The Primary Irradiation Damage of Hydrogen-Accumulated Nickel: An Atomistic Study
Abstract
1. Introduction
2. Simulation Methodology
3. Results and Discussion
3.1. H Concentration Effect on Displacement Damage
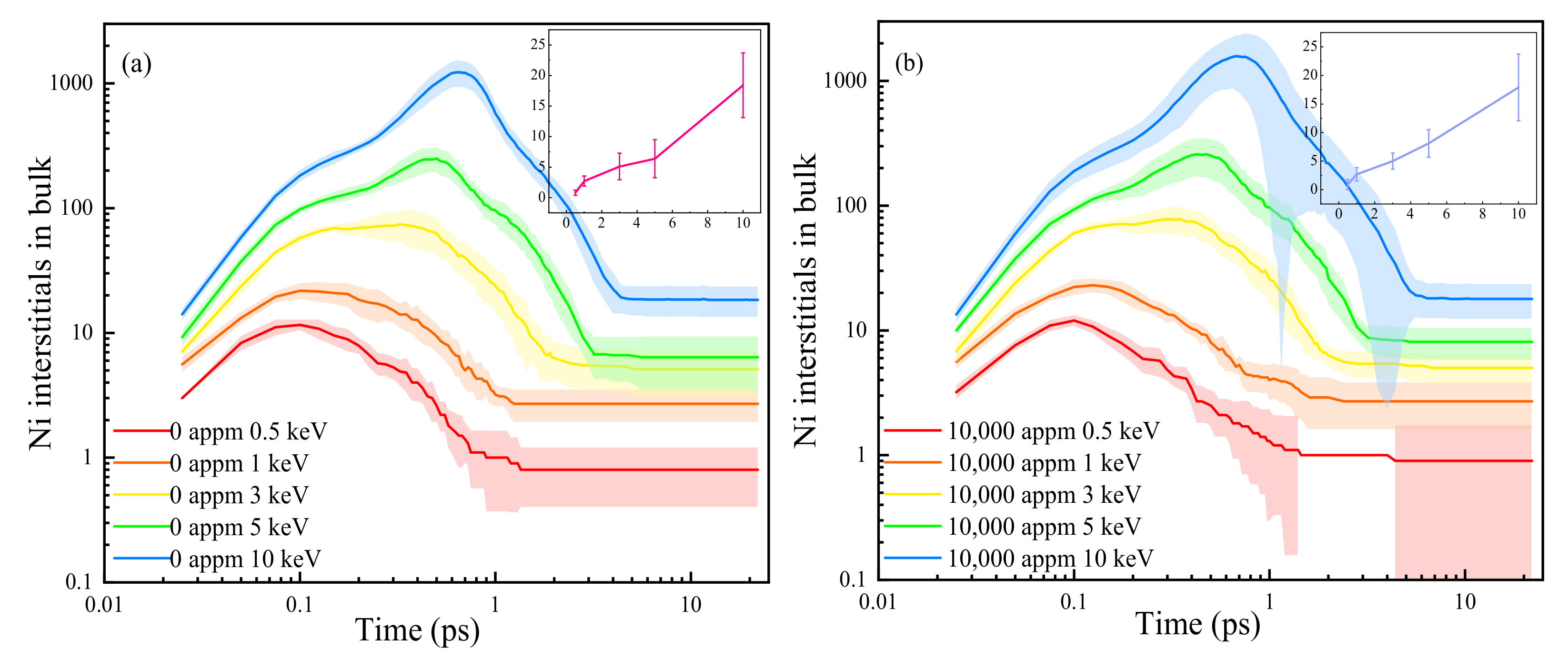
3.2. PKA Energy Effect on Displacement Damage
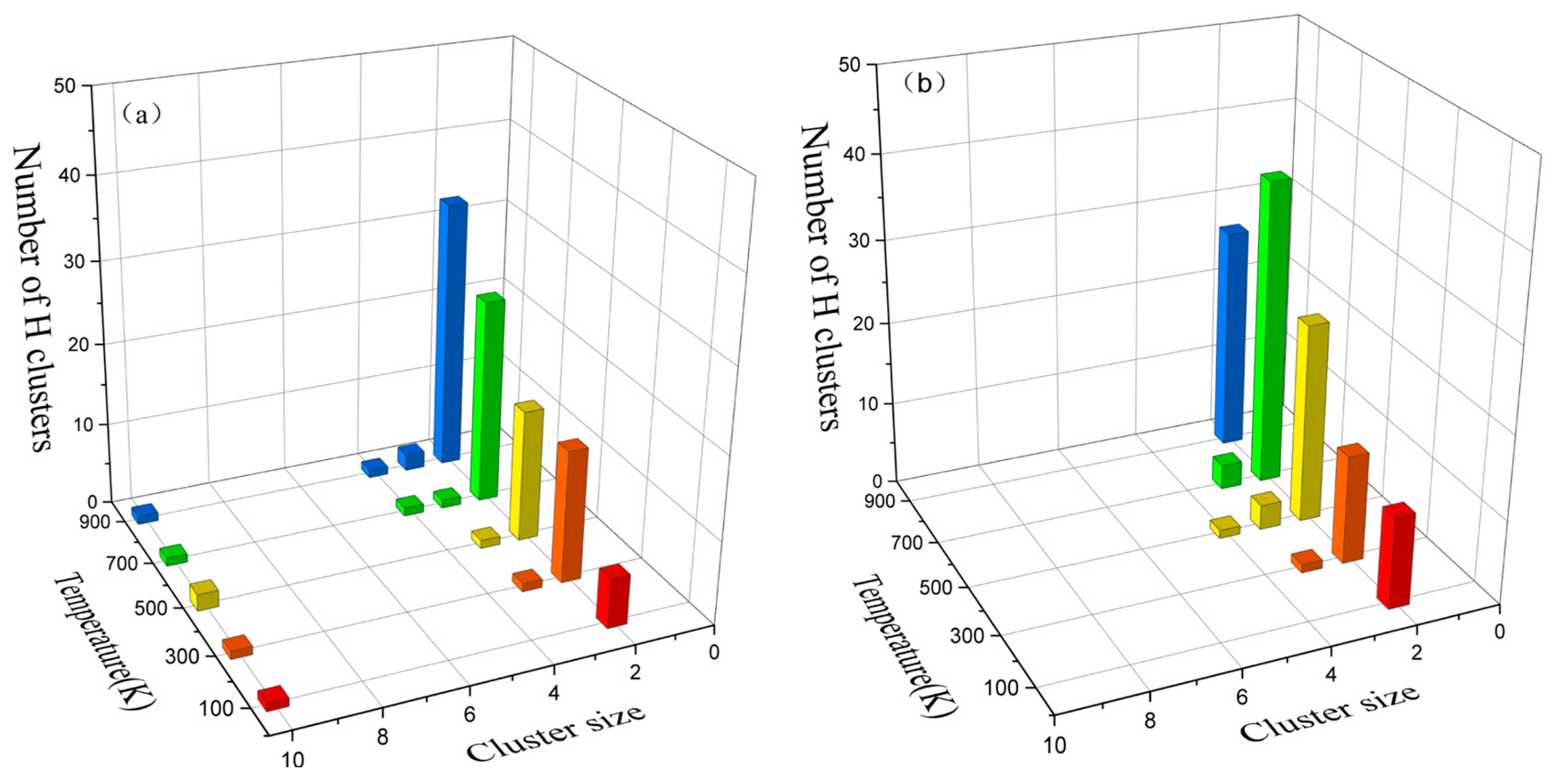
3.3. Simulation Temperature Effects on Displacement Damage
4. Conclusions
- (a)
- The presence of solute H atoms has an important effect on the formation of a displacement spike and, in particular, can induce the double-peak phenomenon. Due to the trapping of H atoms by vacancies, an increase in the solute H concentration can result in a higher number of surviving SIAs.
- (b)
- The increase in the PKA energy intensified the diffusion rate of the solute H atoms, promoting the recombination of H with vacancies while reducing the annihilation of the SIAs and vacancies. This caused more SIA clusters to form with the increasing PKA energy, leaving more severe damage in the H-containing system.
- (c)
- Although the increase in the temperature exacerbated the formation of clusters, especially H-related clusters, it was difficult to form large clusters due to the increase in the defect diffusion ability and small binding energies between the H and other clusters.
Supplementary Materials
Author Contributions
Funding
Institutional Review Board Statement
Informed Consent Statement
Data Availability Statement
Acknowledgments
Conflicts of Interest
References
- Dwivedi, S.K.; Vishwakarma, M. Hydrogen embrittlement in different materials: A review. Int. J. Hydrogen Energy 2018, 43, 21603–21616. [Google Scholar] [CrossRef]
- Johnson, W.H. On some remarkable changes produced in iron and steel by the action of hydrogen and acids. Nature 1875, 11, 393. [Google Scholar] [CrossRef]
- Robertson, I.M.; Sofronis, P.; Nagao, A.; Martin, M.L.; Wang, S.; Gross, D.W.; Nygren, K.E. Hydrogen Embrittlement Understood. Metall. Mater. Trans. B 2015, 46, 1085–1103. [Google Scholar] [CrossRef]
- Lynch, S. Hydrogen embrittlement phenomena and mechanisms. Corros. Rev. 2012, 30, 105–123. [Google Scholar] [CrossRef]
- Alexander, R.T. The role of hydrogen and other interstitials in the mechanical behavior of metals. Metallogr. Microstruct. Anal. 2016, 5, 557–569. [Google Scholar] [CrossRef]
- Gerberich, W.W.; Oriani, R.A.; Lji, M.J.; Chen, X.; Foecke, T. The necessity of both plasticity and brittleness in the fracture thresholds of iron. Philos. Mag. A 1991, 63, 363–376. [Google Scholar] [CrossRef]
- Sofronis, P.; Birnbaum, H.K. Mechanics of the hydrogen-dislocation-impurity interactions—I. Increasing Shear Modulus. J. Mech. Phys. Solids 1995, 43, 49–90. [Google Scholar] [CrossRef]
- Robertson, I.M. The effect of hydrogen on dislocation dynamics. Eng. Fract. Mech. 1999, 64, 649–673. [Google Scholar] [CrossRef]
- Torres, E.; Pencer, J.; Radford, D.D. Atomistic simulation study of the hydrogen diffusion in nickel. Comp. Mater. Sci. 2018, 152, 374–380. [Google Scholar] [CrossRef]
- Rowcliffe, A.F.; Mansur, L.K.; Hoelzer, D.T.; Nanstad, R.K. Perspectives on radiation effects in nickel-base alloys for applications in advanced reactors. J. Nucl. Mater. 2009, 392, 341–352. [Google Scholar] [CrossRef]
- Oono, N.; Ukai, S.; Kondo, S.; Hashitomi, O.; Kimura, A. Irradiation effects in oxide dispersion strengthened (ODS) Ni-base alloys for Gen. IV nuclear reactors. J. Nucl. Mater. 2015, 465, 835–839. [Google Scholar] [CrossRef]
- Stopher, M.A. The effects of neutron radiation on nickel-based alloys. Mater. Sci. Technol. 2016, 33, 518–536. [Google Scholar] [CrossRef]
- Harad, S.; Yokota, S.; Ishii, Y.; Shizuku, Y.; Kanazawa, M.; Fukai, Y. A relation between the vacancy concentration and hydrogen concentration in the Ni–H, Co–H and Pd–H systems. J. Alloys Compd. 2005, 404, 247–251. [Google Scholar] [CrossRef]
- Kuhr, B.; Farkas, D.; Robertson, I.M. Atomistic studies of hydrogen effects on grain boundary structure and deformation response in FCC Ni. Comp. Mater. Sci. 2016, 122, 92–101. [Google Scholar] [CrossRef]
- Lu, G.H.; Zhou, H.B.; Becquart, C.S. A review of modelling and simulation of hydrogen behaviour in tungsten at different scales. Nucl. Fusion 2014, 54, 086001. [Google Scholar] [CrossRef]
- Zhou, H.B.; Jin, S.; Zhang, Y.; Lu, G.H.; Liu, F. Anisotropic strain enhanced hydrogen solubility in bcc metals: The independence on the sign of strain. Phys. Rev. Lett. 2012, 109, 135502. [Google Scholar] [CrossRef]
- Becquart, C.S.; Domain, C. Solute–point defect interactions in bcc systems: Focus on first principles modelling in W and RPV steels. Curr. Opin. Solid State Mater. Sci. 2012, 16, 115–125. [Google Scholar] [CrossRef]
- Serra, E.; Perujo, A.; Benamati, G. Influence of traps on the deuterium behaviour in the low activation martensitic steels F82H and Batman. J. Nucl. Mater. 1997, 245, 108–114. [Google Scholar] [CrossRef]
- Hayward, E.; Beeler, B.; Deo, C. Multiple hydrogen trapping at monovacancies. Philos. Mag. Lett. 2012, 92, 217–225. [Google Scholar] [CrossRef]
- Wirth, B.D.; Hammond, K.D.; Krasheninnikov, S.I. Challenges and opportunities of modeling plasma–surface interactions in tungsten using high-performance computing. J. Nucl. Mater. 2015, 463, 30–38. [Google Scholar] [CrossRef]
- Dudarev, S.L. Density functional theory models for radiation damage. Annu. Rev. Mater. Res. 2013, 43, 35–61. [Google Scholar] [CrossRef]
- Plimpton, S. Fast parallel algorithms for short-range molecular dynamics. J. Comput. Phys. 1995, 117, 1–19. [Google Scholar] [CrossRef]
- Stukowski, A. Visualization and analysis of atomistic simulation data with OVITO–the Open Visualization Tool. Model. Simul. Mater. Sci. Eng. 2009, 18, 015012. [Google Scholar] [CrossRef]
- Bonny, G.; Castin, N.; Terentyev, D. Interatomic potential for studying ageing under irradiation in stainless steels: The FeNiCr model alloy. Model. Simul. Mat. Sci. Eng. 2013, 21, 085004. [Google Scholar] [CrossRef]
- Beck, D.E. A new interatomic potential function for helium. Mol. Phys. 1968, 14, 311–315. [Google Scholar] [CrossRef]
- Ziegler, J.F.; Biersack, J.P.; Littmark, U. The Stopping and Range of Ions in Matter. In Treatise on Heavy-Ion Science; Allan Bromley, D., Ed.; Springer: New York, NY, USA, 1985; pp. 93–129. [Google Scholar]
- Xiong, J.; Zhu, Y.; Li, Z.; Huang, M. Hydrogen-enhanced interfacial damage in Ni-based single crystal superalloy. Scr. Mater. 2018, 143, 30–34. [Google Scholar] [CrossRef]
- Al Hasan, M.A.; Wang, J.Q.; Lim, Y.C.; Hu, A.M.; Shin, S. Concentration dependence of hydrogen diffusion in α-iron from atomistic perspectives. Int. J. Hydrogen Energy 2019, 44, 27876–27884. [Google Scholar] [CrossRef]
- Kuopanportti, P.; Hayward, E.; Fu, C.C.; Kuronen, A.; Nordlund, K. Interatomic Fe-H potential for irradiation and embrittlement simulations. Comp. Mater. Sci. 2016, 111, 525–531. [Google Scholar] [CrossRef]
- Nordlund, K.; Zinkle, S.J.; Sand, A.E.; Granberg, F.; Averback, R.S.; Stoller, R.; Suzudo, T.; Malerba, L.; Banhart, F.; Weber, W.J.; et al. Improving atomic displacement and replacement calculations with physically realistic damage models. Nat. Commun. 2018, 9, 1084. [Google Scholar] [CrossRef]
- Huang, H.; Cai, B.; Li, H.; Yuan, X.T.; Jin, Y. Atomistic simulation of energetic displacement cascades near an Ni–graphene interface. J. Supercrit. Fluids 2021, 170, 105162. [Google Scholar] [CrossRef]
- Velişa, G.; Granberg, F.; Levo, E.; Zhou, Y.; Fan, Z.; Bei, H.; Tuomisto, F.; Nordlund, K.; Djurabekova, F.; Weber, W.J.; et al. Recent progress on understanding the temperature-dependent irradiation resistance ranking among NiFe, NiCoCr, and NiCoFeCr alloys: A review. J. Mater. Res. 2023, 38, 1510–1526. [Google Scholar] [CrossRef]
- Chen, F.; Tang, X.; Yang, Y.; Huang, H.; Liu, J.; Li, H.; Chen, D. Atomic simulations of Fe/Ni multilayer nanocomposites on the radiation damage resistance. J. Nucl. Mater. 2016, 468, 164–170. [Google Scholar] [CrossRef]
- Song, J.; Curtin, W.A. A nanoscale mechanism of hydrogen embrittlement in metals. Acta Mater. 2011, 59, 1557–1569. [Google Scholar] [CrossRef]
- Li, B.; Li, H.Y.; Luo, S.N. Molecular dynamics simulations of displacement cascades in nanotwinned Cu. Comp. Mater. Sci. 2018, 152, 38–42. [Google Scholar] [CrossRef]
- Daw, M.S.; Bisson, C.L.; Wilson, W.D. Calculations of the binding of hydrogen to fixed interstitial impurities in nickel. Metall. Trans. A 1983, 14, 1257–1260. [Google Scholar] [CrossRef]
- Lu, T.; Niu, G.J.; Luo, G.N.; Xu, Y.P.; Wang, J.; An, Z.Q.; Liu, H.D.; Zhou, H.S.; Ding, F.; Li, X.C. Molecular dynamics study of the diffusion properties of H in Fe with point defects. Fusion Eng. Des. 2016, 113, 340–345. [Google Scholar] [CrossRef]
- Hsieh, H.; Diaz, D.; Averback, R.S.; Benedek, R. Effect of temperature on the dynamics of energetic displacement cascades: A molecular dynamics study. Phys. Rev. B 1989, 40, 9986–9988. [Google Scholar] [CrossRef]
- Tateyama, Y.; Ohno, T. Stability and clusterization of hydrogen-vacancy complexes in α−Fe: An ab initio study. Phys. Rev. B 2003, 67, 174105. [Google Scholar] [CrossRef]
- Oudriss, A.; Creus, J.; Bouhattate, J.; Conforto, E.; Berziou, C.; Savall, C.; Feaugas, X. Grain size and grain-boundary effects on diffusion and trapping of hydrogen in pure nickel. Acta Mater. 2012, 60, 6814–6828. [Google Scholar] [CrossRef]
- Metsue, A.; Oudriss, A.; Bouhattate, J.; Feaugas, X. Contribution of the entropy on the thermodynamic equilibrium of vacancies in nickel. J. Chem. Phys. 2014, 140, 104705. [Google Scholar] [CrossRef]
- Troev, T.; Nankov, N.; Yoshiie, T. Simulation of displacement cascades in tungsten irradiated by fusion neutrons. Nucl. Instrum. Meth. B 2011, 269, 566–571. [Google Scholar] [CrossRef]
- Li, X.Y.; Zhang, Y.G.; Wu, X.B.; Xu, Y.C.; Kong, X.S.; Wang, X.P.; Fang, Q.F.; Liu, C.S. Interaction of radiation-induced defects with tungsten grain boundaries at across scales: A short review. Tungsten 2020, 2, 15–33. [Google Scholar] [CrossRef]
- Voskoboinikov, R.E. Simulation of Primary Radiation Damage in Nickel. Phys. Met. Metallogr. 2020, 121, 14–20. [Google Scholar] [CrossRef]
- Yu, T.; Xie, H.X.; Wang, C.Y. Effect of H impurity on misfit dislocation in Ni-based single-crystal superalloy: Molecular dynamic simulations. Chinese Phys. B 2012, 21, 026104. [Google Scholar] [CrossRef]
- Lv, G.; Zhang, M.; Zhang, H.; Su, Y.J. Hydrogen diffusion and vacancy clusterization in iron. Int. J. Hydrogen Energ. 2018, 43, 15378–15385. [Google Scholar] [CrossRef]
- Lu, T.; Xu, T.P.; Pan, X.D.; Zhou, H.S.; Ding, F.; Yang, Z.S.; Niu, G.J.; Luo, G.N.; Li, X.C.; Gao, F. Atomistic study of hydrogen behavior around dislocations in α iron. J. Nucl. Mater. 2018, 510, 219–228. [Google Scholar] [CrossRef]
- Béland, L.K.; Lu, C.Y.; Osetskiy, Y.N.; Samolyuk, G.D.; Caro, A.; Lu, L.M.; Stoller, R.E. Features of primary damage by high energy displacement cascades in concentrated Ni-based alloys. J. Appl. Phys. 2016, 119, 085901. [Google Scholar] [CrossRef]
- Xu, B.; Hung, S.W.; Hu, S.Q.; Shao, C.; Guo, R.L.; Choi, J.; Kodama, T.; Chen, F.R. Scalable monolayer-functionalized nanointerface for thermal conductivity enhancement in copper/diamond composite. Carbon 2021, 175, 299–306. [Google Scholar] [CrossRef]









Disclaimer/Publisher’s Note: The statements, opinions and data contained in all publications are solely those of the individual author(s) and contributor(s) and not of MDPI and/or the editor(s). MDPI and/or the editor(s) disclaim responsibility for any injury to people or property resulting from any ideas, methods, instructions or products referred to in the content. |
© 2023 by the authors. Licensee MDPI, Basel, Switzerland. This article is an open access article distributed under the terms and conditions of the Creative Commons Attribution (CC BY) license (https://creativecommons.org/licenses/by/4.0/).
Share and Cite
Yuan, X.; Huang, H.; Zhong, Y.; Cai, B.; Liu, Z.; Peng, Q. The Primary Irradiation Damage of Hydrogen-Accumulated Nickel: An Atomistic Study. Materials 2023, 16, 4296. https://doi.org/10.3390/ma16124296
Yuan X, Huang H, Zhong Y, Cai B, Liu Z, Peng Q. The Primary Irradiation Damage of Hydrogen-Accumulated Nickel: An Atomistic Study. Materials. 2023; 16(12):4296. https://doi.org/10.3390/ma16124296
Chicago/Turabian StyleYuan, Xiaoting, Hai Huang, Yinghui Zhong, Bin Cai, Zhongxia Liu, and Qing Peng. 2023. "The Primary Irradiation Damage of Hydrogen-Accumulated Nickel: An Atomistic Study" Materials 16, no. 12: 4296. https://doi.org/10.3390/ma16124296
APA StyleYuan, X., Huang, H., Zhong, Y., Cai, B., Liu, Z., & Peng, Q. (2023). The Primary Irradiation Damage of Hydrogen-Accumulated Nickel: An Atomistic Study. Materials, 16(12), 4296. https://doi.org/10.3390/ma16124296

