Thermoelectric Properties of the Corbino Disk in Graphene
Abstract
1. Introduction
2. Model and Methods
2.1. Scattering of Dirac Fermions
2.2. Thermoelectric Characteristics
3. Results and Discussion
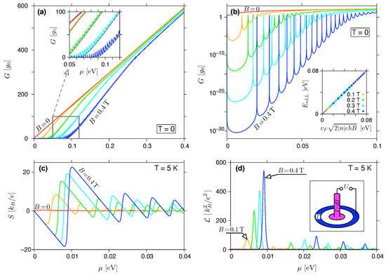
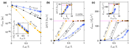
3.1. Zero-Temperature Conductance
3.2. Thermopower and the Lorentz Number
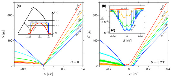
3.3. Smooth Potential Barriers
4. Conclusions
Author Contributions
Funding
Institutional Review Board Statement
Informed Consent Statement
Data Availability Statement
Conflicts of Interest
Appendix A. Incoherent Transport at the Magnetic Field

References
- Novoselov, K.S.; Geim, A.K.; Morozov, S.V.; Jiang, D.; Zhang, Y.; Dubonos, S.V.; Grigorieva, I.V.; Firsov, A.A. Electric Field Effect in Atomically Thin Carbon Films. Science 2004, 306, 666. [Google Scholar] [CrossRef] [PubMed]
- Novoselov, K.S.; Geim, A.K.; Morozov, S.V.; Jiang, D.; Katsnelson, M.I.; Grigorieva, I.V.; Dubonos, S.V.; Firsov, A.A. Two-dimensional gas of massless Dirac fermions in graphene. Nature 2005, 438, 197. [Google Scholar] [CrossRef]
- Zhang, Y.; Tan, Y.-W.; Stormer, H.L.; Kim, P. Experimental observation of the quantum Hall effect and Berry’s phase in graphene. Nature 2005, 438, 201. [Google Scholar] [CrossRef] [PubMed]
- Das Sarma, S.; Adam, S.; Hwang, E.H.; Rossi, E. Electronic transport in two dimensional graphene. Rev. Mod. Phys. 2011, 83, 407. [Google Scholar] [CrossRef]
- Rozhkov, A.V.; Giavaras, G.; Bliokh, Y.P.; Freilikher, V.; Nori, F. Electronic properties of mesoscopic graphene structures: Charge confinement and control of spin and charge transport. Phys. Rep. 2011, 503, 77. [Google Scholar] [CrossRef]
- Katsnelson, M.I. The Physics of Graphene, 2nd ed.; Cambridge University Press: Cambridge, UK, 2020; Chapter 3. [Google Scholar] [CrossRef]
- Lee, G.H.; Efetov, D.K.; Jung, W.; Ranzani, L.; Walsh, E.D.; Ohki, T.A.; Taniguchi, T.; Watanabe, K.; Kim, P.; Englund, D.; et al. Graphene-based Josephson junction microwave bolometer. Nature 2020, 586, 42. [Google Scholar] [CrossRef]
- Li, T.; Da, H.; Du, X.; He, J.J.; Yan, X. Giant enhancement of Goos-Hänchen shift in graphene-based dielectric grating. J. Phys. D Appl. Phys. 2020, 53, 115108. [Google Scholar] [CrossRef]
- Ronen, Y.; Werkmeister, T.; Najafabadi, D.H.; Pierce, A.T.; Anderson, L.E.; Shin, Y.J.; Lee, S.Y.; Lee, Y.H.; Johnson, B.; Watanabe, K.; et al. Aharonov-Bohm effect in graphene-based Fabry-Pérot quantum Hall interferometers. Nat. Nanotechnol. 2021, 16, 563. [Google Scholar] [CrossRef]
- Schmitt, A.; Vallet, P.; Mele, D.; Rosticher, M.; Taniguchi, T.; Watanabe, K.; Bocquillon, E.; Fève, G.; Berroir, J.M.; Voisin, C.; et al. Mesoscopic Klein-Schwinger effect in graphene. Nat. Phys. 2023. [Google Scholar] [CrossRef]
- Kalmbach, C.-C.; Schurr, J.; Ahlers, F.J.; Müller, A.; Novikov, S.; Lebedeva, N.; Satrapinski, A. Towards a Graphene-Based Quantum Impedance Standard. Appl. Phys. Lett. 2014, 105, 073511. [Google Scholar] [CrossRef]
- Lafont, F.; Ribeiro-Palau, R.; Kazazis, D.; Michon, A.; Couturaud, O.; Consejo, C.; Chassagne, T.; Zielinski, M.; Portail, M.; Jouault, B.; et al. Quantum Hall resistance standards from graphene grown by chemical vapour deposition on silicon carbide. Nat. Commun. 2015, 6, 6806. [Google Scholar] [CrossRef]
- Kruskopf, M.; Elmquist, R.E. Epitaxial graphene for quantum resistance metrology. Metrologia 2018, 55, R27. [Google Scholar] [CrossRef]
- Polini, M.; Guinea, F.; Lewenstein, M.; Manoharan, H.C.; Pellegrini, V. Artificial honeycomb lattices for electrons, atoms and photons. Nat. Nanotechnol. 2013, 8, 625. [Google Scholar] [CrossRef] [PubMed]
- Mattheakis, M.; Valagiannopoulos, C.A.; Kaxiras, E. Epsilon-near-zero behavior from plasmonic Dirac point: Theory and realization using two-dimensional materials. Phys. Rev. B 2016, 94, 201404(R). [Google Scholar] [CrossRef]
- Trainer, D.J.; Srinivasan, S.; Fisher, B.L.; Zhang, Y.; Pfeiffer, C.R.; Hla, S.-W.; Darancet, P.; Guisinger, N.P. Manipulating topology in tailored artificial graphene nanoribbons. arXiv 2021, arXiv:2104.11334. [Google Scholar]
- Cheianov, V.V.; Fal’ko, V.I. Selective transmission of Dirac electrons and ballistic magnetoresistance of n-p junctions in graphene. Phys. Rev. B 2006, 74, 041403(R). [Google Scholar] [CrossRef]
- Rycerz, A.; Recher, P.; Wimmer, M. Conformal mapping and shot noise in graphene. Phys. Rev. B 2009, 80, 125417. [Google Scholar] [CrossRef]
- Rycerz, A. Magnetoconductance of the Corbino disk in graphene. Phys. Rev. B 2010, 81, 121404(R). [Google Scholar] [CrossRef]
- Peters, E.C.; Giesbers, A.J.M.; Burghard, M.; Kern, K. Scaling in the quantum Hall regime of graphene Corbino devices. Appl. Phys. Lett. 2014, 104, 203109. [Google Scholar] [CrossRef]
- Abdollahipour, B.; Moomivand, E. Magnetopumping current in graphene Corbino pump. Phys. E 2017, 86, 204. [Google Scholar] [CrossRef]
- Zeng, Y.; Li, J.I.A.; Dietrich, S.A.; Ghosh, O.M.; Watanabe, K.; Taniguchi, T.; Hone, J.; Dean, C.R. High-Quality Magnetotransport in Graphene Using the Edge-Free Corbino Geometry. Phys. Rev. Lett. 2019, 122, 137701. [Google Scholar] [CrossRef] [PubMed]
- Suszalski, D.; Rut, G.; Rycerz, A. Mesoscopic valley filter in graphene Corbino disk containing a p-n junction. J. Phys. Mater. 2020, 3, 015006. [Google Scholar] [CrossRef]
- Kamada, M.; Gall, V.; Sarkar, J.; Kumar, M.; Laitinen, A.; Gornyi, I.; Hakonen, P. Strong magnetoresistance in a graphene Corbino disk at low magnetic fields. Phys. Rev. B 2021, 104, 115432. [Google Scholar] [CrossRef]
- Yerin, Y.; Gusynin, V.P.; Sharapov, S.G.; Varlamov, A.A. Genesis and fading away of persistent currents in a Corbino disk geometry. Phys. Rev. B 2021, 104, 075415. [Google Scholar] [CrossRef]
- Dollfus, P.; Nguyen, V.H.; Saint-Martin, J. Thermoelectric effects in graphene nanostructures. J. Phys. Condens. Matter 2015, 27, 133204. [Google Scholar] [CrossRef] [PubMed]
- Wang, C.R.; Lu, W.-S.; Hao, L.; Lee, W.-L.; Lee, T.-K.; Lin, F.; Cheng, I.-C.; Chen, J.-Z. Enhanced thermoelectric power in dual-gated bilayer graphene. Phys. Rev. Lett. 2011, 107, 186602. [Google Scholar] [CrossRef] [PubMed]
- Chien, Y.Y.; Yuan, H.; Wang, C.R.; Lee, W.L. Thermoelectric Power in Bilayer Graphene Device with Ionic Liquid Gating. Sci. Rep. 2016, 6, 20402. [Google Scholar] [CrossRef] [PubMed]
- Mahapatra, P.S.; Sarkar, K.; Krishnamurthy, H.R.; Mukerjee, S.; Ghosh, A. Seebeck Coefficient of a Single van der Waals Junction in Twisted Bilayer Graphene. Nano Lett. 2017, 17, 6822. [Google Scholar] [CrossRef]
- Suszalski, D.; Rut, G.; Rycerz, A. Lifshitz transition and thermoelectric properties of bilayer graphene. Phys. Rev. B 2018, 97, 125403. [Google Scholar] [CrossRef]
- Suszalski, D.; Rut, G.; Rycerz, A. Thermoelectric properties of gapped bilayer graphene. J. Phys. Condens. Matter 2019, 31, 415501. [Google Scholar] [CrossRef]
- Zong, P.; Liang, J.; Zhang, P.; Wan, C.; Wang, Y.; Koumoto, K. Graphene-Based Thermoelectrics. ACS Appl. Energy Mater. 2020, 3, 2224. [Google Scholar] [CrossRef]
- Dai, Y.B.; Luo, K.; Wang, X.F. Thermoelectric properties of graphene-like nanoribbon studied from the perspective of symmetry. Sci. Rep. 2020, 10, 9105. [Google Scholar] [CrossRef]
- Jayaraman, A.; Hsieh, K.; Ghawri, B.; Mahapatra, P.S.; Watanabe, K.; Taniguchi, T.; Ghosh, A. Evidence of Lifshitz Transition in the Thermoelectric Power of Ultrahigh-Mobility Bilayer Graphene. Nano Lett. 2021, 21, 1221. [Google Scholar] [CrossRef]
- Ciepielewski, A.S.; Tworzydło, J.; Hyart, T.; Lau, A. Transport signatures of Van Hove singularities in mesoscopic twisted bilayer graphene. Phys. Rev. Res. 2022, 4, 043145. [Google Scholar] [CrossRef]
- Lee, M.-J.; Ahn, J.-H.; Sung, J.H.; Heo, H.; Jeon, S.G.; Lee, W.; Song, J.Y.; Hong, K.-H.; Choi, B.; Lee, S.-H.; et al. Thermoelectric materials by using two-dimensional materials with negative correlation between electrical and thermal conductivity. Nat. Commun. 2016, 7, 12011. [Google Scholar] [CrossRef]
- Sevinçli, H. Quartic Dispersion, Strong Singularity, Magnetic Instability, and Unique Thermoelectric Properties in Two-Dimensional Hexagonal Lattices of Group-VA Elements. Nano Lett. 2017, 17, 2589. [Google Scholar] [CrossRef] [PubMed]
- Qin, D.; Yan, P.; Ding, G.; Ge, X.; Song, H.; Gao, G. Monolayer PdSe2: A promising two-dimensional thermoelectric material. Sci. Rep. 2018, 8, 2764. [Google Scholar] [CrossRef]
- Li, D.; Gong, Y.; Chen, Y.; Lin, J.; Khan, Q.; Zhang, Y.; Li, Y.; Zhang, H.; Xie, H. Recent Progress of Two-Dimensional Thermoelectric Materials. Nano-Micro Lett. 2020, 12, 36. [Google Scholar] [CrossRef]
- Hao, L.; Lee, T.K. Thermopower of gapped bilayer graphene. Phys. Rev. B 2010, 81, 165445. [Google Scholar] [CrossRef]
- Goldsmid, H.J.; Sharp, J.W. Estimation of the thermal band gap of a semiconductor from Seebeck measurements. J. Electron. Mater. 1999, 28, 869. [Google Scholar] [CrossRef]
- Rycerz, A. Wiedemann–Franz law for massless Dirac fermions with implications for graphene. Materials 2021, 14, 2704. [Google Scholar] [CrossRef] [PubMed]
- Li, S.; Levchenko, A.; Andreev, A.V. Hydrodynamic thermoelectric transport in Corbino geometry. Phys. Rev. B 2022, 105, 125302. [Google Scholar] [CrossRef]
- Barlas, Y.; Yang, K. Thermopower of quantum Hall states in Corbino geometry as a measure of quasiparticle entropy. Phys. Rev. B 2012, 85, 195107. [Google Scholar] [CrossRef]
- Kobayakawa, S.; Endo, A.; Iye, Y. Diffusion Thermopower of Quantum Hall States Measured in Corbino Geometry. J. Phys. Soc. Jpn. 2013, 82, 053702. [Google Scholar] [CrossRef]
- d’Ambrumenil, N.; Morf, R.H. Thermopower in the Quantum Hall Regime. Phys. Rev. Lett. 2013, 111, 136805. [Google Scholar] [CrossRef]
- Real, M.; Gresta, D.; Reichl, C.; Weis, J.; Tonina, A.; Giudici, P.; Arrachea, L.; Wegscheider, W.; Dietsche, W. Thermoelectricity in Quantum Hall Corbino Structures. Phys. Rev. Appl. 2020, 14, 034019. [Google Scholar] [CrossRef]
- Rycerz, A.; Witkowski, P. Sub-Sharvin conductance and enhanced shot noise in doped graphene. Phys. Rev. B 2021, 104, 165413. [Google Scholar] [CrossRef]
- Rycerz, A.; Witkowski, P. Theory of sub-Sharvin charge transport in graphene disks. Phys. Rev. B 2022, 106, 155428. [Google Scholar] [CrossRef]
- Numerical Evaluation of the Hankel Functions, Hν(x)(1,2) = Jν(x) ± iYν(x) with ν ≥ 0, Are Performed Employing the Double-Precision Regular [Irregular] Bessel Function of the Fractional Order Jν(x) [Yν(x)] as Implemented in Gnu Scientific Library (GSL). For ν < 0, we use or . Available online: https://www.gnu.org/software/gsl/doc/html/specfunc.html#bessel-functions (accessed on 4 June 2023).
- Anderson, E.; Bai, Z.; Bischof, C.; Blackford, S.; Demmel, J.; Dongarra, J. LAPACK Users’ Guide, 3rd ed.; Society for Industrial and Applied Mathematics: Philadelphia, PA, USA, 1999. [Google Scholar]
- Dormand, J.R.; Prince, P.J. A family of embedded Runge–Kutta formulae. J. Comput. Appl. Math. 1980, 6, 19. [Google Scholar] [CrossRef]
- Landauer, R. Spatial Variation of Currents and Fields Due to Localized Scatterers in Metallic Conduction. IBM J. Res. Dev. 1957, 1, 223. [Google Scholar] [CrossRef]
- Büttiker, M.; Imry, Y.; Landauer, R.; Pinhas, S. Generalized many-channel conductance formula with application to small rings. Phys. Rev. B 1985, 31, 6207. [Google Scholar] [CrossRef] [PubMed]
- Paulsson, M.; Datta, S. Thermoelectric effect in molecular electronics. Phys. Rev. B 2003, 67, 241403(R). [Google Scholar] [CrossRef]
- Esfarjani, K.; Zebarjadi, M. Thermoelectric properties of a nanocontact made of two-capped single-wall carbon nanotubes calculated within the tight-binding approximation. Phys. Rev. B 2006, 73, 085406. [Google Scholar] [CrossRef]
- Kittel, C. Introduction to Solid State Physics, 8th ed.; John Willey and Sons: New York, NY, USA, 2005; Chapter 6. [Google Scholar]
- Sharapov, S.G.; Gusynin, V.P.; Beck, H. Transport properties in the d-density-wave state in an external magnetic field: The Wiedemann-Franz law. Phys. Rev. B 2003, 67, 144509. [Google Scholar] [CrossRef]
- Saito, K.; Nakamura, J.; Natori, A. Ballistic thermal conductance of a graphene sheet. Phys. Rev. B 2007, 76, 115409. [Google Scholar] [CrossRef]
- Yoshino, H.; Murata, K. Significant Enhancement of Electronic Thermal Conductivity of Two-Dimensional Zero-Gap Systems by Bipolar-Diffusion Effect. J. Phys. Soc. Jpn. 2015, 84, 024601. [Google Scholar] [CrossRef]
- Inglot, M.; Dyrdał, A.; Dugaev, V.K.; Barnaś, J. Thermoelectric effect enhanced by resonant states in graphene. Phys. Rev. B 2015, 91, 115410. [Google Scholar] [CrossRef]
- Nakata, M. The MPACK (MBLAS/MLAPACK): A Multiple Precision Arithmetic Version of BLAS and LAPACK. Version 0.7.0. 2012. Available online: http://mplapack.sourceforge.net (accessed on 4 June 2023).






Disclaimer/Publisher’s Note: The statements, opinions and data contained in all publications are solely those of the individual author(s) and contributor(s) and not of MDPI and/or the editor(s). MDPI and/or the editor(s) disclaim responsibility for any injury to people or property resulting from any ideas, methods, instructions or products referred to in the content. |
© 2023 by the authors. Licensee MDPI, Basel, Switzerland. This article is an open access article distributed under the terms and conditions of the Creative Commons Attribution (CC BY) license (https://creativecommons.org/licenses/by/4.0/).
Share and Cite
Rycerz, A.; Rycerz, K.; Witkowski, P. Thermoelectric Properties of the Corbino Disk in Graphene. Materials 2023, 16, 4250. https://doi.org/10.3390/ma16124250
Rycerz A, Rycerz K, Witkowski P. Thermoelectric Properties of the Corbino Disk in Graphene. Materials. 2023; 16(12):4250. https://doi.org/10.3390/ma16124250
Chicago/Turabian StyleRycerz, Adam, Katarzyna Rycerz, and Piotr Witkowski. 2023. "Thermoelectric Properties of the Corbino Disk in Graphene" Materials 16, no. 12: 4250. https://doi.org/10.3390/ma16124250
APA StyleRycerz, A., Rycerz, K., & Witkowski, P. (2023). Thermoelectric Properties of the Corbino Disk in Graphene. Materials, 16(12), 4250. https://doi.org/10.3390/ma16124250

