Natural Plant-Derived Compounds in Food and Cosmetics: A Paradigm of Shikonin and Its Derivatives
Abstract
1. Introduction
2. The Properties of Shikonin
Antimicrobial Activities against Food-Borne Pathogens
| Type of Microbe | MIC (µg/mL) | Antimicrobial Mechanism | References |
|---|---|---|---|
| Bacteria | |||
| L. monocytogenes strains (ATCC 19115, ATCC 15313, A17, A24, B9, B19, C6, and C34) | 25–100 | Several virulence-associated genes (agrA, flaA, and sigB) were influenced by shikonin | [12] |
| S. aureus strains (ATCC 29213, ATCC 25923, A86, A48, 13 S2, S4, 124, and 265) | 35–70 | Reduction in intracellular ATP concentration, cell membrane hyperpolarization, and destruction of cell membrane | [15] |
| Fungi | |||
| C. albicans strains (SC5134, 8376, 6355, 4390, 6375, 5473, 6885, 2336, 9664, and 4647) | 2–4 | ↑ of DPP3 gene caused an increase in farnesol production, ↓ of HWP1 gene caused detachment from the abiotic substrate | [21] |
| C. albicans strains (SC5134, SN250, cta4Δ/Δ, and yhb1Δ/Δ | 4–8 | ↓ of YHB1 gene led to the intercellular accumulation of nitric oxide, which manifested nitrosative stress | [16] |
| A. terreus | 2 | ↑ of adenylyl-cyclase-associated protein, which linked actin reorganization to Ras signaling led to elevated cAMP and caused ROS accumulation | [20] |
| C. albicans strains (YFC 497, YFC 803), C. glabrata YFC 501, C. krusei YFC 827, C. tropicalis YFC 052, C. parapsilosis YFC 826, S. cerevisiae YFC 250, T. cutaneum YFC 517, and A. fumigatus YFC 526 | 8–64 | Shikonin and its derivative displayed better antifungal activity than fluconazole | [22] |
| C. albicans strains (Y0109, 21, 100, 103, 271, 876, 18, 38, and 953) | 2–8 | ↓ of glycolysis-related (CDC19 and HXK2) and fermentation-related genes (ADH1 and ALD5) providing more electrons for the mitochondrial respiratory chain, which caused the accumulation of ROS | [19] |
| C. albicans SC5314 | 4 | ↑ of CaMCA1 led to mitochondrial-mediated intrinsic cell apoptosis | [23] |
| C. albicans strains (C5314, CASS1, and hst3Δ/pTET-HST3) | 6–8 | ↓ of NAM resulted in suppression of deacetylation of H3K56 | [17] |
3. Role of Shikonin in Smart Packaging
3.1. Antioxidant Activity
3.2. Color Response Efficiency
3.3. Release Kinetics of Shikonin
4. Shikonin in Medicine and Pharmacy
5. Shikonin for Cosmetic Applications
5.1. Extraction of Shikonin and Its Derivatives for Cosmetic Applications
5.2. Antioxidant Activity and UV Radiation Protection Properties of Shikonin and Its Derivatives in Terms of Cosmetic Application
5.3. Cosmetic Properties and Skin Sensitization Potential of Shikonin and Its Derivatives
6. Conclusions
Author Contributions
Funding
Institutional Review Board Statement
Informed Consent Statement
Data Availability Statement
Conflicts of Interest
References
- Andújar, I.; Ríos, J.L.; Giner, R.M.; Recio, M.C. Pharmacological Properties of Shikonin—A Review of Literature since 2002. Planta Med. 2013, 79, 1685–1697. [Google Scholar] [CrossRef] [PubMed]
- Malik, S.; Bhushan, S.; Sharma, M.; Ahuja, P.S. Biotechnological approaches to the production of shikonins: A critical review with recent updates. Crit. Rev. Biotechnol. 2014, 16, 1–14. [Google Scholar] [CrossRef] [PubMed]
- Singh, R.S.; Gara, R.K.; Bhardwaj, P.K.; Kaachra, A.; Malik, S.; Kumar, R.; Sharma, M.; Ahuja, P.S.; Kumar, S. Expression of 3-hydroxy-3-methylglutaryl-CoA reductase, p-hydroxybenzoate-m-geranyltransferase and genes of phenylpropanoid pathway exhibits positive correlation with shikonins content in arnebia [Arnebia euchroma (Royle) Johnston]. BMC Mol. Biol. 2010, 11, 88. [Google Scholar] [CrossRef] [PubMed]
- Das, R.; Habiba, S.U.; Dash, R.; Seo, Y.; Woo, J. Unveiling the Potentiality of Shikonin Derivatives Inhibiting SARS-CoV-2 Main Protease by Molecular Dynamic Simulation Studies. Int. J. Mol. Sci. 2023, 24, 3100. [Google Scholar] [CrossRef]
- Chen, X.; Yang, L.; Oppenheim, J.J.; Howard, O.M.Z. Cellular pharmacology studies of shikonin derivatives. Phytother. Res. 2002, 16, 199–209. [Google Scholar] [CrossRef]
- Guo, C.; He, J.; Song, X.; Tan, L.; Wang, M.; Jiang, P.; Li, Y.; Cao, Z.; Peng, C. Pharmacological properties and derivatives of shikonin—A review in recent years. Pharmacol. Res. 2019, 149, 104463. [Google Scholar] [CrossRef]
- Renneberg, R. Green Biotechnology. In Biotechnology for Beginners; Demain, A.L., Ed.; Academic Press: New York, NY, USA, 2008; pp. 210–213. [Google Scholar]
- Malik, S.; Bhushan, S.; Verma, S.C.; Sinha, A.K.; Sharma, M.; Ahuja, P.S. Production of Naphthoquinone Pigments in Cell Suspension Cultures of Arnebia euchroma (Royle) Johnston: Influence of pH on Growth Kinetics and Acetylshikonin. Med. Aromat. Plant Sci. Biotechnol. 2008, 2, 43–49. [Google Scholar]
- Malik, S.; Bhushan, S.; Sharma, M.; Ahuja, P.S. Physico-Chemical Factors Influencing the Shikonin Derivatives Production in Cell Suspension Cultures of Arnebia euchroma (Royle) Johnston, a Medicinally Important Plant Species. Cell Biol. Int. 2011, 35, 152–157. [Google Scholar] [CrossRef]
- Yadav, S.; Sharma, A.; Nayik, G.A.; Cooper, R.; Bhardwaj, G.; Sohal, H.S.; Mutreja, V.; Kaur, R.; Areche, F.O.; AlOudat, M.; et al. Review of Shikonin and Derivatives: Isolation, Chemistry, Biosynthesis, Pharmacology and Toxicology. Front. Pharmacol. 2022, 13, 905755. [Google Scholar] [CrossRef]
- Wang, F.; Yao, X.; Zhang, Y.; Tang, J. Synthesis, biological function and evaluation of Shikonin in cancer therapy. Fitoterapia 2019, 134, 329–339. [Google Scholar] [CrossRef]
- Li, J.; Li, S.; Li, H.; Guo, X.; Guo, D.; Yang, Y.; Wang, X.; Zhang, C.; Shan, Z.; Xia, X.; et al. Antibiofilm activity of shikonin against Listeria monocytogenes and inhibition of key virulence factors. Food Control 2021, 120, 107558. [Google Scholar] [CrossRef]
- Sun, Q.; Gong, T.; Liu, M.; Ren, S.; Yang, H.; Zeng, S.; Zhao, H.; Chen, L.; Ming, T.; Meng, X.; et al. Shikonin, a naphthalene ingredient: Therapeutic actions, pharmacokinetics, toxicology, clinical trials and pharmaceutical researches. Phytomedicine 2022, 94, 153805. [Google Scholar] [CrossRef]
- Lee, Y.-S.; Lee, D.-Y.; Kim, Y.B.; Lee, S.-W.; Cha, S.-W.; Park, H.-W.; Kim, G.-S.; Kwon, D.-Y.; Lee, M.-H.; Han, S.-H. The Mechanism Underlying the Antibacterial Activity of Shikonin against Methicillin-Resistant Staphylococcus aureus. Evid. Based Complement. Altern. Med. 2015, 2015, 520578. [Google Scholar] [CrossRef] [PubMed]
- Wan, Y.; Wang, X.; Zhang, P.; Zhang, M.; Kou, M.; Shi, C.; Peng, X.; Wang, X. Control of Foodborne Staphylococcus aureus by Shikonin, a Natural Extract. Foods 2021, 10, 2954. [Google Scholar] [CrossRef] [PubMed]
- Jiang, Y.; Cao, Y. Endogenous nitric oxide accumulation is involved in the antifungal activity of Shikonin against Candida albicans. Emerg. Microbes Infect. 2016, 5, 1–6. [Google Scholar] [CrossRef]
- Liao, Z.; Zhu, Z.; Li, L.; Wang, L.; Wang, H.; Jiang, Y.; Cao, Y. Metabonomics on Candida albicans indicate the excessive H3K56ac is involved in the antifungal activity of Shikonin. Emerg. Microbes Infect. 2019, 8, 1243–1253. [Google Scholar] [CrossRef]
- Singh, B.; Sharma, R.A. Anti-Inflammatory and Antimicrobial Activity of Shikonin Derivatives from Arnebia hispidissima (Lehm.) DC. Phytopharmacology 2012, 3, 68–81. [Google Scholar]
- Miao, H.; Zhao, L.; Li, C.; Shang, Q.; Lu, H.; Fu, Z.; Wang, L.; Jiang, Y.; Cao, Y. Inhibitory Effect of Shikonin on Candida albicans Growth. Biol. Pharm. Bull. 2012, 35, 1956–1963. [Google Scholar] [CrossRef]
- Shishodia, S.K.; Shankar, J. Proteomic analysis revealed ROS-mediated growth inhibition of Aspergillus terreus by shikonin. J. Proteom. 2020, 224, 103849. [Google Scholar] [CrossRef]
- Yan, Y.; Tan, F.; Miao, H.; Wang, H.; Cao, Y. Effect of Shikonin Against Candida albicans Biofilms. Front. Microbiol. 2019, 10, 1085. [Google Scholar] [CrossRef]
- Sasaki, K.; Abe, H.; Yoshizaki, F. In Vitro Antifungal Activity of Naphthoquinone Derivatives. Biol. Pharm. Bull. 2002, 25, 669–670. [Google Scholar] [CrossRef]
- Pang, C.; Chen, J.; Liu, S.; Cao, Y.; Miao, H. In vitro antifungal activity of Shikonin against Candida albicans by inducing cellular apoptosis and necrosis. Mol. Biol. Rep. 2023, 50, 1079–1087. [Google Scholar] [CrossRef] [PubMed]
- Roy, S.; Rhim, J.-W. Fabrication of cellulose nanofiber-based functional color indicator film incorporated with shikonin extracted from Lithospermum erythrorhizon root. Food Hydrocoll. 2021, 114, 106566. [Google Scholar] [CrossRef]
- Ordoudi, S.A.; Tsermentseli, S.K.; Nenadis, N.; Assimopoulou, A.N.; Tsimidou, M.Z.; Papageorgiou, V.P. Structure-radical scavenging activity relationship of alkannin/shikonin derivatives. Food Chem. 2011, 124, 171–176. [Google Scholar] [CrossRef]
- Ezati, P.; Rhim, J.-W. Starch and Agar-Based Color-Indicator Films Integrated with Shikonin for Smart Packaging Application of Shrimp. ACS Food Sci. Technol. 2021, 1, 1963–1969. [Google Scholar] [CrossRef]
- Roy, S.; Kim, H.-J.; Rhim, J.-W. Effect of blended colorants of anthocyanin and shikonin on carboxymethyl cellulose/agar-based smart packaging film. Int. J. Biol. Macromol. 2021, 183, 305–315. [Google Scholar] [CrossRef]
- Zou, Y.; Sun, Y.; Shi, W.; Wan, B.; Zhang, H. Dual-functional shikonin-loaded quaternized chitosan/polycaprolactone nanofibrous film with pH-sensing for active and intelligent food packaging. Food Chem. 2023, 399, 133962. [Google Scholar] [CrossRef]
- Han, J.; Weng, X.; Bi, K. Antioxidants from a Chinese medicinal herb—Lithospermum erythrorhizon. Food Chem. 2008, 106, 2–10. [Google Scholar] [CrossRef]
- Ezati, P.; Rhim, J.-W. pH-responsive chitosan-based film incorporated with alizarin for intelligent packaging applications. Food Hydrocoll. 2020, 102, 105629. [Google Scholar] [CrossRef]
- Ma, Q.; Wang, L. Preparation of a visual pH-sensing film based on tara gum incorporating cellulose and extracts from grape skins. Sens. Actuators B Chem. 2016, 235, 401–407. [Google Scholar] [CrossRef]
- Dong, H.; Ling, Z.; Zhang, X.; Zhang, X.; Ramaswamy, S.; Xu, F. Smart colorimetric sensing films with high mechanical strength and hydrophobic properties for visual monitoring of shrimp and pork freshness. Sens. Actuators B Chem. 2020, 309, 127752. [Google Scholar] [CrossRef]
- Priyadarshi, R.; Ezati, P.; Rhim, J.-W. Recent Advances in Intelligent Food Packaging Applications Using Natural Food Colorants. ACS Food Sci. Technol. 2021, 1, 124–138. [Google Scholar] [CrossRef]
- Khan, M.R.; Volpe, S.; Sadiq, M.B.; Giannino, F.; Torrieri, E. Correlating in silico elucidation of interactions between hydroxybenzoic acids and casein with in vitro release kinetics for designing food packaging. Food Packag. Shelf Life 2022, 32, 100859. [Google Scholar] [CrossRef]
- Roy, S.; Rhim, J.-W. Preparation of Gelatin/Carrageenan-Based Color-Indicator Film Integrated with Shikonin and Propolis for Smart Food Packaging Applications. ACS Appl. Bio. Mater. 2020, 4, 770–779. [Google Scholar] [CrossRef]
- Papageorgiou, V.; Assimopoulou, A.; Samanidou, V.; Papadoyannis, I. Recent Advances in Chemistry, Biology and Biotechnology of Alkannins and Shikonins. Curr. Org. Chem. 2006, 10, 2123–2142. [Google Scholar] [CrossRef]
- Hasenoehrl, C.; Schwach, G.; Ghaffari-Tabrizi-Wizsy, N.; Fuchs, R.; Kretschmer, N.; Bauer, R.; Pfragner, R. Anti-tumor effects of shikonin derivatives on human medullary thyroid carcinoma cells. Endocr. Connect. 2017, 6, 53–62. [Google Scholar] [CrossRef] [PubMed]
- Durchschein, C.; Hufner, A.; Rinner, B.; Stallinger, A.; Deutsch, A.; Lohberger, B.; Bauer, R.; Kretschmer, N. Synthesis of Novel Shikonin Derivatives and Pharmacological Effects of Cyclopropylacetylshikonin on Melanoma Cells. Molecules 2018, 23, 2820. [Google Scholar] [CrossRef]
- Mu, Z.; Guo, J.; Zhang, D.; Xu, Y.; Zhou, M.; Guo, Y.; Hou, Y.; Gao, X.; Han, X.; Geng, L. Therapeutic Effects of Shikonin on Skin Diseases: A Review. Am. J. Chin. Med. 2021, 49, 1871–1895. [Google Scholar] [CrossRef]
- Wiench, B.; Eichhorn, T.; Paulsen, M.; Efferth, T. Shikonin Directly Targets Mitochondria and Causes Mitochondrial Dysfunction in Cancer Cells. Evid. Based Complement. Altern. Med. 2012, 2012, 1–15. [Google Scholar] [CrossRef] [PubMed]
- Du, W.; Hao, X.; Yuan, Z.; Wang, Y.; Zhang, X.; Liu, J. Shikonin potentiates paclitaxel antitumor efficacy in esophageal cancer cells via the apoptotic pathway. Oncol. Lett. 2019, 18, 3195–3201. [Google Scholar] [CrossRef]
- Sha, L.; Lv, Z.; Liu, Y.; Zhang, Y.; Sui, X.; Wang, T.; Zhang, H. Shikonin inhibits the Warburg effect, cell proliferation, invasion and migration by downregulating PFKFB2 expression in lung cancer. Mol. Med. Rep. 2021, 24, 1–10. [Google Scholar] [CrossRef]
- Ji, W.; Sun, X.; Gao, Y.; Lu, M.; Zhu, L.; Wang, D.; Hu, C.; Chen, J.; Cao, P. Natural Compound Shikonin Is a Novel PAK1 Inhibitor and Enhances Efficacy of Chemotherapy against Pancreatic Cancer Cells. Molecules 2022, 27, 2747. [Google Scholar] [CrossRef]
- Li, G.; Shang, C.; Li, Q.; Chen, L.; Yue, Z.; Ren, L.; Yang, J.; Zhang, J.; Wang, W. Combined Shikonin-Loaded MPEG-PCL Micelles Inhibits Effective Transition of Endothelial-to-Mesenchymal Cells. Int. J. Nanomed. 2022, 17, 4497–4508. [Google Scholar] [CrossRef]
- Liao, P.-L.; Lin, C.-H.; Li, C.-H.; Tsai, C.-H.; Ho, J.-D.; Chiou, G.C.Y.; Kang, J.-J.; Cheng, Y.-W. Anti-inflammatory properties of shikonin contribute to improved early-stage diabetic retinopathy. Sci. Rep. 2017, 7, srep44985. [Google Scholar] [CrossRef]
- Öberg, A.I.; Yassin, K.; Csikasz, R.I.; Dehvari, N.; Shabalina, I.G.; Hutchinson, D.S.; Wilcke, M.; Östenson, C.-G.; Bengtsson, T. Shikonin Increases Glucose Uptake in Skeletal Muscle Cells and Improves Plasma Glucose Levels in Diabetic Goto-Kakizaki Rats. PLoS ONE 2011, 6, e22510. [Google Scholar] [CrossRef]
- Saeed, M.; Tasleem, M.; Shoaib, A.; Alabdallah, N.M.; Alam, J.; El Asmar, Z.; Jamal, Q.M.S.; Bardakci, F.; Ansari, I.A.; Ansari, M.J.; et al. Investigation of antidiabetic properties of shikonin by targeting aldose reductase enzyme: In silico and in vitro studies. Biomed. Pharmacother. 2022, 150, 112985. [Google Scholar] [CrossRef]
- Wang, Y.; Xie, L.; Zhu, M.; Guo, Y.; Tu, Y.; Zhou, Y.; Zeng, J.; Zhu, L.; Du, S.; Wang, Z.; et al. Shikonin alleviates choroidal neovascularization by inhibiting proangiogenic factor production from infiltrating macrophages. Exp. Eye Res. 2021, 213, 108823. [Google Scholar] [CrossRef] [PubMed]
- Kadoyama, K.; Takenokuchi, M.; Matsuura, K.; Shichiri, H.; Watanabe, A.; Yamaguchi, H.; Takahashi, H.; Takano-Ohmuro, H.; Taniguchi, T. Therapeutic effects of shikonin on skin lesions in mouse models of allergic dermatitis and wound. Tradit. Kamp Med. 2019, 6, 62–70. [Google Scholar] [CrossRef]
- Yan, Y.; Furumura, M.; Gouya, T.; Iwanaga, A.; Teye, K.; Numata, S.; Karashima, T.; Li, X.-G.; Hashimoto, T. Shikonin Promotes Skin Cell Proliferation and Inhibits Nuclear Factor-κB Translocation via Proteasome Inhibition In Vitro. Chin. Med. J. 2015, 128, 2228–2233. [Google Scholar] [CrossRef] [PubMed]
- Xie, Y.; Fan, C.; Dong, Y.; Lynam, E.; Leavesley, D.I.; Li, K.; Su, Y.; Yang, Y.; Upton, Z. Functional and mechanistic investigation of Shikonin in scarring. Chem. Biol. Interact. 2015, 228, 18–27. [Google Scholar] [CrossRef]
- Papageorgiou, V.P.; Assimopoulou, A.N.; Couladouros, E.A.; Hepworth, D.; Nicolaou, K.C. The Chemistry and Biology of Alkannin, Shikonin, and Related Naphthazarin Natural Products. Angew. Chem. Int. Ed. 1999, 38, 270–301. [Google Scholar] [CrossRef]
- Dresler, S.; Szymczak, G.; Wójcik, M. Comparison of some secondary metabolite content in the seventeen species of the Boraginaceae family. Pharm. Biol. 2017, 55, 691–695. [Google Scholar] [CrossRef]
- Kim, J.S.; Seo, Y.C.; No, R.H.; Lee, H.Y. Improved cosmetic activity by optimizing the Lithospermum erythrorhizon extraction process. Cytotechnology 2015, 67, 51–65. [Google Scholar] [CrossRef]
- Papageorgiou, V.P.; Assimopoulou, A.N.; Kyriacou, G. Determination of naturally occurring hydroxynaphthoquinone polymers by size-exclusion chromatography. Chromatographia 2002, 55, 423–430. [Google Scholar] [CrossRef]
- Shen, J.; Shen, W.; Cai, X.; Wang, J.; Zheng, M. High performance liquid chromatographic method for determination of active components in lithospermum oil and its application to process optimization of lithospermum oil prepared by supercritical fluid extraction. Chin. J. Chromatogr. 2021, 39, 708–714. [Google Scholar] [CrossRef]
- Lee, H.-Y.; Kim, Y.-J.; Kim, E.-J.; Song, Y.-K.; Byun, S.Y. Red pigment from Lithospermum erythrorhizon by supercritical CO2 extraction. J. Cosmet. Sci. 2008, 59, 431–440. [Google Scholar] [PubMed]
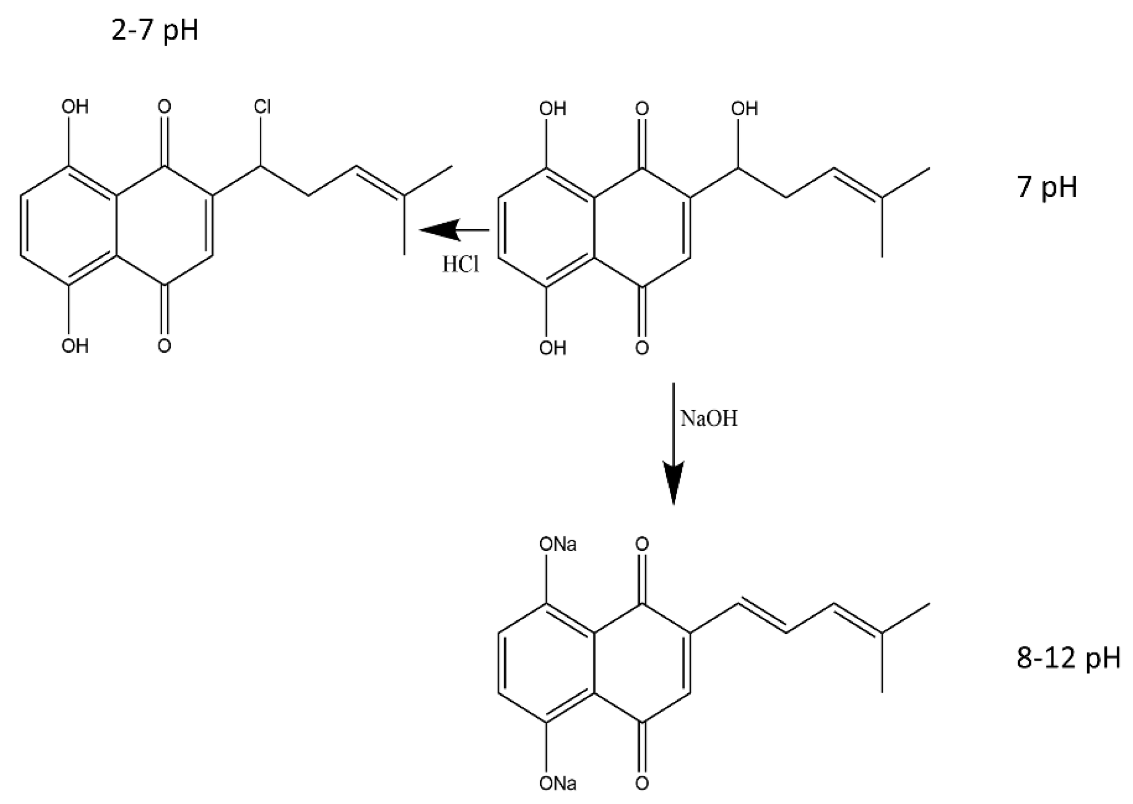
- Assimopoulou, A.N.; Papageorgiou, V.P. Study on isohexenylnaphthazarins polymerization in alkaline media. Biomed. Chromatogr. 2004, 18, 508–522. [Google Scholar] [CrossRef]
- Assimopoulou, A.N.; Papageorgiou, V.P. Radical Scavenging Activity of Alkanna tinctoria Root Extracts and Their Main Constituents, Hydroxynaphthoquinones. Phytother. Res. 2005, 19, 141–147. [Google Scholar] [CrossRef]
- Assimopoulou, A.N.; Boskou, D.; Papageorgiou, V.P. Antioxidant activities of alkannin, shikonin and Alkanna tinctoria root extracts in oil substrates. Food Chem. 2004, 87, 433–438. [Google Scholar] [CrossRef]
- Zuo, A.-R.; Dong, H.-H.; Yu, Y.-Y.; Shu, Q.-L.; Zheng, L.-X.; Yu, X.-Y.; Cao, S.-W. The antityrosinase and antioxidant activities of flavonoids dominated by the number and location of phenolic hydroxyl groups. Chin. Med. 2018, 13, 1–12. [Google Scholar] [CrossRef]
- Yoo, H.G.; Lee, B.H.; Kim, W.; Lee, J.S.; Kim, G.H.; Chun, O.K.; Koo, S.I.; Kim, D.-O. Lithospermum erythrorhizon Extract Protects Keratinocytes and Fibroblasts Against Oxidative Stress. J. Med. Food 2014, 17, 1189–1196. [Google Scholar] [CrossRef]
- Glynn, K.M.; Anderson, P.; Fast, D.J.; Koedam, J.; Rebhun, J.F.; Velliquette, R.A. Gromwell (Lithospermum erythrorhizon) root extract protects against glycation and related inflammatory and oxidative stress while offering UV absorption capability. Exp. Dermatol. 2018, 27, 1043–1047. [Google Scholar] [CrossRef]
- Jeong, Y.S.; Jung, H.K.; Hong, J.-H. Protective Effect of Mulberry and Lithospermum erythrorhizon Extracts on Anti-aging against Photodamage. J. Korean Soc. Food Sci. Nutr. 2013, 42, 1744–1752. [Google Scholar] [CrossRef]
- Chang, M.-J.; Huang, H.-C.; Chang, H.-C.; Chang, T.-M. Cosmetic formulations containing Lithospermum erythrorhizon root extract show moisturizing effects on human skin. Arch. Dermatol. Res. 2008, 300, 317–323. [Google Scholar] [CrossRef]
- Yani, H.; Zhihong, J.; Kelviv, S.-Y.L.; Zhongzhen, Z. Simultaneous Determination of Naphthoquinone Derivatives in Boraginaceous Herbs by High-Performance Liquid Chromatography. Anal. Chim. Acta 2006, 577, 26–31. [Google Scholar]
- Takahiro, I.; Ikuyo, S. Protection of Human Keratinocytes from UVB-Induced Inflammation Using Root Extract of Lithospermum erythrorhizon. Biol. Pharm. Bull. 2007, 30, 928–934. [Google Scholar]
- Yamashita, K.; Miyazaki, H.; Shinoda, S.; Hagiwara, S.; Takahashi, H.; Itagaki, H. Assessment of the skin sensitizing potential of chemicals, contained in foods and/or cosmetic ingredients, using a modified local lymph node assay with an elicitation phase (LLNA:DAE) method. J. Toxicol. Sci. 2018, 43, 513–520. [Google Scholar] [CrossRef]
- Natsuaki, M.; Takeda, Y.; Yano, N. A Case of Contact Dermatitis due to Shiun-ko and Taitsu-ko. Kamp Med. 2000, 51, 255–259. [Google Scholar] [CrossRef]
- Lee, C.C.; Wang, C.N.; Lai, Y.T.; Kang, J.J.; Liao, J.W.; Chiang, B.L.; Chen, H.C.; Cheng, Y.W. Shikonin Inhibits Maturation of Bone Marrow-Derived Dendritic Cells and Suppresses Allergic Airway Inflammation in a Murine Model of Asthma. Br. J. Pharmacol. 2010, 161, 1496–1511. [Google Scholar] [CrossRef] [PubMed]
- Wang, X.; Hayashi, S.; Umezaki, M.; Yamamoto, T.; Kageyama-Yahara, N.; Kondo, T.; Kadowaki, M. Shikonin, a constituent of Lithospermum erythrorhizon exhibits anti-allergic effects by suppressing orphan nuclear receptor Nr4a family gene expression as a new prototype of calcineurin inhibitors in mast cells. Chem. Biol. Interact. 2014, 224, 117–127. [Google Scholar] [CrossRef] [PubMed]
- Chen, H.-M.; Wang, P.-H.; Aravindaram, K.; Chen, Y.-H.; Yu, H.-H.; Yang, W.-C.; Yang, N.-S. Shikonin enhances efficacy of a gene-based cancer vaccine via induction of RANTES. J. Biomed. Sci. 2012, 19, 42. [Google Scholar] [CrossRef] [PubMed]
- Assimopoulou, A.N.; Papageorgiou, V.P. Encapsulation of isohexenylnaphthazarins in cyclodextrins. Biomed. Chromatogr. 2004, 18, 240–247. [Google Scholar] [CrossRef] [PubMed]
- Pan, N.; Xia, Y.; Hou, W.; Zhu, G.; Zhang, J.; Lai, W.; Zheng, Y. Assessment of Skin Photoallergy Risk in Cosmetics Containing Herbal Extract Ingredients. Ski. Pharmacol. Physiol. 2021, 34, 253–261. [Google Scholar] [CrossRef] [PubMed]




Disclaimer/Publisher’s Note: The statements, opinions and data contained in all publications are solely those of the individual author(s) and contributor(s) and not of MDPI and/or the editor(s). MDPI and/or the editor(s) disclaim responsibility for any injury to people or property resulting from any ideas, methods, instructions or products referred to in the content. |
© 2023 by the authors. Licensee MDPI, Basel, Switzerland. This article is an open access article distributed under the terms and conditions of the Creative Commons Attribution (CC BY) license (https://creativecommons.org/licenses/by/4.0/).
Share and Cite
Malik, S.; Brudzyńska, P.; Khan, M.R.; Sytar, O.; Makhzoum, A.; Sionkowska, A. Natural Plant-Derived Compounds in Food and Cosmetics: A Paradigm of Shikonin and Its Derivatives. Materials 2023, 16, 4377. https://doi.org/10.3390/ma16124377
Malik S, Brudzyńska P, Khan MR, Sytar O, Makhzoum A, Sionkowska A. Natural Plant-Derived Compounds in Food and Cosmetics: A Paradigm of Shikonin and Its Derivatives. Materials. 2023; 16(12):4377. https://doi.org/10.3390/ma16124377
Chicago/Turabian StyleMalik, Sonia, Patrycja Brudzyńska, Muhammad Rehan Khan, Oksana Sytar, Abdullah Makhzoum, and Alina Sionkowska. 2023. "Natural Plant-Derived Compounds in Food and Cosmetics: A Paradigm of Shikonin and Its Derivatives" Materials 16, no. 12: 4377. https://doi.org/10.3390/ma16124377
APA StyleMalik, S., Brudzyńska, P., Khan, M. R., Sytar, O., Makhzoum, A., & Sionkowska, A. (2023). Natural Plant-Derived Compounds in Food and Cosmetics: A Paradigm of Shikonin and Its Derivatives. Materials, 16(12), 4377. https://doi.org/10.3390/ma16124377

