wang, F.; Tao, Q.; Xiao, L.; Hu, J.; Xu, L. Simulation and analysis of serrated chip formation in cutting process of hardened steel considering ploughing-effect. J. Mech. Sci. Technol. 2018, 32, 2029–2037. [Google Scholar] [CrossRef]
- Klocke, F.R.; Lung, D.; Puls, H. FEM-Modelling of the thermal workpiece deformation in dry turning. Procedia CIRP 2013, 8, 240–245. [Google Scholar] [CrossRef]
- Kukielka, L.; Chodor, J. Numerical analysis of the influence of abrasive grain geometry and cutting angle on states of strain and stress in the surface layer of object. In Proceedings of the Eighth International Conference On Computer Methods and Experimental Measurements for Surface Effects and Contact Mechanics, Contact and Surface, Andover, NH, USA, 12–17 August 2007; pp. 183–193. [Google Scholar]
- Sahu, B.P.; Ray, M.; Mitra, R. Structure and properties of Ni1−xTixN thin films processed by reactive magnetron co-sputtering. Mater. Charact. 2020, 169, 110604. [Google Scholar] [CrossRef]
- Liu, G.R.; Liu, M.B. Smoothed Particle Hydrodynamics: A Meshfree Particle Method; World Scientific: Singapore, 2003. [Google Scholar]
- Heisel, U.; Zaloga, W.; Krivoruchko, D.; Storchak, M.; Goloborodko, L. Modelling of orthogonal cutting processes with the method of smoothed particle hydrodynamics. Prod. Eng. 2013, 7, 639–645. [Google Scholar] [CrossRef]
- Xi, Y.; Bermingham, M.; Wang, G.; Dargusch, M. SPH/FE modeling of cutting force and chip formation during thermally assisted machining of Ti6Al4V alloy. Comput. Mater. Sci. 2014, 84, 188–197. [Google Scholar] [CrossRef]
- Niu, W.L.; Mo, R.; Liu, G.R.; Sun, H.B.; Dong, X.W.; Wang, G. Modeling of orthogonal cutting process of A2024-T351 with an improved SPH method. Int. J. Adv. Manuf. Technol. 2018, 95, 905–919. [Google Scholar] [CrossRef]
- Shao, J.R.; Li, H.Q.; Liu, G.R.; Liu, M.B. An improved SPH method for modeling liquid sloshing dynamics. Comput. Struct. 2012, 100, 18–26. [Google Scholar] [CrossRef]
- Johnson, G.R.; Cook, W.H. A constitutive model and data for metals subjected to large strains, high strain rates and high temperatures. In Proceedings of the 7th International Symposium on Ballistics, Hague, The Netherlands, 19–21 April 1983; Volume 21, pp. 541–547. [Google Scholar]
- Johnson, G.R.; Cook, W.H. Fracture characteristics of three metals subjected to various strains, strain rates, temperatures and pressures. Eng. Fract. Mech. 1985, 21, 31–48. [Google Scholar] [CrossRef]
- Niu, W.; Mo, R.; Sun, H.; Gnanasekaran, B.; Zhu, Y.; Liu, G.R. A smooth particle hydrodynamic model for two-dimensional numerical simulation of Ti–6Al–4V serrated chip deformation based on TANH constitutive law. Proc. Inst. Mech. Eng. Part C J. Mech. Eng. Sci. 2019, 233, 3004–3017. [Google Scholar] [CrossRef]
- Monaghan, J.J. Smoothed particle hydrodynamics. Annu. Rev. Astron. Astrophys. 1992, 30, 543–574. [Google Scholar] [CrossRef]
- Oger, G.; Doring, M.; Alessandrini, B.; Ferrant, P. An improved SPH method: Towards higher order convergence. J. Comput. Phys. 2007, 225, 1472–1492. [Google Scholar] [CrossRef]
- Akbari, H. Simulation of wave overtopping using an improved SPH method. Coast. Eng. 2017, 126, 51–68. [Google Scholar] [CrossRef]
- Frontiere, N.; Raskin, C.D.; Owen, J.M. CRKSPH–A Conservative Reproducing Kernel Smoothed Particle Hydrodynamics Scheme. J. Comput. Phys. 2017, 332, 160–209. [Google Scholar] [CrossRef]
- Dong, X.W.; Liu, G.R.; Li, Z.; Zeng, W. A smoothed particle hydrodynamics (SPH) model for simulating surface erosion by impacts of foreign particles. Tribol. Int. 2016, 95, 267–278. [Google Scholar] [CrossRef]
- Colagrossi, A.; Landrini, M. Numerical simulation of interfacial flows by smoothed particle hydrodynamics. J. Comput. Phys. 2003, 191, 448–475. [Google Scholar] [CrossRef]
- Xu, D.; Feng, P.; Li, W.; Ma, Y. An improved material constitutive model for simulation of high-speed cutting of 6061-T6 aluminum alloy with high accuracy. Int. J. Adv. Manuf. Technol. 2015, 79, 1043–1053. [Google Scholar] [CrossRef]
- Calamaz, M.; Coupard, D.; Girot, F. A new material model for 2D numerical simulation of serrated chip formation when machining titanium alloy Ti–6Al–4V. Int. J. Mach. Tools Manuf. 2008, 48, 275–288. [Google Scholar] [CrossRef]
- Chen, G.; Ren, C.; Yang, X.; Jin, X.; Guo, T. Finite element simulation of high-speed machining of titanium alloy (Ti–6Al–4V) based on ductile failure model. Int. J. Adv. Manuf. Technol. 2011, 56, 1027–1038. [Google Scholar] [CrossRef]
- Sima, M.; Özel, T. Modified material constitutive models for serrated chip formation simulations and experimental validation in machining of titanium alloy Ti–6Al–4V. Int. J. Mach. Tools Manuf. 2010, 50, 943–960. [Google Scholar] [CrossRef]
- Calamaz, M.; Coupard, D.; Girot, F. Numerical simulation of titanium alloy dry machining with a strain softening constitutive law. Mach. Sci. Technol. 2010, 14, 244–257. [Google Scholar] [CrossRef]



















| Physical Parameter | Work Material (Ti-6AL-4V) | |
|---|---|---|
| Density | 4430 | |
| Possion’s ratio v | 0.342 | |
| Specific heat | 580 | |
| Thermal conductivity (W/mk) | 7.3 | |
| 1878 | ||
| 25 | ||
| Johnson–Cook plasticity model (Equation (19)) [34] | A | 968 | 
| B | 380 | |
| C | 0.02 | |
| n | 0.577 | |
| m | 0.421 | |
| Johnson–Cook Damage model (Equation (22)) [35] | D1 | −0.09 | 
| D2 | 0.25 | |
| D3 | −0.5 | |
| D4 | 0.014 | |
| D5 | 3.87 | 
| TANH model (Equation (24)) | a | 0.05 | 
| b | 2 | |
| c | 1 | |
| d | 1 | |
| r | 5 | 
| Speed | h1 (Relative Error %) | h2 (Relative Error %) | W (Relative Error %) | |||
|---|---|---|---|---|---|---|
| TANH | JC-TANH | TANH | JC-TANH | TANH | JC-TANH | |
| 80 | 9.84% | 4.92% | 8.70% | 5.80% | 5.19% | −4.60% | 
| 100 | 8.96% | 3.73% | −6.85% | 5.74% | 2.41% | −3.61% | 
| 120 | −19.35% | −7.23% | −13.48% | −4.49% | 4.94% | −1.23% | 
| 150 | 2.80% | 3.50% | −2.35% | 4.71% | 14.29% | −4.29% | 
| 180 | 13.14% | 7.19% | −8.45% | −4.23% | 5.06% | −4.53% | 
| 230 | 12.90% | 6.45% | 10.45% | −8.99% | 11.11% | 7.47% | 
| Speed | Cutting Force (Relative Error %) | Thrust Force (Relative Error %) | ||
|---|---|---|---|---|
| TANH | JC-TANH | TANH | JC-TANH | |
| 80 | −7.49% | −2.66% | −11.03% | −5.88% | 
| 100 | −3.87% | 4.20% | 16.34% | 5.23% | 
| 120 | −7.24% | −11.34% | −11.39% | −12.91% | 
| 150 | −10.26% | −8.17% | 9.42% | 5.31% | 
| 180 | −8.67% | −9.00% | −7.83% | −12.44% | 
| 230 | −7.73% | −9.82% | 8.64% | 3.64% | 
| Cutting Depth | h1 | h2 | W | |||
|---|---|---|---|---|---|---|
| Absolute Error (μm) | Relative Error (%) | Absolute Error (μm) | Relative Error (%) | Absolute Error (μm) | Relative Error (%) | |
| 0.08 | −7 | −7.61% | 4 | 5.88% | −4 | −7.55% | 
| 0.1 | −7 | −6.09% | −6 | −7.59% | −5 | −8.33% | 
| 0.13 | 16 | 10.32% | −12 | −10.62% | −11 | −8.80% | 
| 0.2 | 36 | 15.32% | 19 | 10.92% | −14 | −7.78% | 
| 0.3 | 41 | 13.02% | −44 | −16.36% | −29 | −10.36% | 
| Disclaimer/Publisher’s Note: The statements, opinions and data contained in all publications are solely those of the individual author(s) and contributor(s) and not of MDPI and/or the editor(s). MDPI and/or the editor(s) disclaim responsibility for any injury to people or property resulting from any ideas, methods, instructions or products referred to in the content. | 
© 2023 by the authors. Licensee MDPI, Basel, Switzerland. This article is an open access article distributed under the terms and conditions of the Creative Commons Attribution (CC BY) license (https://creativecommons.org/licenses/by/4.0/).
Share and Cite
Niu, W.; Wang, Y.; Li, X.; Guo, R. A Joint Johnson–Cook-TANH Constitutive Law for Modeling Saw-Tooth Chip Formation of Ti-6AL-4V Based on an Improved Smoothed Particle Hydrodynamics Method. Materials 2023, 16, 4465. https://doi.org/10.3390/ma16124465
Niu W, Wang Y, Li X, Guo R. A Joint Johnson–Cook-TANH Constitutive Law for Modeling Saw-Tooth Chip Formation of Ti-6AL-4V Based on an Improved Smoothed Particle Hydrodynamics Method. Materials. 2023; 16(12):4465. https://doi.org/10.3390/ma16124465
Chicago/Turabian StyleNiu, Weilong, Yuanpeng Wang, Xuan Li, and Ran Guo. 2023. "A Joint Johnson–Cook-TANH Constitutive Law for Modeling Saw-Tooth Chip Formation of Ti-6AL-4V Based on an Improved Smoothed Particle Hydrodynamics Method" Materials 16, no. 12: 4465. https://doi.org/10.3390/ma16124465
APA StyleNiu, W., Wang, Y., Li, X., & Guo, R. (2023). A Joint Johnson–Cook-TANH Constitutive Law for Modeling Saw-Tooth Chip Formation of Ti-6AL-4V Based on an Improved Smoothed Particle Hydrodynamics Method. Materials, 16(12), 4465. https://doi.org/10.3390/ma16124465
 
        




 
       