Numerical Investigation of Longitudinal through Voids in Tunnel Secondary Lining Vaults and Steel Plate Strengthening
Abstract
1. Introduction
2. Local Experiment and Numerical Verification
3. Numerical Model Setups
3.1. Geometry and FE Mesh
3.2. Material
3.3. Loading and Boundary Conditions
4. Results
4.1. Circumferential Stress on the Lower Surface
4.2. Vertical Deformation
4.3. Axial Force
4.4. Bending Moment
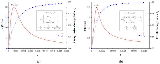
4.5. Damage
5. Steel Plate Strengthening Model for Void Lining
5.1. Simulation of the Steel Plates Strengthening to Void Lining
5.2. Evaluation of Strengthening Effect
6. Conclusions
- The impact of the through void on the lining stress was mainly concentrated in the lining of the void part and at the void boundary. This shows that the tensile stress range and cracks of the vault through void were concentrated on the void boundary, mainly along the longitudinal crack; moreover, the number of cracks gradually increased with increasing void height. The damage caused by compressive stress was mainly concentrated in the vault, which may carry the risk of falling blocks or even crushing.
- The influence of the through void on the vertical deformation of the lining was mainly manifested in the relative bulge of the lining inside the void zone. With the progressive increase in void height, the midspan bulge value increased gradually. The vertical deformation change caused by the void mainly concentrated in the local range of 40° of the vault. Longitudinally, constrained by the front and rear linings, the vault bulge was maximum at the middle of the lining, and gradually diminished toward both sides; there was no bulge at the construction joint.
- Through voids led to decreasing lining axial force. A greater void height led to a greater reduction in the axial force. At the vault, the axial force of the lining without a void was 7.223 × 108 N, while the axial force of the 3H/4 void lining decreased to 3.753 × 108 N, which was a 48% reduction. At the same void height, the influence of through void on the axial force mainly concentrated in the void range, and the axial force of the lining in the void part was significantly lower than that in the non-void part.
- The influence of through void on the bending moment was large, mainly concentrated in the range of 80° of the arch crown. When the void occurred, the positive bending moment at the void boundary increased significantly, which led to greater tensile stress on the lower surface. The vault bending moment became negative, indicating that the lower surface of the vault was under compression.
- The tensile stress on the lower surface of the steel plate strengthening void lining significantly decreased in the reinforcement area. The maximum circumferential tensile stress at the void boundary reduced from 1.63 MPa to 0.86 MPa, which was 47.24% less than the unstrengthened void lining. The compressive yielding and damage of the vault disappeared. The uncoordinated deformation at the vault was also improved, and the deformation difference between the vault and the void boundary was reduced from 14.11 mm to 8.58 mm, making the lining deformation more uniform.
Author Contributions
Funding
Institutional Review Board Statement
Informed Consent Statement
Data Availability Statement
Conflicts of Interest
References
- Ministry of Transport of the People’s Republic of China. Statistical Bulletin on the Development of Transportation Industry in 2020; Ministry of Transport of the People’s Republic of China: Beijing, China, 2020.
- Gong, C.J.; Kang, L.; Liu, L.H.; Lei, M.F.; Ding, W.Q.; Yang, Z.H. A novel prediction model of packing density for single and hybrid steel fiber-aggregate mixtures. Powder Technol. 2023, 418, 118295. [Google Scholar] [CrossRef]
- Gong, C.J.; Ding, W.Q.; Mosalam Khalid, M.; Selim, G.; Soga, K. Comparison of the structural behavior of reinforced concrete and steel fiber reinforced concrete tunnel segmental joints. Tunn. Undergr. Space Technol. 2017, 68, 38–57. [Google Scholar] [CrossRef]
- Xu, G.; He, C.; Chen, Z.; Liu, C.; Zou, Y. Mechanical behavior of secondary tunnel lining with longitudinal crack. Eng. Fail. Anal. 2020, 113, 104543. [Google Scholar] [CrossRef]
- Ding, W.Q.; Gong, C.J.; Mosalam Khalid, M.; Soga, K. Development and application of the integrated sealant test apparatus for sealing gaskets in tunnel segmental joints. Tunn. Undergr. Space Technol. 2017, 63, 54–68. [Google Scholar] [CrossRef]
- Zhou, Z.; Zhang, J.J.; Gong, C.J. Hybrid semantic segmentation for tunnel lining cracks based on Swin Transformer and convolutional neural network. Comput.-Aided Civ. Inf. 2023, 1–20. [Google Scholar] [CrossRef]
- Wu, X.; Bao, X.; Shen, J.; Chen, X.; Cui, H. Evaluation of Void Defects behind Tunnel Lining through GPR forward Simulation. Sensors 2022, 22, 9702. [Google Scholar] [CrossRef]
- Shao, S.; Wu, Y.; Zhang, J.; Hu, K.; Wu, H. Experimental Investigation on the Mechanical Properties of Vault Void Lining in Highway Tunnels and Steel Plate Strengthening. Appl. Sci. 2022, 12, 6973. [Google Scholar] [CrossRef]
- Mashimo, H. State of the road tunnel safety technology in Japan. Tunn. Undergr. Space Technol. 2002, 17, 145–152. [Google Scholar] [CrossRef]
- Gao, Y.; Jiang, Y.J.; Li, B. Voids delineation behind tunnel lining based on the vibration intensity of microtremors. Tunn. Undergr. Space Technol. 2016, 51, 338–345. [Google Scholar] [CrossRef]
- Jiang, Y.; Zhang, X.; Taniguchi, T. Quantitative condition inspection and assessment of tunnel lining. Autom. Constr. 2019, 102, 258–269. [Google Scholar] [CrossRef]
- Sandrone, F.; Labiouse, V. Identification and analysis of Swiss National Road tunnels pathologies. Tunn. Undergr. Space Technol. 2011, 26, 374–390. [Google Scholar] [CrossRef]
- Nassiraei, H.; Rezadoost, P. Stress concentration factors in tubular T/Y-joints strengthened with FRP subjected to compressive load in offshore structures. Int. J. Fatigue 2020, 140, 105719. [Google Scholar] [CrossRef]
- Nassiraei, H. Geometrical effects on the LJF of tubular T/Y-joints with doubler plate in offshore wind turbines. Ships Offshore Struct. 2022, 17, 481–491. [Google Scholar] [CrossRef]
- Meguid, M.A.; Dang, H.K. The effect of erosion voids on existing tunnel linings. Tunn. Undergr. Space Technol. 2009, 24, 278–286. [Google Scholar] [CrossRef]
- Min, B.; Zhang, C.; Zhang, X.; Wang, H.; Zhang, D. Cracking performance of asymmetric double-arch tunnels due to the voids behind linings. Thin-Walled Struct. 2020, 154, 106856. [Google Scholar] [CrossRef]
- Tang, H.; Long, S.; Li, T. Quantitative evaluation of tunnel lining voids by acoustic spectrum analysis. Constr. Build. Mater. 2019, 228, 116762. [Google Scholar] [CrossRef]
- Huang, G.; Gong, L.; Sun, X.; Gong, L.; Sun, X.; Liang, Z.N.; Wang, X.Y. Numerical investigation on flexural performance of retrofitted tunnel lining with short bolts and steel-plate. Tunn. Undergr. Space Technol. 2020, 51, 103152.1–103152.16. [Google Scholar] [CrossRef]
- Ding, Z.; Wen, J.; Ji, X.; Ren, Z.; Zhang, S. Experimental Investigation of the Mechanical Behavior of NC Linings in consideration of Voids and Lining Thinning. Adv. Civ. Eng. 2020, 2020, 1–14. [Google Scholar] [CrossRef]
- Zhang, S.; Ren, Z.; Ding, Z.; Wen, J.; Yan, Z. Influence of Existing Defects on Mechanical Properties of NC Lining. Adv. Mater. Sci. Eng. 2019, 2019, 1–15. [Google Scholar] [CrossRef]
- Wang, J.F.; Huang, H.W.; Xie, X.Y.; Bobet, A. Void-induced liner deformation and stress redistribution. Tunn. Undergr. Space Technol. 2014, 40, 263–276. [Google Scholar] [CrossRef]
- He, B.G.; Liu, E.R.; Zhang, Z.Q.; Zhang, Y. Failure modes of highway tunnel with voids behind the lining roof. Tunn. Undergr. Space Technol. 2021, 117, 104147. [Google Scholar] [CrossRef]
- Yasuda, N.; Tsukada, K.; Asakura, T. Elastic solutions for circular tunnel with void behind lining. Tunn. Undergr. Space Technol. 2017, 70, 274–285. [Google Scholar] [CrossRef]
- Liu, X.; Jiang, Z.; Yuan, Y.; Mang, H.A. Numerical investigation of the mechanical behavior of deformed segmental tunnel linings, strengthened by epoxy-bonded filament wound profiles. Tunn. Undergr. Space Technol. 2018, 78, 231–244. [Google Scholar] [CrossRef]
- Khaloo, A.; Moradi, H.; Kazemian, A.; Shekarchi, M. Experimental investigation on the behavior of RC arches strengthened by GFRP composites. Constr. Build. Mater. 2019, 235, 117519. [Google Scholar] [CrossRef]
- Liu, X.; Jiang, Z.; Yuan, Y.; Mang, H.A. Experimental investigation of the ultimate bearing capacity of deformed segmental tunnel linings strengthened by epoxy-bonded steel plates. Struct. Infrastruct. Eng. 2018, 14, 685–700. [Google Scholar] [CrossRef]
- Zhang, J.L.; Liu, X.; Ren, T.Y.; Yuan, Y.; Mang, H.A. Structural behavior of reinforced concrete segments of tunnel linings strengthened by a steel-concrete composite. Compos. Part B Eng. 2019, 178, 107444. [Google Scholar] [CrossRef]
- Wang, Q.; Xin, Z.X.; Jiang, B.; Sun, H.B.; Li, L.N. Comparative experimental study on mechanical mechanism of combined arches in large section tunnels. Tunn. Undergr. Space Technol. 2020, 99, 103386. [Google Scholar] [CrossRef]
- Zhai, W.; Chapman, D.; Zhang, D.; Huang, H. Experimental study on the effectiveness of strengthening over-deformed segmental tunnel lining by steel plates. Tunn. Undergr. Space Technol. 2020, 104, 103530. [Google Scholar] [CrossRef]
- Liu, D.; Wang, F.; Zhang, D.; Duan, K. Interfacial stresses of shield tunnel strengthened by a thin plate at inner surface. Tunn. Undergr. Space Technol. 2019, 91, 103021. [Google Scholar] [CrossRef]
- Liu, X.; Sang, Y.; Bao, H. Analysis of bearing mechanism of cracked tunnel lining strengthened with stacked umbrella arch. China Civ. Eng. J. 2013, 46, 127134. (In Chinese) [Google Scholar]
- Liu, X.; Wang, X.; He, B. Comparative experiment of reinforcement of lining under different damage states with arch surround for tunnel. J. Cent. South Univ. Sci. Technol. 2015, 46, 4610–4617. (In Chinese) [Google Scholar]
- Narjar, J. Continuous damage of brittle solids. In Continuum Damage Mechanics-Theory and Applications; Krajcinovic, D., Lemaitre, J., Eds.; Springer: New York, NY, USA, 1987; pp. 233–294. [Google Scholar]






















| Type | Code Name | Void Depth h |
|---|---|---|
| Standard lining | V0 | N/A |
| Void lining | V(1/4) | H/4 |
| V(1/2) | H/2 | |
| V(5/8) | 5H/8 | |
| V(3/4) | 3H/4 |
| Density (kg·m−3) | Elastic Modulus (GPa) | Poisson’s Ratio | Internal Friction Angle (°) | Cohesion (kPa) | |
|---|---|---|---|---|---|
| Surrounding rock | 2400 | 1.5 | 0.3 | 30 | 700 |
| Initial support | 2400 | 28 | 0.2 | ||
| Secondary lining | 2850 | 30 | 0.2 |
Disclaimer/Publisher’s Note: The statements, opinions and data contained in all publications are solely those of the individual author(s) and contributor(s) and not of MDPI and/or the editor(s). MDPI and/or the editor(s) disclaim responsibility for any injury to people or property resulting from any ideas, methods, instructions or products referred to in the content. |
© 2023 by the authors. Licensee MDPI, Basel, Switzerland. This article is an open access article distributed under the terms and conditions of the Creative Commons Attribution (CC BY) license (https://creativecommons.org/licenses/by/4.0/).
Share and Cite
Shao, S.; Wu, Y.; Fu, H.; Feng, S.; Zhang, J. Numerical Investigation of Longitudinal through Voids in Tunnel Secondary Lining Vaults and Steel Plate Strengthening. Materials 2023, 16, 4248. https://doi.org/10.3390/ma16124248
Shao S, Wu Y, Fu H, Feng S, Zhang J. Numerical Investigation of Longitudinal through Voids in Tunnel Secondary Lining Vaults and Steel Plate Strengthening. Materials. 2023; 16(12):4248. https://doi.org/10.3390/ma16124248
Chicago/Turabian StyleShao, Shuai, Yimin Wu, Helin Fu, Sheng Feng, and Jiawei Zhang. 2023. "Numerical Investigation of Longitudinal through Voids in Tunnel Secondary Lining Vaults and Steel Plate Strengthening" Materials 16, no. 12: 4248. https://doi.org/10.3390/ma16124248
APA StyleShao, S., Wu, Y., Fu, H., Feng, S., & Zhang, J. (2023). Numerical Investigation of Longitudinal through Voids in Tunnel Secondary Lining Vaults and Steel Plate Strengthening. Materials, 16(12), 4248. https://doi.org/10.3390/ma16124248

