Three-Layered Thin Films for Simultaneous Infrared Camouflage and Radiative Cooling
Abstract
1. Introduction
2. Methodology
2.1. Design Process
2.2. Emissivity Calculation for Multilayered Thin Films
2.3. Genetic Algorithm
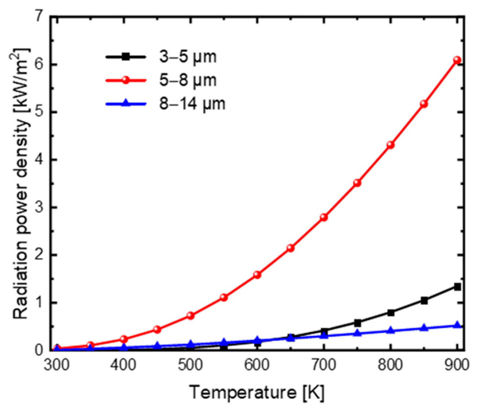
3. Results and Discussion
4. Conclusions
Author Contributions
Funding
Institutional Review Board Statement
Informed Consent Statement
Data Availability Statement
Conflicts of Interest
References
- Zhu, H.; Li, Q.; Zheng, C.; Hong, Y.; Xu, Z.; Wang, H.; Shen, W.; Kaur, S.; Ghosh, P.; Qiu, M. High-temperature infrared camouflage with efficient thermal management. Light-Sci. Appl. 2020, 9, 60. [Google Scholar] [CrossRef] [PubMed]
- Ding, P.; Wang, P.; Su, J.; Mao, B.; Ren, M.; Xu, K.; Tian, S.; Li, Y.; Tian, X.; Wang, J. Multilayer graphene-based radiation modulator for adaptive infrared camouflage with thermal management. J. Phys. D Appl. Phys. 2022, 55, 345103. [Google Scholar] [CrossRef]
- Kang, Q.; Li, D.; Guo, K.; Gao, J.; Guo, Z. Tunable thermal camouflage based on GST plasmonic metamaterial. Nanomaterials 2021, 11, 260. [Google Scholar] [CrossRef] [PubMed]
- Huang, Y.J.; Pu, M.B.; Zhao, Z.Y.; Li, X.; Ma, X.L.; Luo, X.G. Broadband metamaterial as an “Invisible” radiative cooling coat. Opt. Commun. 2018, 407, 204–207. [Google Scholar] [CrossRef]
- Yang, C.; Ji, C.; Shen, W.; Lee, K.-T.; Zhang, Y.; Liu, X.; Guo, L.J. Compact multilayer film structures for ultrabroadband, omnidirectional, and efficient absorption. ACS Photonics 2016, 3, 590–596. [Google Scholar] [CrossRef]
- Kumar, C.A.; Anurag, R.V.; Debabrata, S. Selective thermal emitters for high-performance all-day radiative cooling. J. Phys. D Appl. Phys. 2021, 55, 085504. [Google Scholar]
- Yao, Y.; Liao, Z.; Liu, Z.; Liu, X.; Zhou, J.; Liu, G.; Yi, Z. Recent progresses on metamaterials for optical absorption and sensing: A review. J. Phys. D Appl. Phys. 2021, 54, 113002. [Google Scholar] [CrossRef]
- Ali, A.; Mitra, A. Metamaterials and metasurfaces: A review from the perspectives of materials, mechanisms and advanced metadevices. Nanomaterials 2022, 12, 1027. [Google Scholar] [CrossRef]
- Boriskina, S.V.; Tong, J.K.; Huang, Y.; Zhou, J.; Chiloyan, V.; Chen, G. Enhancement and tunability of near-field radiative heat transfer mediated by surface plasmon polaritons in thin plasmonic films. Photonics 2015, 2, 659–683. [Google Scholar] [CrossRef]
- Liu, Y.; Bai, A.; Fang, Z.; Ni, Y.; Lu, C.; Xu, Z. A pragmatic bilayer selective emitter for efficient radiative cooling under direct sunlight. Materials 2019, 12, 1208. [Google Scholar] [CrossRef]
- Streyer, W.; Law, S.; Rooney, G.; Jacobs, T.; Wasserman, D. Strong absorption and selective emission from engineered metals with dielectric coatings. Opt. Express 2013, 21, 9113–9122. [Google Scholar] [CrossRef] [PubMed]
- Cai, H.; Wang, M.; Wu, Z.; Wang, X.; Liu, J. Design of multilayer planar film structures for near-perfect absorption in the visible to near-infrared. Opt. Express 2022, 30, 35219–35231. [Google Scholar] [CrossRef] [PubMed]
- Kim, T.Y.; Badsha, M.A.; Yoon, J.; Lee, S.Y.; Jun, Y.; Hwangbo, C. General strategy for broadband coherent perfect absorption and multi-wavelength all-optical switching based on epsilon-near-zero multilayer films. Sci. Rep. 2016, 6, 22941. [Google Scholar] [CrossRef] [PubMed]
- Liang, C.; Yi, Z.; Chen, X.; Tang, Y.; Yi, Y.; Zhou, Z.; Wu, X.; Huang, Z.; Yi, Y.; Zhang, G. Dual-Band infrared perfect absorber based on a Ag-Dielectric-Ag multilayer films with nanoring grooves arrays. Plasmonics 2019, 15, 93–100. [Google Scholar] [CrossRef]
- Raman, A.P.; Anoma, M.A.; Zhu, L.; Rephaeli, E.; Fan, S. Passive radiative cooling below ambient air temperature under direct sunlight. Nature 2014, 515, 540–544. [Google Scholar] [CrossRef]
- Eden, R.; Aaswath, R.; Shanhui, F. Ultrabroadband photonic structures to achieve high-performance daytime radiative cooling. Nano Lett. 2013, 13, 1457–1461. [Google Scholar]
- Huang, Z.; Ruan, X. Nanoparticle embedded double-layer coating for daytime radiative cooling. Int. J. Heat Mass Transf. 2017, 104, 890–896. [Google Scholar] [CrossRef]
- Naghshine, B.B.; Saboonchi, A. Optimized thin film coatings for passive radiative cooling applications. Opt. Commun. 2018, 410, 416–423. [Google Scholar] [CrossRef]
- Wu, D.; Liu, C.; Xu, Z.; Liu, Y.; Yu, Z.; Yu, L.; Chen, L.; Li, R.; Ma, R.; Ye, H. The design of ultra-broadband selective near-perfect absorber based on photonic structures to achieve near-ideal daytime radiative cooling. Mater. Des. 2018, 139, 104–111. [Google Scholar] [CrossRef]
- Lee, N.; Kim, T.; Lim, J.S.; Chang, I.; Cho, H.H. Metamaterial-selective emitter for maximizing infrared camouflage performance with energy dissipation. ACS Appl. Mater. Interfaces 2019, 11, 21250–21257. [Google Scholar] [CrossRef]
- Zhao, Z.; Li, G.; Su, T.; Yu, F.; Zhang, Y.; Wang, W.; Men, W.; Wang, Z.; Xuan, L.; Chen, X.; et al. Selectively thermal radiation control in long-wavelength infrared with broadband all-dielectric absorber. Opt. Express 2019, 27, 35088–35095. [Google Scholar] [CrossRef] [PubMed]
- Zhao, L.; Liu, H.; He, Z. All-metal frequency-selective absorber/emitter for laser stealth and infrared stealth. Appl. Opt. 2018, 57, 1757–1764. [Google Scholar] [CrossRef]
- Changhoon, P.; Jagyeong, K.; Hahn, J.W. Selective emitter with engineered anisotropic radiation to minimize dual-band thermal signature for infrared stealth technology. ACS Appl. Mater. Interfaces 2020, 12, 43090–43097. [Google Scholar]
- Zhong, S.; Wu, L.; Liu, T.; Huang, J.; Jiang, W.; Ma, Y. Transparent transmission-selective radar-infrared bi-stealth structure. Opt. Express 2018, 26, 16466–16476. [Google Scholar] [CrossRef] [PubMed]
- Kim, J.; Han, K. Selective dual-band metamaterial perfect absorber for infrared stealth technology. Sci. Rep. 2017, 7, 6740. [Google Scholar] [CrossRef] [PubMed]
- Xiao, C.; Chang, T.; Zhi, C.; Tian, C. Selective metamaterial perfect absorber for infrared and 1.54 μm laser compatible stealth technology. Optik 2018, 172, 840–846. [Google Scholar]
- Zhao, J.; Zhou, B.; Wang, G.; Ying, J.; Liu, J.; Chen, Q. Spectral camouflage characteristics and recognition ability of targets based on visible/near-infrared hyperspectral images. Photonics 2022, 9, 957. [Google Scholar] [CrossRef]
- Wang, L.; Fu, Q.; Wen, F.; Zhou, X.; Ding, X.; Wang, Y. A thermally controlled multifunctional metamaterial absorber with switchable wideband absorption and transmission at THz band. Materials 2023, 16, 846. [Google Scholar] [CrossRef]
- Qi, D.; Wang, X.; Cheng, Y.; Gong, R.; Li, B. Design and characterization of one-dimensional photonic crystals based on ZnS/Ge for infrared-visible compatible stealth applications. Opt. Mater. 2016, 62, 52–56. [Google Scholar] [CrossRef]
- Deng, Z.; Su, Y.; Qin, W.; Wang, T.; Wang, X.; Gong, R. Nanostructured Ge/ZnS films for multispectral camouflage with low visibility and low thermal emission. ACS Appl. Nano Mater. 2022, 5, 5119–5127. [Google Scholar] [CrossRef]
- Kang, Q.; Li, D.; Wang, W.; Guo, K.; Guo, Z. Multiband tunable thermal camouflage compatible with laser camouflage based on GST plasmonic metamaterial. J. Phys. D Appl. Phys. 2021, 55, 065103. [Google Scholar] [CrossRef]
- Wang, L.; Yang, Y.; Tang, X.; Li, B.; Hu, Y.; Zhu, Y.; Yang, H. Combined multi-band infrared camouflage and thermal management via a simple multilayer structure design. Opt. Lett. 2021, 46, 5224–5227. [Google Scholar] [CrossRef] [PubMed]
- Peng, L.; Liu, D.; Cheng, H.; Zhou, S.; Zu, M. A multilayer film based selective thermal emitter for infrared stealth technology. Adv. Opt. Mater. 2018, 6, 1801006. [Google Scholar] [CrossRef]
- Yang, M.; Zhou, M.; Yu, J.; Zhang, Y.; Xu, B.; Cheng, W.; Li, X. Infrared and Terahertz compatible absorber based on multilayer film. Front. Phys. 2021, 9, 633971. [Google Scholar] [CrossRef]
- Zhu, H.; Li, Q.; Tao, C.; Hong, Y.; Xu, Z.; Shen, W.; Kaur, S.; Ghosh, P.; Qiu, M. Multispectral camouflage for infrared, visible, lasers and microwave with radiative cooling. Nat. Commun. 2021, 12, 1805. [Google Scholar] [CrossRef] [PubMed]
- Pan, M.; Huang, Y.; Li, Q.; Luo, H.; Zhu, H.; Kaur, S.; Qiu, M. Multi-band middle-infrared-compatible camouflage with thermal management via simple photonic structures. Nano Energy 2020, 69, 104449. [Google Scholar] [CrossRef]
- Luo, P.; Lan, G.; Nong, J.; Zhang, X.; Xu, T.; Wei, W. Broadband coherent perfect absorption employing an inverse-designed metasurface via genetic algorithm. Opt. Express 2022, 30, 34429–34440. [Google Scholar] [CrossRef]
- Cai, H.; Sun, Y.; Wang, X.; Zhan, S. Design of an ultra-broadband near-perfect bilayer grating metamaterial absorber based on genetic algorithm. Opt. Express 2020, 28, 15347–15359. [Google Scholar] [CrossRef]
- Liu, Q.; Sandgren, E.; Barnhart, M.; Zhu, R.; Huang, G. Photonic nanostructures design and optimization for solar cell application. Photonics 2015, 2, 893–905. [Google Scholar] [CrossRef]
- You, P.; Li, X.; Huang, Y.; Ma, X.; Pu, M.; Guo, Y.; Luo, X. High-performance multilayer radiative cooling films designed with flexible hybrid optimization strategy. Materials 2020, 13, 2885. [Google Scholar] [CrossRef]
- Andrea, S.; Paolo, B. Computation of the alpha cabin sound absorption coefficient by using the finite transfer matrix method(FTMM): Inter-laboratory test on porous media. ASME J. Vib. Acoust 2021, 143, 12–21. [Google Scholar]
- Byrnes, S.J. Multilayer optical calculations. arXiv 2016, arXiv:1603.02720. [Google Scholar] [CrossRef]
- Generalized 4 × 4 Matrix Algorithm for Light Propagation in Anisotropic Stratified Media (MATLAB Files). Available online: https://zenodo.org/record/847015 (accessed on 8 January 2023).
- Burnett, J.H.; Kaplan, S.G.; Stover, E.; Phenis, A. Refractive index measurements of Ge. In Proceedings of the Infrared Sensors, Devices, and Applications VI, San Diego, CA, USA, 20 September 2016. [Google Scholar]
- Shkondin, E.; Takayama, O.; Panah, M.A.; Liu, P.; Larsen, P.V.; Mar, M.D.; Jensen, F.; Lavrinenko, A. Large-scale high aspect ratio Al-doped ZnO nanopillars arrays as anisotropic metamaterials. Opt. Mater. Express 2017, 7, 1606–1627. [Google Scholar] [CrossRef]
- Yang, H.U.; D’Archangel, J.; Sundheimer, M.L.; Tucker, E.; Boreman, G.D.; Raschke, M.B. Optical dielectric function of silver. Phys. Rev. B 2015, 91, 235137. [Google Scholar] [CrossRef]
- Rakić, A.D.; Djurišić, A.B.; Elazar, J.M.; Majewski, M.L. Optical properties of metallic films for vertical-cavity optoelectronic devices. Appl. Opt. 1998, 37, 5271–5283. [Google Scholar] [CrossRef] [PubMed]
- Chen, Y.B.; Zhang, Z. Design of tungsten complex gratings for thermophotovoltaic radiators. Opt. Commun. 2007, 269, 411–417. [Google Scholar] [CrossRef]
- Zhao, J.; Zhang, Z. Electromagnetic energy storage and power dissipation in nanostructures. J. Quant. Spectrosc. Radiat. Transf. 2015, 151, 49–57. [Google Scholar] [CrossRef]
- Liu, Y.; Jin, R.; Qiu, J.; Liu, L. Spectral radiative properties of a nickel porous microstructure and magnetic polariton resonance for light trapping. Int. J. Heat Mass Transf. 2016, 98, 833–844. [Google Scholar] [CrossRef]
- S4: Stanford Stratified Structure Solver. Available online: https://github.com/victorliu/S4 (accessed on 10 February 2023).











| Work by | Multilayered Films Only | Number of Layers | 3–5 μm Infrared Camouflage | 5–8 μm Radiative Cooling | 8–14 μm Infrared Camouflage |
|---|---|---|---|---|---|
| Qi et al. [29] | √ | 8 | √ | × | × |
| Deng et al. [30] | √ | 6 | √ | × | √ |
| Kang et al. [31] | × | × | √ | √ | √ |
| Zhao et al. [21] | √ | 20/23 | × | √ | √ |
| Wang et al. [32] | √ | 12 | √ | √ | √ |
| Liang [33] and Yang [34] et al. | √ | 4 | √ | √ | √ |
| Zhu [35] and Pan [36] et al. | × | × | √ | √ | √ |
| Layer 1 | Layer 2 | Layer 3 | Substrate | |
|---|---|---|---|---|
| Material | Ge | Ag | Si | TC4 |
| Thickness/[nm] | 333 | 10 | 760 | / |
Disclaimer/Publisher’s Note: The statements, opinions and data contained in all publications are solely those of the individual author(s) and contributor(s) and not of MDPI and/or the editor(s). MDPI and/or the editor(s) disclaim responsibility for any injury to people or property resulting from any ideas, methods, instructions or products referred to in the content. |
© 2023 by the authors. Licensee MDPI, Basel, Switzerland. This article is an open access article distributed under the terms and conditions of the Creative Commons Attribution (CC BY) license (https://creativecommons.org/licenses/by/4.0/).
Share and Cite
Zhang, L.; Zhang, W.; Liu, Y.; Liu, L. Three-Layered Thin Films for Simultaneous Infrared Camouflage and Radiative Cooling. Materials 2023, 16, 4188. https://doi.org/10.3390/ma16114188
Zhang L, Zhang W, Liu Y, Liu L. Three-Layered Thin Films for Simultaneous Infrared Camouflage and Radiative Cooling. Materials. 2023; 16(11):4188. https://doi.org/10.3390/ma16114188
Chicago/Turabian StyleZhang, Luyu, Wenjie Zhang, Yuanbin Liu, and Linhua Liu. 2023. "Three-Layered Thin Films for Simultaneous Infrared Camouflage and Radiative Cooling" Materials 16, no. 11: 4188. https://doi.org/10.3390/ma16114188
APA StyleZhang, L., Zhang, W., Liu, Y., & Liu, L. (2023). Three-Layered Thin Films for Simultaneous Infrared Camouflage and Radiative Cooling. Materials, 16(11), 4188. https://doi.org/10.3390/ma16114188

