Machine Learning-Based Predictive Model for Tensile and Flexural Strength of 3D-Printed Concrete
Abstract
1. Introduction

1.1. Objectives
1.2. Research Motivation and Significance
2. Methodology
2.1. Regression through Machine Learning Approaches
2.1.1. Decision Tree Regressor
2.1.2. Support Vector Machine Regressor
| Authors | Techniques | Data Sources | Performance Metrics | Predictions | References |
|---|---|---|---|---|---|
| Chang et al., 2022 | U-net convolutional neural network is used to predict the cracking pattern in printed concrete, then by taking the crack pattern as input, Principal Component Analysis (PCA) and CNN are used for the prediction of stress crack width curves. | Binary Image of Air Void Structure through X CT and Fracture Analysis of printed concrete. | R squared value of 0.8. | Predicted the stress-crack curves of printed concrete. | [136] |
| Charrier et al., 2022 | Artificial Neural Networking is employed to predict dynamic yield stress and mini-slump of concrete based on mix proportions affecting the rheology of concrete. | Experimental data from mini-slump cone test and dynamic yield stress through rheometer. | R squared value of 0.93. | Predicted dynamic yield stress and mini-slump of concrete. | [137] |
| Izadgoshasb et al., 2021 | Multi-objective grasshopper optimization algorithm (MOGOA) and artificial neural network (ANN) are employed for the prediction of the compressive strength of printed concrete. | Experimental dataset through literature. | The correlation coefficient of 0.96. | Predicted compressive strength of printed concrete. | [138] |
| Czarnecki et al., 2021 | Artificial Neural Network (ANN), Support Vector Machine, and random forest algorithm are used to predict interlayer bonding. | Conducted research and measurements in the literature. | The correlation coefficient of 0.883. | Predicted interlayer bonding/pull-off adhesion of concrete layers. | [139] |
| Zhang et al., 2019 | Long Short-term Memory (LSTM) network is used with Fused Deposition Modelling (FDM) to predict the tensile strength of printed concrete. | Data from experimental runs. | The correlation coefficient of 0.773. | Predicted tensile strength of printed concrete. | [140] |
| Bagheri et al., 2020 | Conditional inference tree (ctree) and recursive partitioning (rpart) functions are used to predict the compressive strength of geopolymers. | Experimental data of boron-based geopolymer concrete from literature studies. | 70% cumulative accuracy. | Predicted compressive strength of printed geopolymer concrete. | [141] |
| Lao et al., 2021 | Artificial Neural Networking is used to predict the final geometry of concrete filament. | Pretesting setup with different nozzle shapes and extruded filaments. | Reduction of 38% in the mean arithmetic roughness (Rt). | The predicted final geometry of extruded layer of printed concrete. | [142] |
2.1.3. Gaussian Process Regressor
2.1.4. Extreme Gradient Booster Regressor (XG-Booster)
2.2. Overview of Dataset
2.3. Details of Dataset
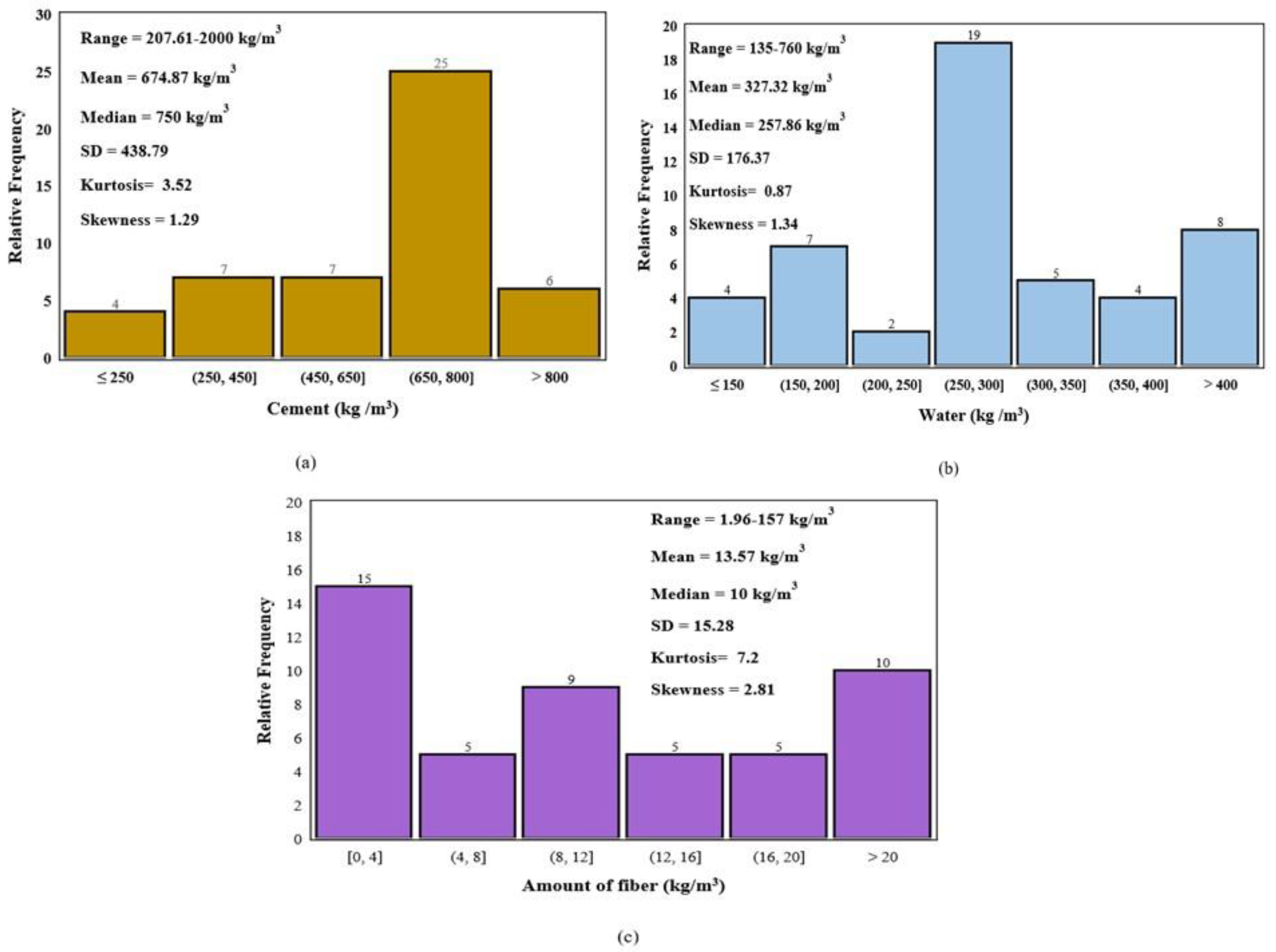
2.3.1. Cement
2.3.2. Fibers
2.3.3. Fine Aggregate
2.3.4. Coarse Aggregate
2.3.5. Fly Ash
2.3.6. Silica Fume
2.3.7. Superplasticizer
2.3.8. Accelerator
2.4. Statistical Analysis of Data
2.4.1. Data Cleaning
2.4.2. Data Normalization
2.5. Evaluation Criteria
2.5.1. Mean Square Error
2.5.2. Coefficient of Determination: (R-Squared/R2)
2.5.3. Mean Absolute Error: (MAE)
2.5.4. Root Mean Square Error: (RMSE)
2.6. Hyperparameter Tuning
3. Results and Discussion
3.1. Predicted Results and Discussions
3.1.1. Decision Tree Regressor
3.1.2. Support Vector Machine
3.1.3. Gaussian Process Regressor
3.1.4. XGBOOST Regressor
3.2. Sensitivity Evaluation
3.3. Validation of Predictive Models
4. Conclusions
4.1. Limitation and Scope of the Study
4.2. Feasibility of Work and Potential Impact
4.3. Future Work
Supplementary Materials
Author Contributions
Funding
Institutional Review Board Statement
Informed Consent Statement
Data Availability Statement
Conflicts of Interest
References
- Neville, A.M.; Brooks, J.J. Concrete Technology; Longman Scientific & Technical: London, UK, 1987. [Google Scholar]
- Mehta, P.K.; Monteiro, P.J.M. Concrete: Microstructure, Properties, and Materials; McGraw-Hill Education: New York, NY, USA, 2014. [Google Scholar]
- Memon, S.A.; Zain, M.; Zhang, D.; Rehman, S.K.U.; Usman, M.; Lee, D. Emerging trends in the growth of structural systems for tall buildings. J. Struct. Integr. Maint. 2020, 5, 155–170. [Google Scholar] [CrossRef]
- Banthia, N.; Bindiganavile, V.; Jones, J.; Novak, J. Fiber-reinforced concrete in precast concrete applications: Research leads to innovative products. PCI J. 2012, 57, 33–46. [Google Scholar] [CrossRef]
- Zhang, J.; Cusson, D.; Monteiro, P.; Harvey, J. New perspectives on maturity method and approach for high performance concrete applications. Cem. Concr. Res. 2008, 38, 1438–1446. [Google Scholar] [CrossRef]
- Khan, M.; Ali, M. Effectiveness of hair and wave polypropylene fibers for concrete roads. Constr. Build. Mater. 2018, 166, 581–591. [Google Scholar] [CrossRef]
- Höeg, K. Asphaltic Concrete Cores for Embankment Dams; Norwegian Geotechnical Institute Publicatie: Trondheim, Norway, 1993. [Google Scholar]
- Thomas, A. Sprayed Concrete Lined Tunnels; CRC Press: Boca Raton, FL, USA, 2008. [Google Scholar]
- Gjørv, O.E. High-strength concrete. In Developments in the Formulation and Reinforcement of Concrete; Elsevier: Amsterdam, The Netherlands, 2008; pp. 153–170. [Google Scholar]
- Allena, S.; Newtson, C.M. Ultra-High Strength Concrete Mixtures Using Local Materials. J. Civ. Eng. Arch. 2011, 5, 322–330. [Google Scholar] [CrossRef]
- Mehta, P.K. Durability of Concrete—Fifty Years of Progress? Spec. Publ. 1991, 126, 1–32. [Google Scholar] [CrossRef]
- Woods, H. Durability of Concrete Construction; American Concrete Institute: Salt Lake City, UT, USA, 1968. [Google Scholar]
- Khan, R.; Farooq, S.H.; Usman, M. Blast Loading Response of Reinforced Concrete Panels Externally Reinforced with Steel Strips. Infrastructures 2019, 4, 54. [Google Scholar] [CrossRef]
- Thornton, C.T. High-Strength Concrete for High-Rise towers. Spec. Publ. 1994, 149, 769–784. [Google Scholar] [CrossRef]
- Scollard, C.; Bergman, D.; Schemman, A.; Kleymann, M.; Tjhin, T. Design of the New NY (Tappan Zee) Bridge Cable-Stayed Main Span. In Transportation 2014: Past, Present, Future-2014 Conference and Exhibition of the Transportation Association of Canada//Transport 2014: Du Passé Vers l’avenir-2014 Congrès et Exposition de’Association Des Transports Du Canada; The National Academies of Sciences, Engineering, and Medicine: Washington, DC, USA, 2014. [Google Scholar]
- Tveit, P. Ideas on downward arched and other underwater concrete tunnels. Tunn. Undergr. Space Technol. 2000, 15, 69–78. [Google Scholar] [CrossRef]
- Aïtcin, P.-C. Cements of yesterday and today: Concrete of tomorrow. Cem. Concr. Res. 2000, 30, 1349–1359. [Google Scholar] [CrossRef]
- Meyer, C. Concrete and Sustainable Development. ACI Spec. Publ. 2002, 206, 501–512. [Google Scholar] [CrossRef]
- Strassmann, W.P. The construction sector in economic development. Scott. J. Political Econ. 1970, 17, 391–409. [Google Scholar] [CrossRef]
- Clarke, J.L. Structural Lightweight Aggregate Concrete; CRC Press: Boca Raton, FL, USA, 1993. [Google Scholar]
- Fehling, E.; Schmidt, M.; Walraven, J.; Leutbecher, T.; Fröhlich, S. Ultra-High Performance Concrete UHPC; Ernst & Sohn: Berlin, Germany, 2014. [Google Scholar]
- Zollo, R.F. Fiber-reinforced concrete: An overview after 30 years of development. Cem. Concr. Compos. 1997, 19, 107–122. [Google Scholar] [CrossRef]
- Talaiekhozani, A.; Majid, M.Z.A. A review of self-healing concrete research development. J. Environ. Treat. Tech. 2014, 2, 1–11. [Google Scholar]
- Liew, K.; Sojobi, A.; Zhang, L. Green concrete: Prospects and challenges. Constr. Build. Mater. 2017, 156, 1063–1095. [Google Scholar] [CrossRef]
- Raijiwala, D.B.; Patil, H.S. Geopolymer concrete A green concrete. In Proceedings of the 2010 2nd International Conference on Chemical, Biological and Environmental Engineering, Cairo, Egypt, 2–4 November 2010; IEEE: Piscataway, NJ, USA, 2010; pp. 202–206. [Google Scholar]
- Magnel, G.; Zollman, C.C. Prestressed Concrete; McGraw-Hill: New York, NY, USA, 1954. [Google Scholar]
- Mindess, S. Fibrous Concrete Reinforcement, Developments in the Formulation and Reinforcement of Concrete; Woodhead Publishing: Sawston, UK, 2008; pp. 154–166. [Google Scholar] [CrossRef]
- Mehta, P.K. Advancements in Concrete Technology. Concr. Int. 1999, 21, 69–76. [Google Scholar]
- Maiti, S.C.; Agarwal, R.K. Concrete and Its Quality; The Indian Concrete Journal Sep: Mumbai, India, 2009; pp. 20–27. [Google Scholar]
- Balaguru, P.N.; Bhatt, D. Rapid Hardening Concrete; The National Academies of Sciences, Engineering, and Medicine: Washington, DC, USA, 2000. [Google Scholar]
- Lehne, J.; Preston, F. Making Concrete Change: Innovation in Low-Carbon Cement and Concrete; Chatham House: London, UK, 2018. [Google Scholar]
- Khan, M.I.; Usman, M.; Rizwan, S.A.; Hanif, A. Khan Self-Consolidating Lightweight Concrete Incorporating Limestone Powder and Fly Ash as Supplementary Cementing Material. Materials 2019, 12, 3050. [Google Scholar] [CrossRef] [PubMed]
- Shah, M.U.; Usman, M.; Hanif, M.U.; Naseem, I.; Farooq, S. Utilization of Solid Waste from Brick Industry and Hydrated Lime in Self-Compacting Cement Pastes. Materials 2021, 14, 1109. [Google Scholar] [CrossRef] [PubMed]
- Khan, M.I.; Shah, M.U.; Usman, M. Experimental Investigation of Concrete Properties using Locally available Coarse Aggregates in Punjab, Pakistan. NUST J. Eng. Sci. 2022, 15, 26–29. [Google Scholar] [CrossRef]
- Usman, M.; Khan, A.Y.; Farooq, S.H.; Hanif, A.; Tang, S.; Khushnood, R.A.; Rizwan, S.A. Eco-friendly self-compacting cement pastes incorporating wood waste as cement replacement: A feasibility study. J. Clean. Prod. 2018, 190, 679–688. [Google Scholar] [CrossRef]
- Beaman, J.; Bourell, D.L.; Seepersad, C.; Kovar, D. Additive Manufacturing Review: Early Past to Current Practice. J. Manuf. Sci. Eng. 2020, 142, 1–50. [Google Scholar] [CrossRef]
- Prinz, F.B.; Atwood, C.L.; Aubin, R.F.; Beaman, J.J.; Brown, R.L.; Fussell, P.S.; Lightman, A.J.; Sachs, E.; Weiss, L.E.; Wozny, M.J. Rapid prototyping in Europe and Japan. Cent. Adv. Technol. 1997, 102, 148. [Google Scholar]
- Sobieszek, R.A. Sculpture as the Sum of its Profiles: François Willème and Photosculpture in France, 1859–1868. Art Bull. 1980, 62, 617–630. [Google Scholar] [CrossRef]
- Nair, A.; Aditya, S.D.; Adarsh, R.N.; Nandan, M.; Dharek, M.S.; Sreedhara, B.M.; Prashant, S.C.; Sreekeshava, K.S. Additive Manufacturing of Concrete: Challenges and opportunities. In IOP Conference Series: Materials Science and Engineering; IOP Publishing: Bristol, UK, 2020; p. 12022. [Google Scholar] [CrossRef]
- De Soto, B.G.; Agustí-Juan, I.; Hunhevicz, J.; Joss, S.; Graser, K.; Habert, G.; Adey, B.T. Productivity of digital fabrication in construction: Cost and time analysis of a robotically built wall. Autom. Constr. 2018, 92, 297–311. [Google Scholar] [CrossRef]
- Naoum, S.G. Factors influencing labor productivity on construction sites: A state-of-the-art literature review and a survey. Int. J. Product. Perform. Manag. 2016, 65. [Google Scholar] [CrossRef]
- Thomas, H.R.; Sanvido, V.E. Role of the Fabricator in Labor Productivity. J. Constr. Eng. Manag. 2000, 126, 358–365. [Google Scholar] [CrossRef]
- Li, W.; Lin, X.; Bao, D.W.; Xie, Y.M. A review of formwork systems for modern concrete construction. In Structures; Elsevier: Amsterdam, The Netherlands, 2022; pp. 52–63. [Google Scholar] [CrossRef]
- Paul, S.C.; Tay, Y.W.D.; Panda, B.; Tan, M.J. Fresh and hardened properties of 3D printable cementitious materials for building and construction. Arch. Civ. Mech. Eng. 2018, 18, 311–319. [Google Scholar] [CrossRef]
- Buswell, R.A.; De Silva, W.R.L.; Jones, S.Z.; Dirrenberger, J. 3D printing using concrete extrusion: A roadmap for research. Cem. Concr. Res. 2018, 112, 37–49. [Google Scholar] [CrossRef]
- Mohan, M.K.; Rahul, A.; De Schutter, G.; Van Tittelboom, K. Extrusion-based concrete 3D printing from a material perspective: A state-of-the-art review. Cem. Concr. Compos. 2020, 115, 103855. [Google Scholar] [CrossRef]
- Anton, A.; Reiter, L.; Wangler, T.; Frangez, V.; Flatt, R.J.; Dillenburger, B. A 3D concrete printing prefabrication platform for bespoke columns. Autom. Constr. 2020, 122, 103467. [Google Scholar] [CrossRef]
- Xu, W.; Gao, Y.; Sun, C.; Wang, Z. Fabrication and application of 3d-printed concrete structural components in the baoshan pedestrian bridge project. In Fabricate 2020; UCL Press: London, UK, 2020; pp. 140–147. [Google Scholar] [CrossRef]
- Zhang, C.; Nerella, V.N.; Krishna, A.; Wang, S.; Zhang, Y.; Mechtcherine, V.; Banthia, N. Mix design concepts for 3D printable concrete: A review. Cem. Concr. Compos. 2021, 122, 104155. [Google Scholar] [CrossRef]
- Hou, S.; Duan, Z.; Xiao, J.; Ye, J. A review of 3D printed concrete: Performance requirements, testing measurements and mix design. Constr. Build. Mater. 2020, 273, 121745. [Google Scholar] [CrossRef]
- Papachristoforou, M.; Mitsopoulos, V.; Stefanidou, M. Use of by-products for partial replacement of 3D printed concrete constituents; rheology, strength and shrinkage performance. Frat. Ed Integrità Strutt. 2019, 13, 526–536. [Google Scholar] [CrossRef]
- Nodehi, M.; Ozbakkaloglu, T.; Gholampour, A. Effect of supplementary cementitious materials on properties of 3D printed conventional and alkali-activated concrete: A review. Autom. Constr. 2022, 138, 104215. [Google Scholar] [CrossRef]
- Papachristoforou, M.; Mitsopoulos, V.; Stefanidou, M. Evaluation of workability parameters in 3D printing concrete. Procedia Struct. Integr. 2018, 10, 155–162. [Google Scholar] [CrossRef]
- Alchaar, A.S.; Al-Tamimi, A.K. Mechanical properties of 3D printed concrete in hot temperatures. Constr. Build. Mater. 2020, 266, 120991. [Google Scholar] [CrossRef]
- Sanjayan, J.G.; Nematollahi, B.; Xia, M.; Marchment, T. Effect of surface moisture on inter-layer strength of 3D printed concrete. Constr. Build. Mater. 2018, 172, 468–475. [Google Scholar] [CrossRef]
- Wang, L.; Tian, Z.; Ma, G.; Zhang, M. Interlayer bonding improvement of 3D printed concrete with polymer modified mortar: Experiments and molecular dynamics studies. Cem. Concr. Compos. 2020, 110, 103571. [Google Scholar] [CrossRef]
- Heidarnezhad, F.; Zhang, Q. Shotcrete based 3D concrete printing: State of art, challenges, and opportunities. Constr. Build. Mater. 2022, 323, 126545. [Google Scholar] [CrossRef]
- Ting, G.H.A.; Quah, T.K.N.; Lim, J.H.; Tay, Y.W.D.; Tan, M.J. Extrudable region parametrical study of 3D printable concrete using recycled glass concrete. J. Build. Eng. 2022, 50, 104091. [Google Scholar] [CrossRef]
- Le, T.T.; Austin, S.A.; Lim, S.; Buswell, R.A.; Gibb, A.G.F.; Thorpe, T. Mix design and fresh properties for high-performance printing concrete. Mater. Struct. 2012, 45, 1221–1232. [Google Scholar] [CrossRef]
- Rahul, A.; Santhanam, M.; Meena, H.; Ghani, Z. 3D printable concrete: Mixture design and test methods. Cem. Concr. Compos. 2018, 97, 13–23. [Google Scholar] [CrossRef]
- Panda, B.; Ruan, S.; Unluer, C.; Tan, M.J. Improving the 3D printability of high volume fly ash mixtures via the use of nano attapulgite clay. Compos. Part B Eng. 2018, 165, 75–83. [Google Scholar] [CrossRef]
- Khayat, K.H.; Kassimi, F.; Ghoddousi, P. Mixture design and testing of fiber-reinforced self-consolidating concrete. ACI Mater. J. 2014, 111, 143. [Google Scholar]
- Jiang, Q.; Liu, Q.; Wu, S.; Zheng, H.; Sun, W. Modification effect of nanosilica and polypropylene fiber for extrusion-based 3D printing concrete: Printability and mechanical anisotropy. Addit. Manuf. 2022, 56, 102944. [Google Scholar] [CrossRef]
- Van Der Putten, J.; Rahul, A.V.; De Schutter, G.; Van Tittelboom, K. Development of 3D Printable Cementitious Composites with the Incorporation of Polypropylene Fibers. Materials 2021, 14, 4474. [Google Scholar] [CrossRef] [PubMed]
- Tran, M.V.; Cu, Y.T.; Le, C.V. Rheology and shrinkage of concrete using polypropylene fiber for 3D concrete printing. J. Build. Eng. 2021, 44, 103400. [Google Scholar] [CrossRef]
- Panda, B.; Unluer, C.; Tan, M.J. Investigation of the rheology and strength of geopolymer mixtures for extrusion-based 3D printing. Cem. Concr. Compos. 2018, 94, 307–314. [Google Scholar] [CrossRef]
- Srinivas, D.; Dey, D.; Panda, B.; Sitharam, T.G. Printability, Thermal and Compressive Strength Properties of Cementitious Materials: A Comparative Study with Silica Fume and Limestone. Materials 2022, 15, 8607. [Google Scholar] [CrossRef]
- Panda, B.; Lim, J.H.; Tan, M.J. Mechanical properties and deformation behaviour of early age concrete in the context of digital construction. Compos. Part B Eng. 2019, 165, 563–571. [Google Scholar] [CrossRef]
- Guo, X.; Yang, J.; Xiong, G. Influence of supplementary cementitious materials on rheological properties of 3D printed fly ash based geopolymer. Cem. Concr. Compos. 2020, 114, 103820. [Google Scholar] [CrossRef]
- Panda, B.; Tan, M.J. Rheological behavior of high volume fly ash mixtures containing micro silica for digital construction application. Mater. Lett. 2019, 237, 348–351. [Google Scholar] [CrossRef]
- Dvorkin, L.; Konkol, J.; Marchuk, V.; Huts, A. Effectiveness of Polymer Additives in Concrete for 3D Concrete Printing Using Fly Ash. Polymers 2022, 14, 5467. [Google Scholar] [CrossRef] [PubMed]
- Tay, Y.W.D.; Qian, Y.; Tan, M.J. Printability region for 3D concrete printing using slump and slump flow test. Compos. Part B Eng. 2019, 174, 106968. [Google Scholar] [CrossRef]
- Bhattacherjee, S.; Santhanam, M. Enhancing Buildability of 3D Printable Concrete by Spraying of Accelerating Admixture on Surface. In Second RILEM International Conference on Concrete and Digital Fabrication; Bos, F.P., Lucas, S.S., Wolfs, R.J.M., Salet, T.A.M., Eds.; Springer International Publishing: Cham, Switzerland, 2020; pp. 13–22. [Google Scholar]
- Wongkornchaowalit, N.; Lertchirakarn, V. Setting Time and Flowability of Accelerated Portland Cement Mixed with Polycarboxylate Superplasticizer. J. Endod. 2011, 37, 387–389. [Google Scholar] [CrossRef]
- Panda, B.; Paul, S.C.; Tan, M.J. Anisotropic mechanical performance of 3D printed fiber reinforced sustainable construction material. Mater. Lett. 2017, 209, 146–149. [Google Scholar] [CrossRef]
- Chen, Y.; Figueiredo, S.C.; Li, Z.; Chang, Z.; Jansen, K.; Çopuroğlu, O.; Schlangen, E. Improving printability of limestone-calcined clay-based cementitious materials by using viscosity-modifying admixture. Cem. Concr. Res. 2020, 132, 106040. [Google Scholar] [CrossRef]
- Sukontasukkul, P.; Panklum, K.; Maho, B.; Banthia, N.; Jongvivatsakul, P.; Imjai, T.; Sata, V.; Limkatanyu, S.; Chindaprasirt, P. Effect of synthetic microfiber and viscosity modifier agent on layer deformation, viscosity, and open time of cement mortar for 3D printing application. Constr. Build. Mater. 2022, 319, 126111. [Google Scholar] [CrossRef]
- Zhao, Y.; Yang, G.; Zhu, L.; Ding, Y.; Guan, X.; Wu, X.; Yang, Z. Effects of rheological properties and printing speed on molding accuracy of 3D printing basalt fiber cementitious materials. J. Mater. Res. Technol. 2022, 21, 3462–3475. [Google Scholar] [CrossRef]
- McGee, W.; Ng, T.Y.; Yu, K.; Li, V.C. Extrusion Nozzle Shaping for Improved 3DP of Engineered Cementitious Composites (ECC/SHCC). In Second RILEM International Conference on Concrete and Digital Fabrication; Bos, F.P., Lucas, S.S., Wolfs, R.J.M., Salet, T.A.M., Eds.; Springer International Publishing: Cham, Switzerland, 2020; pp. 916–925. [Google Scholar]
- Xu, J.; Ding, L.; Cai, L.; Zhang, L.; Luo, H.; Qin, W. Volume-forming 3D concrete printing using a variable-size square nozzle. Autom. Constr. 2019, 104, 95–106. [Google Scholar] [CrossRef]
- Yang, L.; Sepasgozar, S.M.; Shirowzhan, S.; Kashani, A.; Edwards, D. Nozzle criteria for enhancing extrudability, buildability and interlayer bonding in 3D printing concrete. Autom. Constr. 2023, 146, 104671. [Google Scholar] [CrossRef]
- Zhou, Z.-H. Machine Learning; Springer Nature: Berlin/Heidelberg, Germany, 2021. [Google Scholar]
- Mahesh, B. Machine learning algorithms—A review. Int. J. Sci. Res. 2020, 9, 381–386. [Google Scholar]
- Melhem, H.G.; Nagaraja, S.R.I.N.A.T.H. Machine learning and its application to civil engineering systems. Civ. Eng. Syst. 1996, 13, 259–279. [Google Scholar] [CrossRef]
- Reich, Y. Machine Learning Techniques for Civil Engineering Problems. Comput. Civ. Infrastruct. Eng. 1997, 12, 295–310. [Google Scholar] [CrossRef]
- Zeng, F.; Amar, M.N.; Mohammed, A.S.; Motahari, M.R.; Hasanipanah, M. Improving the performance of LSSVM model in predicting the safety factor for circular failure slope through optimization algorithms. Eng. Comput. 2021, 38, 1755–1766. [Google Scholar] [CrossRef]
- Rasheed, A.; Usman, M.; Zain, M.; Iqbal, N. Machine Learning-Based Fragility Assessment of Reinforced Concrete Buildings. Comput. Intell. Neurosci. 2022, 2022, 5504283. [Google Scholar] [CrossRef]
- Awoyera, P.O.; Kirgiz, M.S.; Viloria, A.; Ovallos-Gazabon, D. Estimating strength properties of geopolymer self-compacting concrete using machine learning techniques. J. Mater. Res. Technol. 2020, 9, 9016–9028. [Google Scholar] [CrossRef]
- Rezvan, S.; Moradi, M.J.; Dabiri, H.; Daneshvar, K.; Karakouzian, M.; Farhangi, V. Application of Machine Learning to Predict the Mechanical Characteristics of Concrete Containing Recycled Plastic-Based Materials. Appl. Sci. 2023, 13, 2033. [Google Scholar] [CrossRef]
- Ahmad, A.; Ahmad, W.; Aslam, F.; Joyklad, P. Compressive strength prediction of fly ash-based geopolymer concrete via advanced machine learning techniques. Case Stud. Constr. Mater. 2021, 16, e00840. [Google Scholar] [CrossRef]
- Piro, N.S.; Mohammed, A.; Hamad, S.M.; Kurda, R. Artificial neural networks (ANN), MARS, and adaptive network-based fuzzy inference system (ANFIS) to predict the stress at the failure of concrete with waste steel slag coarse aggregate replacement. Neural Comput. Appl. 2023, 35, 13293–13319. [Google Scholar] [CrossRef]
- Rehman, F.; Khokhar, S.A.; Khushnood, R.A. ANN based predictive mimicker for mechanical and rheological properties of eco-friendly geopolymer concrete. Case Stud. Constr. Mater. 2022, 17, e01536. [Google Scholar] [CrossRef]
- El Asri, Y.; Ben Aicha, M.; Zaher, M.; Alaoui, A.H. Prediction of compressive strength of self-compacting concrete using four machine learning technics. Mater. Today Proc. 2022, 57, 859–866. [Google Scholar] [CrossRef]
- Nazar, S.; Yang, J.; Ahmad, A.; Shah, S.F.A. Comparative study of evolutionary artificial intelligence approaches to predict the rheological properties of fresh concrete. Mater. Today Commun. 2022, 32, 103964. [Google Scholar] [CrossRef]
- Nadimalla, A.; Masjuki, S.; Saad, S.; Ali, M. Machine Learning Model to Predict Slump, VEBE and Compaction Factor of M Sand and Shredded Pet Bottles Concrete. In IOP Conference Series: Materials Science and Engineering; IOP Publishing: Bristol, UK, 2022; p. 012023. [Google Scholar] [CrossRef]
- Chaabene, W.B.; Flah, M.; Nehdi, M.L. Machine learning prediction of mechanical properties of concrete: Critical review. Constr. Build. Mater. 2020, 260, 119889. [Google Scholar] [CrossRef]
- Goh, G.D.; Sing, S.L.; Yeong, W.Y. A review on machine learning in 3D printing: Applications, potential, and challenges. Artif. Intell. Rev. 2021, 54, 63–94. [Google Scholar] [CrossRef]
- Jayasudha, M.; Elangovan, M.; Mahdal, M.; Priyadarshini, J. Accurate Estimation of Tensile Strength of 3D Printed Parts Using Machine Learning Algorithms. Processes 2022, 10, 1158. [Google Scholar] [CrossRef]
- Boiko, D.A.; Korabelnikova, V.A.; Gordeev, E.G.; Ananikov, V.P. Integration of thermal imaging and neural networks for mechanical strength analysis and fracture prediction in 3D-printed plastic parts. Sci. Rep. 2022, 12, 8944. [Google Scholar] [CrossRef]
- Challapalli, A.; Li, G. 3D printable biomimetic rod with superior buckling resistance designed by machine learning. Sci. Rep. 2020, 10, 20716. [Google Scholar] [CrossRef]
- Kaliyavaradhan, S.K.; Ambily, P.S.; Prem, P.R.; Ghodke, S.B. Test methods for 3D printable concrete. Autom. Constr. 2022, 142, 104529. [Google Scholar] [CrossRef]
- Ye, J.; Cui, C.; Yu, J.; Yu, K.; Xiao, J. Fresh and anisotropic-mechanical properties of 3D printable ultra-high ductile concrete with crumb rubber. Compos. Part B Eng. 2021, 211, 108639. [Google Scholar] [CrossRef]
- Joh, C.; Lee, J.; Bui, T.Q.; Park, J.; Yang, I.-H. Buildability and Mechanical Properties of 3D Printed Concrete. Materials 2020, 13, 4919. [Google Scholar] [CrossRef] [PubMed]
- Sonebi, M.; Amziane, S.; Perrot, A. Mechanical behavior of 3D printed cement materials. In 3D Printing of Concrete: State of the Art and Challenges of the Digital Construction Revolution; Wiley: Hoboken, NJ, USA, 2019; pp. 101–124. [Google Scholar]
- Ding, T.; Xiao, J.; Qin, F.; Duan, Z. Mechanical behavior of 3D printed mortar with recycled sand at early ages. Constr. Build. Mater. 2020, 248, 118654. [Google Scholar] [CrossRef]
- Rehman, A.U.; Kim, J.-H. 3D Concrete Printing: A Systematic Review of Rheology, Mix Designs, Mechanical, Microstructural, and Durability Characteristics. Materials 2021, 14, 3800. [Google Scholar] [CrossRef]
- Rahul, A.V.; Santhanam, M.; Meena, H.; Ghani, Z. Mechanical characterization of 3D printable concrete. Constr. Build. Mater. 2019, 227, 116710. [Google Scholar] [CrossRef]
- Agatonovic-Kustrin, S.; Beresford, R. Basic concepts of artificial neural network (ANN) modeling and its application in pharmaceutical research. J. Pharm. Biomed. Anal. 2000, 22, 717–727. [Google Scholar] [CrossRef] [PubMed]
- Shin, H.-C.; Roth, H.R.; Gao, M.; Lu, L.; Xu, Z.; Nogues, I.; Yao, J.; Mollura, D.; Summers, R.M. Deep Convolutional Neural Networks for Computer-Aided Detection: CNN Architectures, Dataset Characteristics and Transfer Learning. IEEE Trans. Med. Imaging 2016, 35, 1285–1298. [Google Scholar] [CrossRef] [PubMed]
- Zhou, L.; Liu, H.; Bae, J.; He, J.; Samaras, D.; Prasanna, P. Self pre-training with masked autoencoders for medical image analysis. arXiv 2022, arXiv:2203.05573. [Google Scholar]
- Bank, D.; Koenigstein, N.; Giryes, R. Autoencoders. arXiv 2020, arXiv:2003.05991. [Google Scholar]
- Ding, T.; Xiao, J.; Zou, S.; Wang, Y. Hardened properties of layered 3D printed concrete with recycled sand. Cem. Concr. Compos. 2020, 113, 103724. [Google Scholar] [CrossRef]
- Lim, J.H.; Panda, B.; Pham, Q.-C. Improving flexural characteristics of 3D printed geopolymer composites with in-process steel cable reinforcement. Constr. Build. Mater. 2018, 178, 32–41. [Google Scholar] [CrossRef]
- Panda, B.; Paul, S.C.; Mohamed, N.A.N.; Tay, Y.W.D.; Tan, M.J. Measurement of tensile bond strength of 3D printed geopolymer mortar. Measurement 2018, 113, 108–116. [Google Scholar] [CrossRef]
- Sarker, I.H. Machine Learning: Algorithms, Real-World Applications and Research Directions. SN Comput. Sci. 2021, 2, 160. [Google Scholar] [CrossRef] [PubMed]
- Dulac-Arnold, G.; Levine, N.; Mankowitz, D.J.; Li, J.; Paduraru, C.; Gowal, S.; Hester, T. Challenges of real-world reinforcement learning. arXiv 2019, arXiv:1904.12901. [Google Scholar]
- Mahrishi, M.; Hiran, K.K.; Meena, G.; Sharma, P. Machine Learning and Deep Learning in Real-Time Applications; IGI Global: Hershey, PA, USA, 2020. [Google Scholar]
- Moein, M.M.; Saradar, A.; Rahmati, K.; Mousavinejad, S.H.G.; Bristow, J.; Aramali, V.; Karakouzian, M. Predictive models for concrete properties using machine learning and deep learning approaches: A review. J. Build. Eng. 2023, 63, 105444. [Google Scholar] [CrossRef]
- Kingsford, C.; Salzberg, S.L. What are decision trees? Nat. Biotechnol. 2008, 26, 1011–1013. [Google Scholar] [CrossRef]
- Kotsiantis, S.B. Decision trees: A recent overview. Artif. Intell. Rev. 2011, 39, 261–283. [Google Scholar] [CrossRef]
- Karbassi, A.; Mohebi, B.; Rezaee, S.; Lestuzzi, P. Damage prediction for regular reinforced concrete buildings using the decision tree algorithm. Comput. Struct. 2014, 130, 46–56. [Google Scholar] [CrossRef]
- Erdal, H.I. Two-level and hybrid ensembles of decision trees for high performance concrete compressive strength prediction. Eng. Appl. Artif. Intell. 2013, 26, 1689–1697. [Google Scholar] [CrossRef]
- Taffese, W.; Sistonen, E.; Puttonen, J. Prediction of concrete carbonation depth using decision trees. In ESANN; UCL Press: London, UK, 2015. [Google Scholar]
- Rajakarunakaran, S.A.; Lourdu, A.R.; Muthusamy, S.; Panchal, H.; Alrubaie, A.J.; Jaber, M.M.; Ali, M.H.; Tlili, I.; Maseleno, A.; Majdi, A.; et al. Prediction of strength and analysis in self-compacting concrete using machine learning based regression techniques. Adv. Eng. Softw. 2022, 173, 103267. [Google Scholar] [CrossRef]
- Chou, J.-S.; Chiu, C.-K.; Farfoura, M.; Altaharwa, I. Optimizing the Prediction Accuracy of Concrete Compressive Strength Based on a Comparison of Data-Mining Techniques. J. Comput. Civ. Eng. 2011, 25, 242–253. [Google Scholar] [CrossRef]
- Dauji, S. Prediction of compressive strength of concrete with decision trees. Int. J. Concr. Technol. 2016, 2, 19–29. [Google Scholar]
- Güçlüer, K.; Özbeyaz, A.; Göymen, S.; Günaydın, O. A comparative investigation using machine learning methods for concrete compressive strength estimation. Mater. Today Commun. 2021, 27, 102278. [Google Scholar] [CrossRef]
- Kecman, V. Support vector machines—An introduction. In Support Vector Machines: Theory and Applications; Springer: Berlin/Heidelberg, Germany, 2005; pp. 1–47. [Google Scholar]
- Suthaharan, S.; Suthaharan, S. Support vector machine. In Machine Learning Models and Algorithms for Big Data Classification: Thinking with Examples for Effective Learning; Springer: Berlin/Heidelberg, Germany, 2016; pp. 207–235. [Google Scholar]
- Yinfeng, D.; Yingmin, L.; Ming, L.; Mingkui, X. Nonlinear structural response prediction based on support vector machines. J. Sound Vib. 2008, 311, 886–897. [Google Scholar] [CrossRef]
- Ivanciuc, O. Applications of Support Vector Machines in Chemistry. Rev. Comput. Chem. 2007, 23, 291. [Google Scholar] [CrossRef]
- Yan, K.; Shi, C. Prediction of elastic modulus of normal and high strength concrete by support vector machine. Constr. Build. Mater. 2010, 24, 1479–1485. [Google Scholar] [CrossRef]
- Sonebi, M.; Cevik, A.; Grünewald, S.; Walraven, J. Modelling the fresh properties of self-compacting concrete using support vector machine approach. Constr. Build. Mater. 2016, 106, 55–64. [Google Scholar] [CrossRef]
- Abd, A.M.; Abd, S.M. Modelling the strength of lightweight foamed concrete using support vector machine (SVM). Case Stud. Constr. Mater. 2017, 6, 8–15. [Google Scholar] [CrossRef]
- Gupta, S.M. Support vector machines based modelling of concrete strength. World Acad. Sci. Eng. Technol. 2007, 36. [Google Scholar]
- Chang, Z.; Wan, Z.; Xu, Y.; Schlangen, E.; Šavija, B. Convolutional neural network for predicting crack pattern and stress-crack width curve of air-void structure in 3D printed concrete. Eng. Fract. Mech. 2022, 271, 108624. [Google Scholar] [CrossRef]
- Charrier, M.; Ouellet-Plamondon, C.M. Artificial neural network for the prediction of the fresh properties of cementitious materials. Cem. Concr. Res. 2022, 156, 106761. [Google Scholar] [CrossRef]
- Izadgoshasb, H.; Kandiri, A.; Shakor, P.; Laghi, V.; Gasparini, G. Predicting Compressive Strength of 3D Printed Mortar in Structural Members Using Machine Learning. Appl. Sci. 2021, 11, 10826. [Google Scholar] [CrossRef]
- Czarnecki, S.; Sadowski, Ł.; Hoła, J. Evaluation of interlayer bonding in layered composites based on non-destructive measurements and machine learning: Comparative analysis of selected learning algorithms. Autom. Constr. 2021, 132, 103977. [Google Scholar] [CrossRef]
- Zhang, J.; Wang, P.; Gao, R.X. Deep learning-based tensile strength prediction in fused deposition modeling. Comput. Ind. 2019, 107, 11–21. [Google Scholar] [CrossRef]
- Bagheri, A.; Cremona, C. Formulation of mix design for 3D printing of geopolymers: A machine learning approach. Mater. Adv. 2020, 1, 720–727. [Google Scholar] [CrossRef]
- Lao, W.; Li, M.; Tjahjowidodo, T. Variable-geometry nozzle for surface quality enhancement in 3D concrete printing. Addit. Manuf. 2020, 37, 101638. [Google Scholar] [CrossRef]
- Ebden, M. Gaussian processes: A quick introduction. arXiv 2015, arXiv:1505.02965. [Google Scholar]
- Rasmussen, C.E.; Williams, C.K.I. Gaussian Processes for Machine Learning; Springer: Berlin/Heidelberg, Germany, 2008. [Google Scholar] [CrossRef]
- Słoński, M. Bayesian neural networks and Gaussian processes in identification of concrete properties. Comput. Assist. Methods Eng. Sci. 2011, 18, 291–302. [Google Scholar]
- Omidinasab, F.; Moghadam, A.S.; Dowlatshahi, M.B. Predictive model for shear strength estimation in reinforced concrete beams with recycled aggregates using Gaussian process regression. Neural Comput. Appl. 2022, 35, 8487–8503. [Google Scholar] [CrossRef]
- Kovačević, M.; Lozančić, S.; Nyarko, E.K.; Hadzima-Nyarko, M. Modeling of Compressive Strength of Self-Compacting Rubberized Concrete Using Machine Learning. Materials 2021, 14, 4346. [Google Scholar] [CrossRef]
- Friedman, J.H. Greedy function approximation: A gradient boosting machine. Ann. Stat. 2001, 29, 1189–1232. [Google Scholar] [CrossRef]
- Chen, T.; He, T.; Benesty, M.; Khotilovich, V.; Tang, Y.; Cho, H.; Chen, K.; Mitchell, R.; Cano, I.; Zhou, T. Xgboost: Extreme Gradient Boosting. R Package Version 0.4-2. 2015. Available online: https://rdrr.io/cran/xgboost/ (accessed on 19 May 2023).
- Wang, S.; Dong, P.; Tian, Y. A Novel Method of Statistical Line Loss Estimation for Distribution Feeders Based on Feeder Cluster and Modified XGBoost. Energies 2017, 10, 2067. [Google Scholar] [CrossRef]
- Nguyen, H.; Vu, T.; Vo, T.P.; Thai, H.-T. Efficient machine learning models for prediction of concrete strengths. Constr. Build. Mater. 2020, 266, 120950. [Google Scholar] [CrossRef]
- Wang, X.; Jia, L.; Jia, Z.; Zhang, C.; Chen, Y.; Ma, L.; Wang, Z.; Deng, Z.; Banthia, N.; Zhang, Y. Optimization of 3D printing concrete with coarse aggregate via proper mix design and printing process. J. Build. Eng. 2022, 56, 104745. [Google Scholar] [CrossRef]
- Yu, K.; McGee, W.; Ng, T.Y.; Zhu, H.; Li, V.C. 3D-printable engineered cementitious composites (3DP-ECC): Fresh and hardened properties. Cem. Concr. Res. 2021, 143, 106388. [Google Scholar] [CrossRef]
- Zhu, B.; Pan, J.; Nematollahi, B.; Zhou, Z.; Zhang, Y.; Sanjayan, J. Development of 3D printable engineered cementitious composites with ultra-high tensile ductility for digital construction. Mater. Des. 2019, 181, 108088. [Google Scholar] [CrossRef]
- Ye, J.; Cui, C.; Yu, J.; Yu, K.; Dong, F. Effect of polyethylene fiber content on workability and mechanical-anisotropic properties of 3D printed ultra-high ductile concrete. Constr. Build. Mater. 2021, 281, 122586. [Google Scholar] [CrossRef]
- van den Heever, M.; Bester, F.; Kruger, J.; van Zijl, G. Mechanical characterisation for numerical simulation of extrusion-based 3D concrete printing. J. Build. Eng. 2021, 44, 102944. [Google Scholar] [CrossRef]
- Ding, T.; Xiao, J.; Zou, S.; Zhou, X. Anisotropic behavior in bending of 3D printed concrete reinforced with fibers. Compos. Struct. 2020, 254, 112808. [Google Scholar] [CrossRef]
- Sun, J.; Aslani, F.; Lu, J.; Wang, L.; Huang, Y.; Ma, G. Fibre-reinforced lightweight engineered cementitious composites for 3D concrete printing. Ceram. Int. 2021, 47, 27107–27121. [Google Scholar] [CrossRef]
- Arunothayan, A.R.; Nematollahi, B.; Ranade, R.; Bong, S.H.; Sanjayan, J.G.; Khayat, K.H. Fiber orientation effects on ultra-high performance concrete formed by 3D printing. Cem. Concr. Res. 2021, 143, 106384. [Google Scholar] [CrossRef]
- Suntharalingam, T.; Nagaratnam, B.; Poologanathan, K.; Hackney, P.; Ramli, J. Effect of polypropylene fibres on the mechanical properties of extrudable cementitious material. In Second RILEM International Conference on Concrete and Digital Fabrication: Digital Concrete 2020 2; Springer: Berlin/Heidelberg, Germany, 2020; pp. 516–526. [Google Scholar]
- Arunothayan, A.R.; Nematollahi, B.; Ranade, R.; Khayat, K.H.; Sanjayan, J.G. Digital fabrication of eco-friendly ultra-high performance fiber-reinforced concrete. Cem. Concr. Compos. 2021, 125, 104281. [Google Scholar] [CrossRef]
- Zhao, Y.; Wu, X.; Zhu, L.; Yang, Z.; Wang, Y.; Xi, X. The Influence of Polypropylene Fiber on the Working Performance and Mechanical Anisotropy of 3D Printing Concrete. J. Adv. Concr. Technol. 2021, 19, 1264–1274. [Google Scholar] [CrossRef]
- Ma, G.; Li, Z.; Wang, L.; Wang, F.; Sanjayan, J. Mechanical anisotropy of aligned fiber reinforced composite for extrusion-based 3D printing. Constr. Build. Mater. 2019, 202, 770–783. [Google Scholar] [CrossRef]
- Zhang, Y.; Aslani, F. Development of fibre reinforced engineered cementitious composite using polyvinyl alcohol fibre and activated carbon powder for 3D concrete printing. Constr. Build. Mater. 2021, 303, 124453. [Google Scholar] [CrossRef]
- Arunothayan, A.R.; Nematollahi, B.; Ranade, R.; Bong, S.H.; Sanjayan, J. Development of 3D-printable ultra-high performance fiber-reinforced concrete for digital construction. Constr. Build. Mater. 2020, 257, 119546. [Google Scholar] [CrossRef]
- Liu, C.; Zhang, R.; Liu, H.; He, C.; Wang, Y.; Wu, Y.; Liu, S.; Song, L.; Zuo, F. Analysis of the mechanical performance and damage mechanism for 3D printed concrete based on pore structure. Constr. Build. Mater. 2021, 314, 125572. [Google Scholar] [CrossRef]
- Yang, Y.; Wu, C.; Liu, Z.; Wang, H.; Ren, Q. Mechanical anisotropy of ultra-high performance fibre-reinforced concrete for 3D printing. Cem. Concr. Compos. 2021, 125, 104310. [Google Scholar] [CrossRef]
- Yu, J.; Leung, C.K.Y. Impact of 3D Printing Direction on Mechanical Performance of Strain-Hardening Cementitious Composite (SHCC). In First RILEM International Conference on Concrete and Digital Fabrication—Digital Concrete 2018; Wangler, T., Flatt, R.J., Eds.; Springer International Publishing: Cham, Switzerland, 2019; pp. 255–265. [Google Scholar]
- Le, T.T.; Austin, S.A.; Lim, S.; Buswell, R.A.; Law, R.; Gibb, A.G.; Thorpe, T. Hardened properties of high-performance printing concrete. Cem. Concr. Res. 2012, 42, 558–566. [Google Scholar] [CrossRef]
- Zhou, Y.; Jiang, D.; Sharma, R.; Xie, Y.M.; Singh, A. Enhancement of 3D printed cementitious composite by short fibers: A review. Constr. Build. Mater. 2023, 362, 129763. [Google Scholar] [CrossRef]
- Xiao, J.; Zou, S.; Ding, T.; Duan, Z.; Liu, Q. Fiber-reinforced mortar with 100% recycled fine aggregates: A cleaner perspective on 3D printing. J. Clean. Prod. 2021, 319, 128720. [Google Scholar] [CrossRef]
- Zou, S.; Xiao, J.; Ding, T.; Duan, Z.; Zhang, Q. Printability and advantages of 3D printing mortar with 100% recycled sand. Constr. Build. Mater. 2020, 273, 121699. [Google Scholar] [CrossRef]
- Liu, H.; Liu, C.; Wu, Y.; Bai, G.; He, C.; Zhang, R.; Wang, Y. Hardened properties of 3D printed concrete with recycled coarse aggregate. Cem. Concr. Res. 2022, 159, 106868. [Google Scholar] [CrossRef]
- Marczyk, J.; Ziejewska, C.; Gądek, S.; Korniejenko, K.; Łach, M.; Góra, M.; Kurek, I.; Doğan-Sağlamtimur, N.; Hebda, M.; Szechyńska-Hebda, M. Hybrid Materials Based on Fly Ash, Metakaolin, and Cement for 3D Printing. Materials 2021, 14, 6874. [Google Scholar] [CrossRef]
- Wu, Z.; Khayat, K.H.; Shi, C. Changes in rheology and mechanical properties of ultra-high performance concrete with silica fume content. Cem. Concr. Res. 2019, 123, 105786. [Google Scholar] [CrossRef]
- Chandra, S.; Björnström, J. Influence of cement and superplasticizers type and dosage on the fluidity of cement mortars—Part I. Cem. Concr. Res. 2002, 32, 1605–1611. [Google Scholar] [CrossRef]
- Kolawole, J.T.; Combrinck, R.; Boshoff, W.P. Measuring the thixotropy of conventional concrete: The influence of viscosity modifying agent, superplasticiser and water. Constr. Build. Mater. 2019, 225, 853–867. [Google Scholar] [CrossRef]
- Abdalla, A.; Mohammed, A.S. Surrogate Models to Predict the Long-Term Compressive Strength of Cement-Based Mortar Modified with Fly Ash. Arch. Comput. Methods Eng. 2022, 29, 4187–4212. [Google Scholar] [CrossRef]











| Parameters | Units | Range | Mean | Standard Deviation | |||
|---|---|---|---|---|---|---|---|
| Flexural Data | Tensile Data | Flexural Data | Tensile Data | Flexural Data | Tensile Data | ||
| Cement | Kg/m3 | 207.61–2000 | 207.61–2000 | 581.83 | 674.87 | 361.57 | 438.79 |
| Water | Kg/m3 | 130.9–760 | 135–760 | 263.85 | 327.32 | 155.58 | 176.37 |
| Silica Fume | Kg/m3 | 0–293 | 0–280 | 82.09 | 55.94 | 97.94 | 91.51 |
| Fly ash | Kg/m3 | 0–1380 | 0–1380 | 272.84 | 321.27 | 345.58 | 446.78 |
| HRWA | Kg/m3 | 0–36 | 0–36 | 6.39 | 5.68 | 7.53 | 8.79 |
| Accelerator | Kg/m3 | 0–146.4 | 0–146.4 | 4.5 | 2.99 | 19.84 | 20.91 |
| Nano Clay | Kg/m3 | 0–5.89 | 0–5.89 | 0.6 | 0.51 | 1.58 | 1.51 |
| VMA | Kg/m3 | 0–38.64 | 0–31.74 | 2.39 | 3.78 | 6.15 | 10.41 |
| Coarse Aggregate Amount | Kg/m3 | 0–1566.3 | 0–1566.3 | 189.72 | 241.16 | 392.25 | 494.08 |
| Coarse Aggregate Size | mm | 0–10 | 0–10 | 1.75 | 1.62 | 2.84 | 3.37 |
| Fine Aggregate | Kg/m3 | 195.7–3420 | 195.7–3420 | 838.48 | 836.09 | 593.23 | 721.23 |
| Fine Aggregate Size | mm | 0.176–3 | 0.2–3 | 0.45 | 0.53 | 0.2 | 0.42 |
| Tensile Strength of Fibers | MPa | 300–3000 | 300–3000 | 1775.8 | 1564.4 | 997.5 | 1087.31 |
| Young’s Modulus of Fibers | GPa | 3–200 | 3–300 | 68.48 | 71.42 | 67.94 | 61.48 |
| Amount of Fibers | Kg/m3 | 1–157 | 1.96–157 | 23.44 | 13.57 | 38.64 | 15.28 |
| Length of Fibers | mm | 6–23 | 6–23 | 10.47 | 10.35 | 4.66 | 5.36 |
| Diameter of Fibers | µm | 11.2–200 | 11.2–300 | 47.3 | 31.59 | 56.05 | 38.5 |
| Print Speed | mm/sec | 10–450 | 10–120 | 94.22 | 63.72 | 109.68 | 31.55 |
| Nozzle Area | mm2 | 50.25–1259 | 78.54–1256 | 546.58 | 580.16 | 365.87 | 351.18 |
| Tensile Strength | ||||||
|---|---|---|---|---|---|---|
| Model | Hyperparameter | Test | ||||
| Direction 1 | ||||||
| R2_Score | RMSE (MPa) | MSE (MPa) | MAE (MPa) | |||
| Decision Tree Regressor | Default parameters: criterion = ‘squared_error’, splitter = ‘best’, max_depth = None, min_samples_split = 2, min_samples_leaf = 1 | 0.7217 | 1.0904 | 1.1889 | 0.5857 | |
| XGBoost Regressor | Default parameters: loss = ‘squared_error’, learning_rate = 0.1, n_estimators = 100, subsample = 1.0, criterion = ‘friedman_mse’, min_samples_split = 2 | 0.6757 | 1.1771 | 1.3856 | 0.6255 | |
| Gaussian Process Regressor | Default parameters/NA | −0.8156 | 2.7853 | 7.7583 | 1.7688 | |
| SVM Regressor | Parameters: Kernel = “linear” | 0.8893 | 0.6877 | 0.4729 | 0.5168 | |
| Kernel = “rbf” | 0.7363 | 1.0614 | 1.1265 | 0.7923 | ||
| Kernel = “sigmoid” | 0.4781 | 1.4933 | 2.2299 | 1.0734 | ||
| Kernel = “poly” | degree = 2 | 0.8697 | 0.7461 | 0.5567 | 0.5619 | |
| degree = 3 | 0.8705 | 0.7436 | 0.5529 | 0.5294 | ||
| degree = 4 | 0.8726 | 0.7377 | 0.5443 | 0.5230 | ||
| degree = 5 | 0.8454 | 0.8126 | 0.6603 | 0.6108 | ||
| degree = 7 | 0.5856 | 1.3306 | 1.7705 | 0.9655 | ||
| Flexural Strength | ||||||||||||||
|---|---|---|---|---|---|---|---|---|---|---|---|---|---|---|
| Model | Hyperparameter | Test | ||||||||||||
| Casted | Direction 1 | Direction 2 | ||||||||||||
| R2_Score | RMSE (MPa) | MSE (MPa) | MAE (MPa) | R2 | RMSE (MPa) | MSE (MPa) | MAE (MPa) | R2 | RMSE (MPa) | MSE (MPa) | MAE (MPa) | |||
| Decision Tree Regressor | Default parameters: criterion = ‘squared_error’, splitter = ‘best’, max_depth = None, min_samples_split = 2, min_samples_leaf = 1 | 0.7107 | 4.0378 | 16.3038 | 2.1685 | 0.7253 | 4.2234 | 17.8378 | 2.1450 | 0.7166 | 3.6106 | 13.0370 | 1.9234 | |
| XGBoost Regressor | Default parameters: loss = ‘squared_error’, learning_rate = 0.1, n_estimators = 100, subsample = 1.0, criterion = ‘friedman_mse’, min_samples_split = 2 | 0.7826 | 3.4995 | 12.2471 | 1.9138 | 0.8571 | 3.0464 | 9.2805 | 1.6562 | 0.8237 | 2.8478 | 8.1100 | 1.6802 | |
| Gaussian Process Regressor | Default parameters/NA | 0.8586 | 2.8223 | 7.9658 | 1.7799 | 0.8997 | 2.5521 | 6.5136 | 1.6653 | 0.8919 | 2.2298 | 4.9724 | 1.5179 | |
| SVM Regressor | Parameters: Kernel = “linear” | 0.8389 | 3.0131 | 9.0789 | 2.2241 | 0.8302 | 3.3203 | 11.0248 | 2.3213 | 0.8588 | 2.5482 | 6.4936 | 1.8319 | |
| Kernel = “rbf” | 0.3747 | 5.9361 | 35.2376 | 3.4569 | 0.3441 | 6.5263 | 42.5938 | 3.7748 | 0.4109 | 5.2057 | 27.0992 | 3.1575 | ||
| Kernel = “sigmoid” | 0.2753 | 6.3902 | 40.8355 | 3.8144 | 0.2507 | 6.9757 | 48.6608 | 4.2864 | 0.2992 | 5.6780 | 32.2397 | 3.5497 | ||
| Kernel = “poly” | degree = 2 | 0.8015 | 3.3440 | 11.1820 | 2.3023 | 0.7940 | 3.6570 | 13.3741 | 2.4048 | 0.8556 | 2.5772 | 6.6422 | 1.8418 | |
| degree = 3 | 0.8798 | 2.6020 | 6.7705 | 1.8348 | 0.8681 | 2.9266 | 8.5651 | 1.9164 | 0.8650 | 2.4914 | 6.2070 | 1.7467 | ||
| degree = 4 | 0.8947 | 2.4357 | 5.9326 | 1.5969 | 0.8824 | 2.7630 | 7.6342 | 1.7180 | 0.8705 | 2.4408 | 5.9577 | 1.6728 | ||
| degree = 5 | 0.9009 | 2.3629 | 5.5837 | 1.5843 | 0.8936 | 2.6284 | 6.9089 | 1.6899 | 0.8785 | 2.3643 | 5.5900 | 1.6301 | ||
| degree = 7 | 0.8597 | 2.8119 | 7.9068 | 1.8643 | 0.8621 | 2.9921 | 8.9529 | 2.0122 | 0.8713 | 2.4331 | 5.9202 | 1.7106 | ||
| Serial No | Removed Parameter | RMSE (MPa) | MAE (MPa) | Rank | Removed Parameter | RMSE (MPa) | MAE (MPa) | Rank | Removed Parameter | RMSE (MPa) | MAE (MPa) | Rank |
|---|---|---|---|---|---|---|---|---|---|---|---|---|
| Direction 1 | Direction 2 | Tensile | ||||||||||
| 1 | water | 3.435388 | 1.707343 | 16 | water | 3.054693 | 1.611342 | 15 | water | 1.235907 | 0.542882 | 15 |
| 2 | OPC | 3.469017 | 1.720952 | 14 | OPC | 3.08612 | 1.6242 | 13 | OPC | 1.313908 | 0.58144 | 6 |
| 3 | SF | 3.679582 | 1.746922 | 8 | SF | 3.295288 | 1.651021 | 8 | SF | 1.372479 | 0.585067 | 5 |
| 4 | FA | 3.427675 | 1.724601 | 12 | FA | 3.043816 | 1.632707 | 9 | FA | 1.214197 | 0.527205 | 19 |
| 5 | HRWA | 3.49679 | 1.72722 | 11 | HRWA | 3.112101 | 1.632399 | 10 | HRWA | 1.279392 | 0.555373 | 12 |
| 6 | Accelerator | 3.429991 | 1.694391 | 17 | Accelerator | 3.051652 | 1.586162 | 18 | Accelerator | 1.242211 | 0.53891 | 17 |
| 7 | Nano Clay | 3.443021 | 1.744391 | 9 | Nano Clay | 3.031044 | 1.608555 | 16 | Nano Clay | 1.27908 | 0.586401 | 4 |
| 8 | VMA | 3.620481 | 1.789529 | 5 | VMA | 3.233733 | 1.701543 | 4 | VMA | 1.248234 | 0.550853 | 13 |
| 9 | Coarse Aggregate | 3.419646 | 1.687259 | 19 | Coarse Aggregate | 3.040884 | 1.590642 | 17 | Coarse Aggregate | 1.227094 | 0.529152 | 18 |
| 10 | Coarse Aggregate Size | 3.420119 | 1.722704 | 13 | Coarse Aggregate Size | 3.043928 | 1.628047 | 11 | Coarse Aggregate Size | 1.300266 | 0.555383 | 11 |
| 11 | Fine aggregate | 3.467813 | 1.719678 | 15 | Fine aggregate | 3.089325 | 1.627822 | 12 | Fine aggregate | 1.279348 | 0.561863 | 7 |
| 12 | Fine aggregate Max size | 3.529115 | 1.814253 | 3 | Fine aggregate Max size | 3.135855 | 1.678854 | 7 | Fine aggregate Max size | 1.286223 | 0.561064 | 8 |
| 13 | Fiber tensile strength | 3.578673 | 1.768906 | 7 | Fiber tensile strength | 3.151401 | 1.705591 | 3 | Fiber tensile strength | 1.471981 | 0.66846 | 1 |
| 14 | Fiber Young’s modulus | 3.783561 | 1.84142 | 2 | Fiber Young’s modulus | 3.330147 | 1.711165 | 2 | Fiber Young’s modulus | 1.611737 | 0.660326 | 2 |
| 15 | Fiber Amount | 3.870431 | 1.901596 | 1 | Fiber Amount | 3.327988 | 1.717442 | 1 | Fiber Amount | 1.287742 | 0.555659 | 9 |
| 16 | Fiber Length | 3.620481 | 1.789529 | 6 | Fiber Length | 3.233733 | 1.701543 | 5 | Fiber Length | 1.313256 | 0.592416 | 3 |
| 17 | Fiber Diameter | 3.757303 | 1.796675 | 4 | Fiber Diameter | 3.351271 | 1.701478 | 6 | Fiber Diameter | 1.241695 | 0.539999 | 16 |
| 18 | Print speed | 3.445291 | 1.690833 | 18 | Print speed | 3.05888 | 1.585716 | 19 | Print speed | 1.199372 | 0.555412 | 10 |
| 19 | Nozzle area | 3.495971 | 1.741203 | 10 | Nozzle area | 3.101378 | 1.623677 | 14 | Nozzle area | 1.220588 | 0.544233 | 14 |
| 20 | Fibers | 3.232545 | 1.559722 | 21 | Fibers | 2.898589 | 1.436404 | 21 | Fibers | 1.118979 | 0.510727 | 20 |
| 21 | Sand type | 3.322575 | 1.668542 | 20 | Sand type | 2.988024 | 1.514551 | 20 | Sand type | 1.102163 | 0.503668 | 21 |
| Tensile Strength Test Mix | |||||
|---|---|---|---|---|---|
| Mix | 1 | 2 | 3 | 4 | 5 |
| Water (kg/m3) | 289.7 | 256 | 329.8 | 177.12 | 135.19 |
| Cement (kg/m3) | 783 | 562 | 565.37 | 656 | 207.61 |
| SF (kg/m3) | 39.15 | 81.4 | 0 | 246 | 0 |
| FA (kg/m3) | 140.9 | 162 | 671.38 | 118 | 275.21 |
| HRWA (kg/m3) | 0.98 | 4.8 | 14.13 | 3 | 5.79 |
| Nano Clay/Nano Clay | 0 | 0 | 5.89 | 0 | 2.414 |
| VMA (kg/m3) | 0.49 | 2.41 | 1.18 | 0 | 0.48 |
| Max Size (mm) | 10 | 0 | 0 | 0 | 0 |
| Amount Fine Aggregate (kg/m3) | 978.7 | 1144 | 471.14 | 455 | 275.21 |
| Max Size (mm) | 0.39 | 0.4 | 0.3 | 0.31 | 0.2 |
| Sand Type | River Sand | Malmmesbury | Silica Sand | Silica Sand | Silica Sand |
| Fiber | PP | PP | PE | PE | PE |
| Tensile Strength MPa | 300 | 300 | 300 | 2900 | 3000 |
| Young’s Modulus (GPA) | 3 | 3 | 116 | 116 | 116 |
| Amount (kg/m3) | 1.96 | 22 | 40 | 10 | 14.55 |
| Length (mm) | 12 | 6 | 12 | 23 | 12 |
| Diameter (micrometer) | 130 | 30 | 24 | 25 | 24 |
| Print Speed mm/sec | 100 | 60 | 100 | 10 | 100 |
| Nozzle Area mm2 | 1256 | 490.625 | 314 | 1000 | 314 |
| Flexure Strength Test Mix | ||||||
|---|---|---|---|---|---|---|
| Mix | 1 | 2 | 3 | 4 | 5 | 6 |
| Water (kg/m3) | 244 | 285 | 210 | 240 | 156 | 154 |
| Cement (kg/m3) | 376 | 289 | 350 | 622 | 273 | 750 |
| SF (kg/m3) | 41.36 | 145 | 100 | 88.9 | 293 | 165 |
| FA (kg/m3) | 100 | 277 | 185 | 257 | 0 | 0 |
| HRWA (kg/m3) | 5.64 | 9 | 8 | 2.57 | 18 | 10 |
| Nano Clay/Nano Clay | 0 | 0 | 0 | 0 | 5 | 0 |
| VMA (kg/m3) | 0 | 0 | 4 | 0 | 0 | 1.08 |
| Coarse Aggregate Amount (kg/m3) | 0 | 0 | 0 | 0 | 390 | 180 |
| Size | 0 | 0 | 0 | 0 | 4.75 | 4.75 |
| Amount Fine Aggregate (kg/m3) | 732.6 | 1209 | 750 | 1066.75 | 878 | 924 |
| Max Size (mm) | 0.4 | 0.47 | 0.8 | 0.38 | 0.176 | 0.85 |
| Sand Type | Silica Sand | Malmesbury | Midas sand | River Sand | Silica Sand | Quartz Sand |
| Fiber | PVA | Glass | PP | PP | Steel | Steel |
| Tensile Strength MPa | 1600 | 450 | 300 | 3000 | 2500 | 2500 |
| Young’s Modulus (GPA) | 30 | 74 | 3.85 | 3 | 200 | 200 |
| Amount (kg/m3) | 7 | 13.5 | 12.7 | 1.2 | 157 | 39 |
| Length (mm) | 18 | 6 | 6 | 9 | 6 | 10 |
| Diameter (micrometer) | 39 | 40 | 30 | 23 | 200 | 0.12 |
| Print Speed mm/sec | 110 | 150 | 0 | 450 | 30 | 15 |
| Nozzle Area mm2 | 112.32 | 50.25 | 625 | 240 | 706.5 | 176.625 |
| Casted | 9 | 9 | 6.5 | 7.8 | 32.7 | 27.81 |
| Direction 1 (MPa) | 9.5 | 10 | 7 | 6.4 | 34 | 30.32 |
| Direction 2 (MPa) | 8.3 | 9 | 6.5 | 5.8 | 32.4 | 19.17 |
Disclaimer/Publisher’s Note: The statements, opinions and data contained in all publications are solely those of the individual author(s) and contributor(s) and not of MDPI and/or the editor(s). MDPI and/or the editor(s) disclaim responsibility for any injury to people or property resulting from any ideas, methods, instructions or products referred to in the content. |
© 2023 by the authors. Licensee MDPI, Basel, Switzerland. This article is an open access article distributed under the terms and conditions of the Creative Commons Attribution (CC BY) license (https://creativecommons.org/licenses/by/4.0/).
Share and Cite
Ali, A.; Riaz, R.D.; Malik, U.J.; Abbas, S.B.; Usman, M.; Shah, M.U.; Kim, I.-H.; Hanif, A.; Faizan, M. Machine Learning-Based Predictive Model for Tensile and Flexural Strength of 3D-Printed Concrete. Materials 2023, 16, 4149. https://doi.org/10.3390/ma16114149
Ali A, Riaz RD, Malik UJ, Abbas SB, Usman M, Shah MU, Kim I-H, Hanif A, Faizan M. Machine Learning-Based Predictive Model for Tensile and Flexural Strength of 3D-Printed Concrete. Materials. 2023; 16(11):4149. https://doi.org/10.3390/ma16114149
Chicago/Turabian StyleAli, Ammar, Raja Dilawar Riaz, Umair Jalil Malik, Syed Baqar Abbas, Muhammad Usman, Mati Ullah Shah, In-Ho Kim, Asad Hanif, and Muhammad Faizan. 2023. "Machine Learning-Based Predictive Model for Tensile and Flexural Strength of 3D-Printed Concrete" Materials 16, no. 11: 4149. https://doi.org/10.3390/ma16114149
APA StyleAli, A., Riaz, R. D., Malik, U. J., Abbas, S. B., Usman, M., Shah, M. U., Kim, I.-H., Hanif, A., & Faizan, M. (2023). Machine Learning-Based Predictive Model for Tensile and Flexural Strength of 3D-Printed Concrete. Materials, 16(11), 4149. https://doi.org/10.3390/ma16114149

