Axial Compressive Behavior of Cross-Shaped CFST Stub Columns with Steel Bar Truss Stiffening
Abstract
:1. Introduction
2. Test Program
2.1. Details of Specimens
2.2. Material Properties
2.3. Test Set-Up and Measurement
3. Test Results and Discussion
3.1. Test Phenomena and Failure Modes
3.2. Test Set-Up and Measurement
4. Test Results and Discussion
4.1. Stress Development of Steel Bars in Truss
4.2. Stress Development of Steel Tube
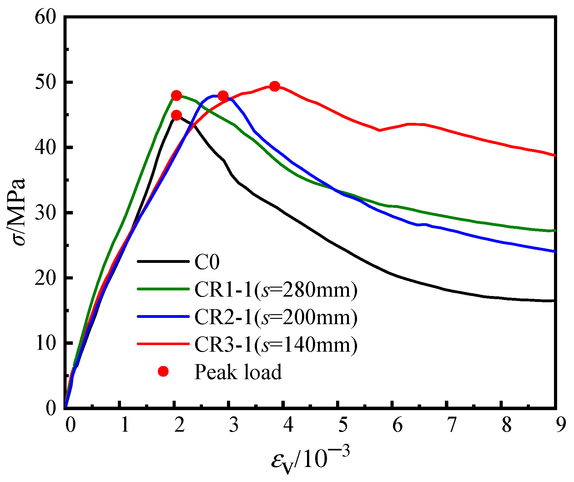
4.3. Longitudinal Stress of Concrete
5. Calculation Method of Bearing Capacity
6. Conclusions
- Due to the irregular cross-sections of the conventional cross-shaped CFST stub columns, the confinement effect of the steel tube on the concrete is insufficient under axial compressive load. With the steel bars in the truss employed, the deformation mode of the steel plate was changed from single-wave buckling to multiple-wave buckling, and the core concrete also tended toward multiple-section crushing failure.
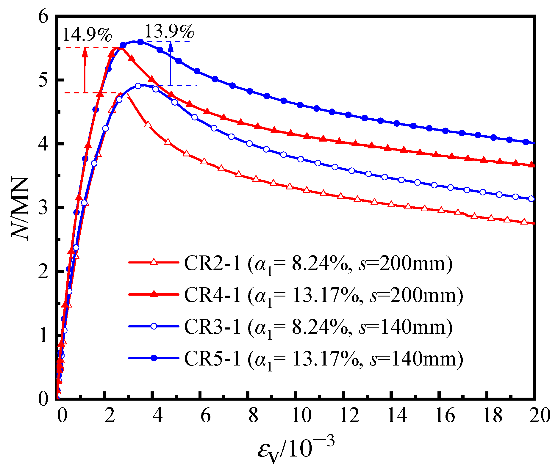
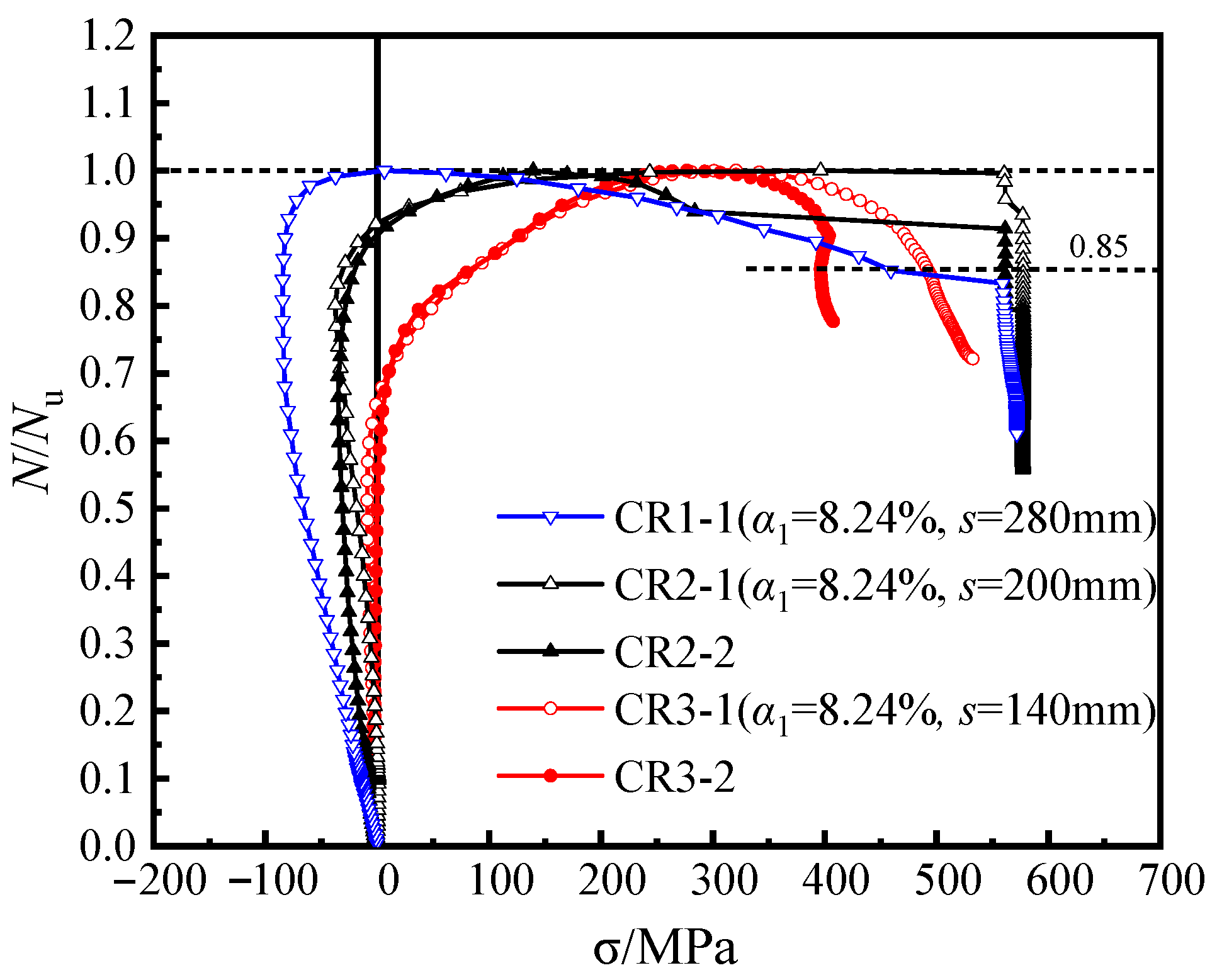
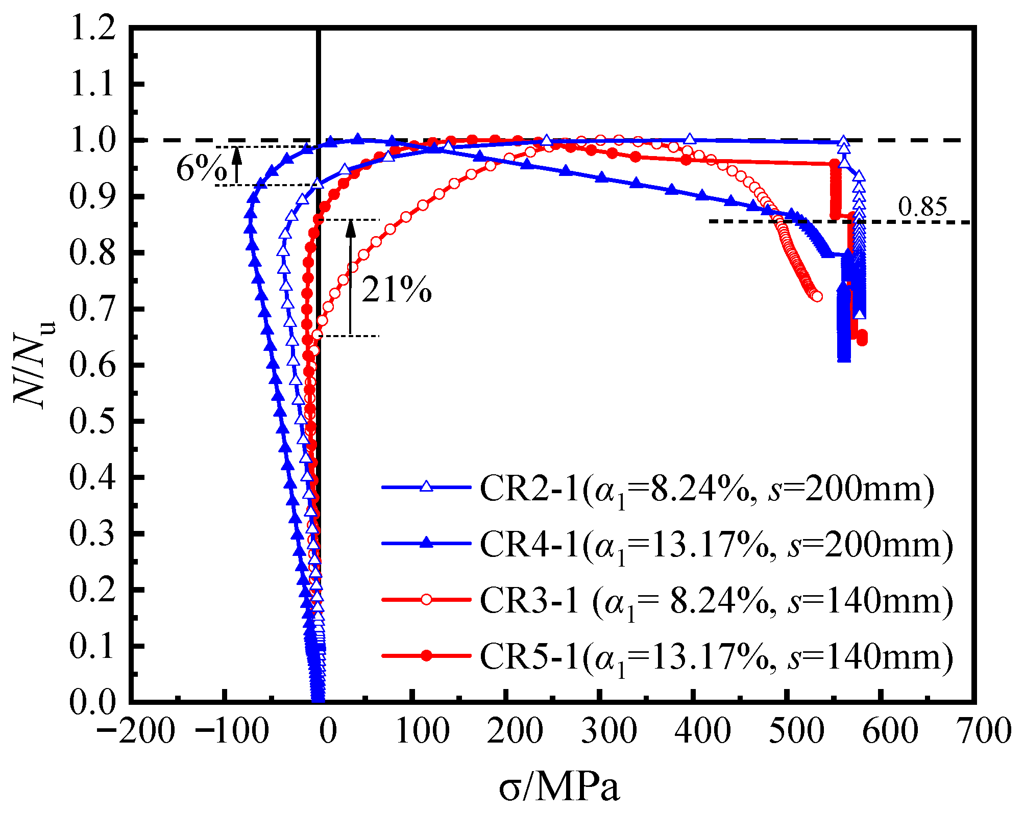
- Despite employing a 0.5% steel ratio for the steel bars, the steel bars, which were welded to the inside of the steel tube at the adjacent concave corners, increased the confinement of the tube to the concrete, thereby improving the bearing capacity and ductility of the member. In comparison to the unstiffened specimen, the bearing capacity and ductility of specimen CR3-1 increased by 6.8% and 93%, respectively, with a significantly improved ductility coefficient of 4.4.
- In the cross-shaped CFST stub column with steel bar truss stiffening, steel bar truss node spacing plays a significant role in the restraining effect on the steel tube. Only when the node spacing is reduced to a certain value can the steel bars exert their tensile forces on the steel tube at the concave corners, thereby enhancing the confinement effect of the steel tube on the concrete. For specimen CR3-1, with a steel bar truss node spacing of 140 mm, the steel bars begin to restrict the lateral deformation as the specimen enters the elastic–plastic stage. Compared with specimens CR2-1 (s = 200 mm) and CR1-1 (s = 280 mm), specimen CR3-1 shows better ductility, with its ductility coefficient increasing by 57.1% and 51.7%, respectively. This indicates that for the parameters used in this paper when the steel bar truss node spacing is reduced to 140 mm, the ductility of the cross-shaped CFST stub column with steel bar truss stiffening can be significantly improved.
- Upon comparing the design code methods with the test results, both EC4 (2004) and CECS 159-2018 are in good agreement with the test results. The former provides a safe prediction within 1%, and the latter provides a safe prediction within 3%. Therefore, based on the parameters in this paper, Eurocode 4 (2004) and Chinese code CECS159-2018 are recommended for the prediction of the axial bearing capacity of cross-shaped CFST stub columns with steel bar truss stiffening.
Author Contributions
Funding
Institutional Review Board Statement
Informed Consent Statement
Data Availability Statement
Conflicts of Interest
References
- Han, L.; Li, W.; Bjorhovde, R. Developments and advanced applications of concrete-filled steel tubular (CFST) structures: Members. J. Constr. Steel Res. 2014, 100, 211–228. [Google Scholar] [CrossRef]
- Mostafa, M.M.A.; Wu, T.; Liu, X.; Fu, B. The Composite Steel Reinforced Concrete Column Under Axial and Seismic Loads: A Review. Int. J. Steel Struct. 2019, 19, 1969–1987. [Google Scholar] [CrossRef]
- Lei, M.; Shen, Z.; Li, Y.; Luo, J. State-of-the-art of concrete-filled specially shaped steel tubes. Struct. Eng. 2013, 29, 155–163. (In Chinese) [Google Scholar]
- Yang, Y.; Wang, Y.; Zhang, S. Experimental research on seismic behavior of T shaped concrete-filled steel tube columns with reinforcement stiffeners. J. Build. Struct. 2012, 33, 104–112. (In Chinese) [Google Scholar]
- Yang, Y.; Yang, H.; Zhang, S. Compressive behavior of T-shaped concrete filled steel tubular columns. Int. J. Steel Struct. 2010, 10, 419–430. [Google Scholar] [CrossRef]
- Liu, J.; Yang, Y.; Song, H.; Wang, Y. Numerical analysis on seismic behaviors of T-shaped concrete-filled steel tubular columns with reinforcement stiffeners. Adv. Struct. Eng. 2018, 21, 1273–1287. [Google Scholar] [CrossRef]
- Yang, Y.; Wang, Y.; Fu, F.; Liu, J. Static behavior of T-shaped concrete-filled steel tubular columns subjected to concentric and eccentric compressive loads. Thin-Walled Struct. 2015, 95, 374–388. [Google Scholar] [CrossRef]
- Zuo, Z.; Cai, J.; Yang, C.; Chen, Q.; Sun, G. Axial load behavior of L-shaped CFT stub columns with binding bars. Eng. Struct. 2012, 37, 88–98. [Google Scholar] [CrossRef]
- Zuo, Z.; Cai, J.; Chen, Q.; Liu, X.; Yang, C.; Mo, T.-W. Performance of T-shaped CFST stub columns with binding bars under axial compression. Thin-Walled Struct. 2018, 129, 183–196. [Google Scholar] [CrossRef]
- Lee, H.J.; Choi, I.R.; Park, H.G. Eccentric Compression Strength of Rectangular Concrete-Filled Tubular Columns Using High-Strength Steel Thin Plates. J. Struct. Eng. 2017, 143, 04016228. [Google Scholar] [CrossRef]
- Zheng, Y.; Lai, P. Experimental behavior of T-shaped concrete-filled steel tubular columns under diagonal cyclic loading. J. Constr. Steel Res. 2020, 169, 106037. [Google Scholar] [CrossRef]
- Zheng, Y.; Zeng, S. Design of L-shaped and T-shaped concrete-filled steel tubular stub columns under axial compression. Eng. Struct. 2020, 207, 110262. [Google Scholar] [CrossRef]
- Lin, Z.; Shen, Z.; Luo, J.; Zhang, J. Study on behavior of L-shaped concrete-filled steel tube stubs subjected to axial-compression. Prog. Steel Build. Struct. 2009, 11, 14–19. (In Chinese) [Google Scholar]
- Liu, X.; Xu, C.; Liu, J.; Yang, Y. Research on special-shaped concrete-filled steel tubular columns under axial compression. J. Constr. Steel Res. 2018, 147, 203–223. [Google Scholar] [CrossRef]
- Hassam, M.; Guo, L.; Wang, Y. Experimental and numerical investigation of cross-shaped stub CFSTs under axial compression. Mag. Concr. Res. 2021, 73, 1225–1240. [Google Scholar] [CrossRef]
- Wang, F.-C.; Han, L.-H. Analytical behavior of special-shaped CFST stub columns under axial compression. Thin-Walled Struct. 2018, 129, 404–417. [Google Scholar] [CrossRef]
- Tao, Z.; Hasan, M.M.; Han, D.; Qin, Q.; Abdul Ghafar, W. Study of the Axial Compressive Behaviour of Cross-Shaped CFST and ST Columns with Inner Changes. Buildings 2023, 13, 423. [Google Scholar] [CrossRef]
- Cheng, R.; Hu, C.; Gong, M.; Wang, Y. Behaviors of improved multi-cell T-shaped concrete-filled steel tubular columns under eccentric loads. J. Constr. Steel Res. 2022, 193, 107251. [Google Scholar] [CrossRef]
- Tu, Y.; Shen, Y.; Zeng, Y.; Ma, L. Hysteretic behavior of multi-cell T- Shaped concrete-filled steel tubular columns. Thin-Walled Struct. 2014, 85, 106–116. [Google Scholar] [CrossRef]
- Tu, Y.Q.; Shen, Y.F.; Li, P. Behaviour of multi-cell composite T-shaped concrete-filled steel tubular columns under axial compression. Thin-Walled Struct. 2014, 85, 57–70. [Google Scholar] [CrossRef]
- Zheng, Y.; Yang, S.; Lai, P. Hysteretic behavior of multi-cell L-shaped concrete-filled steel tubular columns at different loading angles. Eng. Struct. 2020, 202, 109887. [Google Scholar] [CrossRef]
- Han, L.; Yao, G.; Zhao, X. Tests and calculations for hollow structural steel (HSS) stub columns filled with self-consolidating concrete (SCC). J. Constr. Steel Res. 2005, 61, 1241–1269. [Google Scholar] [CrossRef]
- Tao, Z.; Han, L.; Wang, Z. Experimental behaviour of stiffened concrete-filled thin-walled hollow steel structural (HSS) stub columns. J. Constr. Steel Res. 2005, 61, 962–983. [Google Scholar] [CrossRef]
- GB/T 50081-2019; Ministry of Housing and Urban-Rural Development of the People’s Republic of China, Standard for Test Method of Concrete Physical and Mechanical Properties. China Architecture & Building Press: Beijing, China, 2019.
- GB/T 228.1-2010; Metallic Materials—Tensile Testing—Part 1: Method of Test at Room Temperature. General Adminstration of Quality Supervision, Inspection and Quarantine of China: Beijing, China, 2010.
- Zhang, S.; Guo, L.; Ye, Z.; Wang, Y. Behavior of Steel Tube and Confined High Strength Concrete for Concrete-Filled RHS Tubes. Adv. Struct. Eng. 2005, 8, 101–116. [Google Scholar] [CrossRef]
- EN 1994-1-1; Eurocode 4. Design of Composite Steel and Concrete Structures—Part 1-1: General Rules and Rules for Buildings. European Committee for Standardization (CEN): Brussels, Belgium, 2004.
- ANSI/AISC 360-10; Specification for Structural Steel Buildings. American Institute of Steel Construction: Chicago, IL, USA, 2010.
- BS 5400-5; Steel, Concrete and Composite Bridges. Part 5: Code for Practice for the Design of Composite Bridges. BSI: London, UK, 2005.
- GB 50936-2014; Technical Code for Concrete-Filled Steel Tubular Structures. Architecture Industry Press of China: Beijing, China, 2010.
- DBJ/T 13-51-2010; Technical Specification for Concrete-Filled Steel Tubular Structures. Department of Housing and Urban: Fujian, China, 2010.
- CECS 159; Technical Specification for Structures with Concrete-Filled Rectangular Steel Tube Members. China Planning Press: Beijing, China, 2004.




















| Specimen | t (mm) | s (mm) | α1 (%) | α2 (%) | α (%) | N0 (kN) | Nu (kN) | SI | ε0.75 (10−3) | ε0.85 (10−3) | DI |
|---|---|---|---|---|---|---|---|---|---|---|---|
| C0 | 3.50 | — | 8.24 | — | 8.24 | 4752 | 4604 | 0.97 | 1359 | 3141 | 2.31 |
| CR1-1 | 3.50 | 280 | 8.24 | 0.42 | 8.66 | 4752 | 4740 | 1.00 | 1330 | 3810 | 2.86 |
| CR1-2 | 3.50 | 280 | 8.24 | 0.42 | 8.66 | 4752 | 4646 | 0.98 | 1289 | 3802 | 2.95 |
| CR2-1 | 3.50 | 200 | 8.24 | 0.49 | 8.73 | 4752 | 4783 | 1.01 | 1534 | 4479 | 2.92 |
| CR2-2 | 3.50 | 200 | 8.24 | 0.49 | 8.73 | 4752 | 4893 | 1.03 | 1477 | 3995 | 2.70 |
| CR3-1 | 3.50 | 140 | 8.24 | 0.57 | 8.81 | 4752 | 4917 | 1.03 | 1569 | 6921 | 4.41 |
| CR3-2 | 3.50 | 140 | 8.24 | 0.57 | 8.81 | 4752 | 4755 | 1.00 | 1569 | 6900 | 4.40 |
| CR4-1 | 5.35 | 200 | 13.17 | 0.54 | 13.71 | 5210 | 5498 | 1.06 | 1400 | 5245 | 3.75 |
| CR4-2 | 5.35 | 200 | 13.17 | 0.54 | 13.71 | 5210 | 5597 | 1.07 | 1424 | 4922 | 3.46 |
| CR5-1 | 5.35 | 140 | 13.17 | 0.62 | 13.79 | 5210 | 5602 | 1.08 | 1433 | 8646 | 6.03 |
| CR5-2 | 5.35 | 140 | 13.17 | 0.62 | 13.79 | 5210 | 5543 | 1.06 | 1634 | 9612 | 5.88 |
| CM6 | 3.50 | — | 10.29 | — | 10.29 | 5548 | 6000 | 1.08 | 1939 | 7754 | 4.00 |
| Steel | fy (MPa) | fu (MPa) | Es (GPa) | μs |
|---|---|---|---|---|
| Steel plate (3.50 mm) | 313.1 | 455.5 | 205 | 0.282 |
| Steel plate (5.35 mm) | 278.0 | 441.9 | 195 | 0.284 |
| Steel bar (8 mm) | 539.4 | 600.0 | 203 | 0.291 |
| Specimen | σc, max (MPa) | Nσ0/Nu | σt, Nu (MPa) | σt, N0.85 (MPa) |
|---|---|---|---|---|
| CR1-1 | 83.7 | 1 | 0 | 459.1 |
| CR2-1 | 37.4 | 0.92 | 396.3 | 577.3 |
| CR3-1 | 8.9 | 0.65 | 320.8 | 492.7 |
| CR4-1 | 72.8 | 0.98 | 41.9 | 520.0 |
| CR5-1 | 12.4 | 0.86 | 164.3 | 570.7 |
| Specimens | The Compressive Strength fc (MPa) | The Average Longitudinal Stress σ (MPa) | Increase in Percentage |
|---|---|---|---|
| C0 | 46.6 | 44.9 | −3.7% |
| CR1-1 | 46.6 | 47.9 | 2.9% |
| CR2-1 | 46.6 | 47.8 | 2.6% |
| CR3-1 | 46.6 | 49.2 | 5.7% |
| CR4-1 | 46.6 | 48.1 | 3.2% |
| CR5-1 | 46.6 | 49.5 | 6.2% |
| Specimen | T (mm) | S (mm) | Nu (kN) | NEC4/Nu | NAISC/Nu | NBS/Nu | NGB/Nu | NDBJ/Nu | NCECS/Nu |
|---|---|---|---|---|---|---|---|---|---|
| CR1-1 | 3.5 | 280 | 4740 | 1.03 | 0.92 | 0.93 | 1.10 | 1.15 | 1.00 |
| CR1-2 | 3.5 | 280 | 4646 | 1.05 | 0.94 | 0.95 | 1.12 | 1.18 | 1.02 |
| CR2-1 | 3.5 | 200 | 4783 | 1.02 | 0.92 | 0.92 | 1.09 | 1.14 | 0.99 |
| CR2-2 | 3.5 | 200 | 4893 | 0.99 | 0.89 | 0.90 | 1.06 | 1.12 | 0.97 |
| CR3-1 | 3.5 | 140 | 4917 | 0.99 | 0.89 | 0.89 | 1.06 | 1.11 | 0.97 |
| CR3-2 | 3.5 | 140 | 4755 | 1.02 | 0.92 | 0.92 | 1.10 | 1.15 | 1.00 |
| CR4-1 | 5.35 | 200 | 5498 | 0.97 | 0.88 | 0.94 | 1.01 | 1.11 | 0.95 |
| CR4-2 | 5.35 | 200 | 5597 | 0.95 | 0.87 | 0.92 | 1.00 | 1.09 | 0.93 |
| CR5-1 | 5.35 | 140 | 5602 | 0.95 | 0.87 | 0.92 | 1.00 | 1.09 | 0.93 |
| CR5-2 | 5.35 | 140 | 5543 | 0.96 | 0.87 | 0.93 | 1.01 | 1.10 | 0.94 |
| Mean value | 0.99 | 0.90 | 0.92 | 1.05 | 1.12 | 0.97 | |||
| COV (Coefficient of variation) | 0.035 | 0.029 | 0.017 | 0.045 | 0.027 | 0.034 | |||
Disclaimer/Publisher’s Note: The statements, opinions and data contained in all publications are solely those of the individual author(s) and contributor(s) and not of MDPI and/or the editor(s). MDPI and/or the editor(s) disclaim responsibility for any injury to people or property resulting from any ideas, methods, instructions or products referred to in the content. |
© 2023 by the authors. Licensee MDPI, Basel, Switzerland. This article is an open access article distributed under the terms and conditions of the Creative Commons Attribution (CC BY) license (https://creativecommons.org/licenses/by/4.0/).
Share and Cite
Tao, Y.; Gong, C.; Zhang, S.; Li, X.; Tan, X.; Hu, J. Axial Compressive Behavior of Cross-Shaped CFST Stub Columns with Steel Bar Truss Stiffening. Materials 2023, 16, 4147. https://doi.org/10.3390/ma16114147
Tao Y, Gong C, Zhang S, Li X, Tan X, Hu J. Axial Compressive Behavior of Cross-Shaped CFST Stub Columns with Steel Bar Truss Stiffening. Materials. 2023; 16(11):4147. https://doi.org/10.3390/ma16114147
Chicago/Turabian StyleTao, Yu, Chao Gong, Sumei Zhang, Xiaozhong Li, Xiao Tan, and Junjie Hu. 2023. "Axial Compressive Behavior of Cross-Shaped CFST Stub Columns with Steel Bar Truss Stiffening" Materials 16, no. 11: 4147. https://doi.org/10.3390/ma16114147
APA StyleTao, Y., Gong, C., Zhang, S., Li, X., Tan, X., & Hu, J. (2023). Axial Compressive Behavior of Cross-Shaped CFST Stub Columns with Steel Bar Truss Stiffening. Materials, 16(11), 4147. https://doi.org/10.3390/ma16114147
