Electron Beam-Assisted Synthesis of YAG:Ce Ceramics
Abstract
1. Introduction
2. Materials and Methods
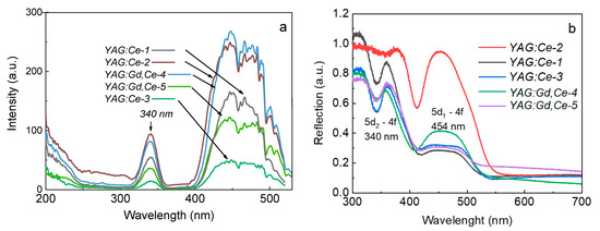
3. Results and Discussion
4. Conclusions
Author Contributions
Funding
Institutional Review Board Statement
Informed Consent Statement
Data Availability Statement
Conflicts of Interest
References
- George, N.C.; Denault, K.A.; Seshadri, R. Phosphors for solid-state white lighting. Annual Rev. Mater. Res. 2013, 43, 481–501. [Google Scholar] [CrossRef]
- Narukawa, Y.M.; Ichikawa, M.; Sanga, D.; Sano, M.; Mukai, T. White light emitting diodes with super-high luminous efficacy. J. Physics D—Appl. Phys. 2010, 43, 354002. [Google Scholar] [CrossRef]
- Qiao, J.; Zhao, J.; Liu, Q.; Xia, Z. Recent advances in solid-state LED phosphors with thermally stable luminescence. J. Rare Earths 2019, 37, 565–572. [Google Scholar] [CrossRef]
- Lisitsyn, V.M.; Tulegenova, A.T.; Lisitsyna, L.A.; Vaganov, V.A.; Soshchin, N.P.; Polisadova, E.F.; Abdullin, K.A.; Yangyang, J. Photo and cathodoluminescence of commercial YAG:Ce based phosphors in UV region. Nucl. Instrum. Methods Phys. Res. Sect. B Beam Interact. Mater. At. 2020, 478, 120–124. [Google Scholar] [CrossRef]
- Yoshikawa, A.; Kamada, K.; Kurosawa, S.; Shoji, Y.; Yokota, Y.; Chani, V.I.; Nikl, M. Crystal growth and scintillation properties of multi-component oxide single crystals: Ce:GGAG and Ce:La-GPS. J. Lumin. 2016, 169, 387–393. [Google Scholar] [CrossRef]
- Osipov, V.V.; Ishchenko, A.V.; Shitov, V.A.; Maksimov, R.N.; Lukyashin, K.E.; Platonov, V.V.; Orlov, A.N.; Osipov, S.N.; Yagodin, V.V.; Viktorov, L.V. Fabrication, optical and scintillation properties of transparent YAG:Ce. Opt. Mater. 2017, 71, 98–102. [Google Scholar] [CrossRef]
- Chen, L.; O’Keeffe, S.; Chen, S.; Woulfe, P.; Gillespie, S.; Jiang, B.; Lewis, E. Investigation of YAG:Ce-Based Optical Fibre Sensor for Use in Ultra-Fast External Beam Radiotherapy Dosimetry. J. Light. Technol. 2019, 37, 4741–4747. [Google Scholar] [CrossRef]
- Kulkarni, M.S.; Muthe, K.P.; Rawat, N.S.; Mishra, D.R.; Kakade, M.B.; Ramanathan, S.; Gupta, S.K.; Bhatt, B.C.; Yakhmi, J.V.; Sharma, D.N. Carbon doped yttrium aluminum garnet (YAG:Ce)—A new phosphor for radiation dosimetry. Radiat. Meas. 2008, 43, 492–496. [Google Scholar] [CrossRef]
- Liu, Y.; Wang, T.; Nie, Y.; Xu, L.; Zhang, M. Microstructures, optical properties and application in WLEDs of large size YAG:Ce3+-Al2O3 eutectic grown by HDS method. J. Alloy. Compd. 2019, 782, 348–354. [Google Scholar] [CrossRef]
- Choe, J.Y. Luminescence and compositional analysis of Y3Al5O12:Ce films fabricated by pulsed-laser deposition. J. Mat. Res. Innov. 2002, 6, 238–241. [Google Scholar] [CrossRef]
- Veith, M.; Mathur, S.; Kareiva, A.; Jilavi, M.; Zimmer, M.; Huch, V. Low temperature synthesis of nanocrystalline Y3Al5O12 (YAG) and Ce-doped Y3Al5O12 via different sol–gel methods. J. Mater. Chem. 1999, 9, 3069–3079. [Google Scholar] [CrossRef]
- Katelnikovas, A.; Vitta, P.; Pobedinskas, P.; Tamulaitis, G.; Žukauskas, A.; Jørgensen, J.E.; Kareiva, A. Photoluminescence in sol–gel-derived YAG: Ce phosphors. J. Cryst. Growth 2007, 304, 361–368. [Google Scholar] [CrossRef]
- Katelnikovas, A.; Barkauskas, J.; Ivanauskas, F.; Beganskiene, A.; Kareiva, A. Aqueous sol-gel synthesis route for the preparation of YAG: Evaluation of sol-gel process by a mathematical regression model. J. Sol-Gel Sci. Technol. 2007, 41, 193–201. [Google Scholar] [CrossRef]
- Garskaite, E.; Jasaitis, D.; Kareiva, A. Sol-gel preparation and electrical behaviour of Ln: YAG (Ln = Ce, Nd, Ho, Er). J. Serb. Chem. Soc. 2003, 68, 677–684. [Google Scholar] [CrossRef]
- Skaudžius, R.; Enseling, D.; Skapas, M.; Selskis, A.; Pomjakushina, E.; Jüstel, T.; Kareiva, A.; Rüegg, C. Europium–enabled luminescent single crystal and bulk YAG and YGG for optical imaging. Opt. Mater. 2016, 60, 467–473. [Google Scholar] [CrossRef]
- Mackevičius, M.; Ivanauskas, F.; Kareiva, A.; Jasaitis, D. A closer look at the computer modeling and sintering optimization in the preparation of YAG. J. Math. Chem. 2012, 50, 2291–2302. [Google Scholar] [CrossRef]
- Pankratov, V.; Shirmane, L.; Chudoba, T.; Gluchowski, P.; Hreniak, D.; Strek, W.; Lojkowski, W. Peculiarities of luminescent properties of cerium doped YAG transparent nanoceramics. Radiat. Meas. 2010, 45, 392–394. [Google Scholar] [CrossRef]
- Pankratov, V.; Grigorjeva, L.; Millers, D.; Chudoba, T.; Fedyk, R.; Łojkowski, W. Time-resolved luminescence characteristics of cerium doped YAG nanocrystals. Solid State Phenom. 2007, 128, 173–178. [Google Scholar] [CrossRef]
- Chaika, M.A.; Tomala, R.; Strek, W. Infrared laser stimulated broadband white emission of transparent Cr: YAG ceramics obtained by solid state reaction sintering. Opt. Mater. 2021, 111, 110673. [Google Scholar] [CrossRef]
- Alekseeva, L.; Nokhrin, A.; Boldin, M.; Lantsev, E.; Murashov, A.; Orlova, A.; Chuvil’deev, V. Study of the hydrolytic stability of fine-grained ceramics based on Y2.5Nd0.5Al5O12 oxide with a garnet structure under hydrothermal conditions. Materials 2021, 14, 2152. [Google Scholar] [CrossRef]
- Grigoreva, T.F.; Tolochko, B.P.; Logachev, P.V.; Ancharov, A.I.; Vosmerikov, S.V.; Devyatkina, E.T.; Lyakhov, N.Z. Synthesis of hafnium carbide by mechanochemistry and irradiation. Russ. Metall. 2017, 8, 660–663. [Google Scholar] [CrossRef]
- Ancharov, A.I.; Vosmerikov, S.V.; Grigoreva, T.F.; Kosachev, M.Y.; Semenov, Y.I. Studying the Possibility of Obtaining High-Temperature Composites via Mechanochemical and Electron-Beam Treatment. Bull. Russ. Acad. Sci. Phys. 2018, 82, 877–879. [Google Scholar] [CrossRef]
- Ancharov, A.I.; Grigoreva, T.F.; Grachev, G.N.; Smirnov, A.L. The Possibility of Obtaining Products from Melted Hafnium Carbide by Treating a Hafnium/Carbon Mechanical Composite with a High-Intensity Photon Flux. Bull. Russ. Acad. Sci. Phys. 2019, 83, 661–664. [Google Scholar] [CrossRef]
- Pan, Y.; Wu, M.; Su, Q. Comparative investigation on synthesis and photoluminescence of YAG: Ce phosphor. Mater. Sci. Eng. B 2004, 106, 251–256. [Google Scholar] [CrossRef]
- Ye, S.; Xiao, F.; Pan, Y.X.; Ma, Y.Y.; Zhang, Q.Y. Phosphors in phosphor-converted white light-emitting diodes: Recent advances in materials, techniques and properties. Mater. Sci. Eng. R Rep. 2010, 71, 1–34. [Google Scholar] [CrossRef]
- Lin, C.C.; Liu, R.-S. Advances in phosphors for light-emitting diodes. J. Phys. Chem. Lett. 2011, 2, 1268–1277. [Google Scholar] [CrossRef]
- Kareiva, A. Aqueous sol-gel synthesis methods for the preparation of garnet crystal structure compounds. Mater. Sci. 2011, 17, 428–436. [Google Scholar] [CrossRef]
- Yadav, P.; Gupta KV, K.; Muley, A.; Joshi, C.P.; Moharil, S.V. One step combustion synthesis of YAG: Ce phosphor for solid state lighting. AIP Conf. Proc. 2011, 1391, 200–202. [Google Scholar]
- Lee, Y.W.; Wu, S.H. Fabrication and performance assessment of coprecipitation-based YAG: Ce nanopowders for white LEDs. Microelectron. Eng. 2018, 199, 24–30. [Google Scholar] [CrossRef]
- Chen, Y.C.; Nien, Y.T. Microstructure and photoluminescence properties of laser sintered YAG: Ce phosphor ceramics. J. Eur. Ceram. Soc. 2017, 37, 223–227. [Google Scholar] [CrossRef]
- Kruk, A.; Madej, D. Structural properties and Faraday effect of arc melted magnesia transparent polycrystal. Opt. Mater. 2020, 108, 110245. [Google Scholar] [CrossRef]
- Liu, X.; Qian, X.; Zheng, P.; Chen, X.; Feng, Y.; Shi, Y.; Zou, J.; Xie, R.; Li, J. Composition and structure design of three-layered composite phosphors for high color rendering chip-on-board light-emitting diode devices. J. Adv. Ceram. 2021, 10, 729–740. [Google Scholar] [CrossRef]
- Zhu, Q.Q.; Li, S.; Yuan, Q.; Zhang, H.; Wang, L. Transparent YAG: Ce ceramic with designed low light scattering for high-power blue LED and LD applications. J. Eur. Ceram. Soc. 2021, 41, 735–740. [Google Scholar] [CrossRef]
- Klym, H.; Karbovnyk, I.; Piskunov, S.; Popov, A.I. Positron Annihilation Lifetime Spectroscopy Insight on Free Volume Conversion of Nanostructured MgAl2O4 Ceramics. Nanomaterials 2021, 11, 3373. [Google Scholar] [CrossRef]
- Karipbayev, Z.; Lisitsyn, V.; Mussakhanov, D.; Alpyssova, G.; Popov, A.; Polisadova, E.; Elsts, E.; Akilbekov, A.; Kukenova, A.; Kemere, M.; et al. Time-resolved luminescence of YAG: Ce and YAGG: Ce ceramics prepared by electron beam assisted synthesis. Nuclear Inst. Methods Phys. Res. B 2020, 479, 222–228. [Google Scholar] [CrossRef]
- Mussakhanov, D.A.; Tulegenova, A.T.; Lisitsyn, V.M.; Golkovsky, M.G.; A Lisitsyna, L.; A Abdullin, K.; Aitzhanov, M.B.; Karipbayev, Z.; Kozlovsky, A.; Michailov, Y.I. Structural and luminescent characteristics of YAG phosphors synthesized in the radiation field. IOP Conf. Ser. Mater. Sci. Eng. 2019, 510, 012031. [Google Scholar] [CrossRef]
- Shi, H.; Zhu, C.; Huang, J.; Chen, J.; Chen, D.; Wang, W.; Wang, F.; Cao, Y.; Yuan, X. Luminescence properties of YAG:Ce, Gd phosphors synthesized under vacuum conditions and their white LED performances. Optical Mater. Express 2014, 4, 649–655. [Google Scholar] [CrossRef]
- Shao, Q.; Li, H.; Dong, Y.; Jiang, J.; Liang, C.; He, J. Temperature-dependent photoluminescence studies on Y2.93-xLnxAl5O12:Ce0.07 (Ln=Gd, La) phosphors for white LEDs application. J. Alloy. Comp. 2010, 498, 199–202. [Google Scholar] [CrossRef]
- Polisadova, E.; Valiev, D.; Vaganov, V.; Oleshko, V.; Tao, H.; Zhang, C.; Burachenko, A.; Popov, A.I. Time-resolved cathodoluminescence spectroscopy of YAG and YAG:Ce3+ phosphors. Opt. Mater. 2019, 96, 109289. [Google Scholar] [CrossRef]
- Lisitsyn, V.; Lisitsyna, L.; Tulegenova, A.; Ju, Y.; Polisadova, E.; Lipatov, E.; Vaganov, V. Nanodefects in YAG: Ce-Based Phosphor Microcrystals. Crystals 2019, 9, 476. [Google Scholar] [CrossRef]
- Dorenbos, P. 5d-level energies of Ce3+ and the crystalline environment. IV. Aluminates and «simple» oxides. J. Lumin. 2002, 99, 283–299. [Google Scholar] [CrossRef]
- Tomiki, T.; Fukudome, F.; Kaminao, M.; Fujisawa, M.; Tanahara, Y.; Futemma, T. Optical spectra of Y3Al5O12 (YAG) single crystals in the vacuum ultraviolet region. J. Phys. Soc. Jpn. 1989, 58, 1801–1810. [Google Scholar] [CrossRef]
- Kučera, M.; Kolobanov, V.N.; Mikhailin, V.V.; Orekhanov, P.A.; Makhov, V.N. Reflection Spectra of some garnet and orthoferrite single crystals in vacuum ultraviolet. Phys. Status Solidi (B) 1990, 157, 745–752. [Google Scholar] [CrossRef]
- Springis, M.; Pujats, A.; Valbis, J. Polarization of luminescence of colour centres in YAG crystals. J. Phys. Condens. Matter 1991, 3, 5457. [Google Scholar] [CrossRef]
- Pujats, A.; Springis, M. The F-type centres in YAG crystals. Radiat. Eff. Defects Solids 2001, 155, 65–69. [Google Scholar] [CrossRef]
- Mironova-Ulmane, N.; Popov, A.I.; Antuzevics, A.; Krieke, G.; Elsts, E.; Vasil’chenko, E.; Sildos, I.; Puust, L.; Ubizskii, S.B.; Sugak, D.; et al. EPR and optical spectroscopy of neutron-irradiated Gd3Ga5O12 single crystals. Nucl. Instrum. Methods Phys. Res. Sect. B Beam Interact. Mater. At. 2020, 480, 22–26. [Google Scholar] [CrossRef]
- Mironova-Ulmane, N.; Sildos, I.; Vasil’chenko, E.; Chikvaidze, G.; Skvortsova, V.; Kareiva, A.; Muñoz-Santiuste, J.E.; Pareja, R.; Elsts, E.; Popov, A.I. Optical absorption and Raman studies of neutron-irradiated Gd3Ga5O12 single crystals. Nucl. Instrum. Methods Phys. Res. Sect. B Beam Interact. Mater. At. 2018, 435, 306–312. [Google Scholar] [CrossRef]
- Karipbayev, Z.T.; Kumarbekov, K.; Manika, I.; Dauletbekova, A.; Kozlovskiy, A.L.; Sugak, D.; Ubizskii, S.B.; Akilbekov, A.; Suchikova, Y.; Popov, A.I. Optical, Structural, and Mechanical Properties of Gd3Ga5O12 Single Crystals Irradiated with 84Kr+ Ions. Phys. Status Solidi B 2022, 259, 2100415. [Google Scholar] [CrossRef]
- Grigorjeva, L.; Millers, D.; Smits, K.; Sarakovskis, A.; Lojkowski, W.; Swiderska-Sroda, A.; Strek, W.; Gluchowski, P. The time-resolved luminescence characteristics of Ce and Ce/Pr doped YAG ceramics obtained by high pressure technique. Opt. Mater. 2012, 34, 986–989. [Google Scholar] [CrossRef]
- Zorenko, Y.; Gorbenko, V.; Savchyn, V.; Vozniak, T.; Puzikov, V.; Danko, A.; Nizhankovski, S. Time-resolved luminescent spectroscopy of YAG:Ce single crystal and single crystalline films. Radiat. Meas. 2010, 45, 395–397. [Google Scholar] [CrossRef]
- Tulegenova, A.T.; Lisitsyn, V.M.; Abdullin, K.; Guseinov, N.R. Nanodefects on Microcrystals of YAG-Based Phosphors. Bull. Russ. Acad. Sci. Phys. 2019, 83, 296–299. [Google Scholar] [CrossRef]
- Mussakhanov, D.A.; Tulegenova, A.T.; Lisitsyn, V.M.; Golkovski, M.G.; Karipbayev, Z.T.; Kupchishin, A.I.; Stepanov, S.A. Effect of Annealing on the Luminescence of YAG:Ce and YAGG:Ce Ceramics Synthesized in a Radiation Field. Bull. Russ. Acad. Sci. Phys. 2020, 84, 799–802. [Google Scholar] [CrossRef]
- Pankratov, V.; Grigorjeva, L.; Millers, D.; Chudoba, T. Luminescence of cerium doped YAG nanopowders. Radiat. Meas. 2007, 42, 679–682. [Google Scholar] [CrossRef]
- Pankratov, V.; Grigorjeva, L.; Chernov, S.; Chudoba, T.; Lojkowski, W. Luminescence properties and energy transfer processes in nanosized cerium doped YAG. IEEE Trans. Nucl. Sci. 2008, 55, 1509–1513. [Google Scholar] [CrossRef]
- Shirmane, L.; Pankratov, V. Emerging blue-UV luminescence in cerium doped YAG nanocrystals. Phys. Status Solidi (RRL)–Rapid Res. Lett. 2016, 10, 475–479. [Google Scholar] [CrossRef]
- Pankratov, V.; Pankratova, V.; Popov, A.I. Luminescence and vacuum ultraviolet excitation spectroscopy of nanophosphors under synchrotron irradiation. Phys. Status Solidi 2022, 259, 2100475. [Google Scholar] [CrossRef]
- Mussakhanov, D.A.; Lisitsyn, V.M.; Golkovskii, M.G. Distribution in the material of the absorbed energy of a space-limited beam flow of high-energy electrons. In Proceedings of the 8th International Congress on Energy Fluxes and Radiation Effects (EFRE–2022), Tomsk, Russia, 2–8 October 2022. [Google Scholar] [CrossRef]
- Chao, A.W.; Mess, K.H. Handbook of Accelerator Physics and Engineering; World Scientific: Singapore, 2013. [Google Scholar]





| Sample | Composition |
|---|---|
| 1. YAG:Ce | Al2O3 (59.5%) + Y2O3 (35.7%) + Ce2O3 (4.8%) |
| 2. YAG:Ce | Al2O3 (59.5%) + Y2O3 (35.7%) + Ce2O3 (4.8%) |
| 3. YAG:Ce | Al2O3 (59.5%) + Y2O3 (35.7%) + Ce2O3 (4.8%) |
| 4. YAG:Ce,Gd | Al2O3 (59.5%) + Y2O3 (23.8%) + Gd2O3 (11.9%) + Ce2O3 (4.8%) |
| 5. YAG:Ce,Gd | Al2O3 (59.5%) + Y2O3 (23.8%) + Gd2O3 (11.9%) + Ce2O3 (4.8%) |
| Sample | Phase | Cell Parameter, Å | Crystallite Size, nm | Crystallinity,% | Phase Content, % |
|---|---|---|---|---|---|
| 1. YAG:Ce | Y3Al5O12-Cubic Ia-3d(230) | a = 12.01313 | 46.1 | 86.3 | 91.2 |
| Al2O3-Rhombo.H.axes-R-3c(167) | a = 4.76400, c = 12.99785 | 44.4 | 8.8 | ||
| 2. YAG:Ce | Y3Al5O12-Cubic Ia-3d(230) | a = 11.96366 | 48.3 | 91.1 | 82.4 |
| Al2O3-Rhombo.H.axes-R-3c(167) | a = 4.80604, c = 13.04118 | 44.7 | 14.9 | ||
| 3. YAG:Ce | Y3Al5O12-Cubic Ia-3d(230) | a = 11.91594 | 48.5 | 86.3 | 100 |
| 4. YAG:Ce,Gd | Y3Al5O12-Cubic Ia-3d(230) | a = 11.95920 | 28.7 | 88.1 | 83.0 |
| Al2O3-Rhombo.H.axes-R-3c(167) | a = 4.72784, c = 12.93445 | 42.9 | 17.0 | ||
| 5. YAG:Ce, Gd | Y3Al5O12-Cubic Ia-3d(230) | a = 12.02285 | 46.3 | 86.3 | 78.5 |
| Al2O3-Rhombo.H.axes-R-3c(167) | a = 4.76239, c = 13.02897 | 44.3 | 21.5 |
| Sample # | Electron Flux Power, kW/cm2 | λexc = 450 nm | λ exc = 340 nm | ||
|---|---|---|---|---|---|
| λmax | ΔE, eV | λmax | ΔE, eV | ||
| 25 | 539 | 0.407 | 538 | 0.413 |
| 22 | 542 | 0.389 | 542 | 0.391 |
| 22 | 538 | 0.391 | 538 | 0.396 |
| 25 | 553 | 0.410 | 553 | 0.413 |
| 22 | 553 | 0.395 | 554 | 0.393 |
| Sample # | Electron Flux Power, kW/cm2 | τ, ns |
|---|---|---|
| 1. YAG:Ce | 25 | 59.6 |
| 2. YAG:Ce | 22 | 58.0 |
| 3. YAG:Ce | 22 | 59.0 |
| 4. YAG:Ce, Gd | 25 | 59.0 |
| 5. YAG:Ce, Gd | 22 | 60.2 |
Disclaimer/Publisher’s Note: The statements, opinions and data contained in all publications are solely those of the individual author(s) and contributor(s) and not of MDPI and/or the editor(s). MDPI and/or the editor(s) disclaim responsibility for any injury to people or property resulting from any ideas, methods, instructions or products referred to in the content. |
© 2023 by the authors. Licensee MDPI, Basel, Switzerland. This article is an open access article distributed under the terms and conditions of the Creative Commons Attribution (CC BY) license (https://creativecommons.org/licenses/by/4.0/).
Share and Cite
Karipbayev, Z.T.; Lisitsyn, V.M.; Golkovski, M.G.; Zhilgildinov, Z.S.; Popov, A.I.; Zhunusbekov, A.M.; Polisadova, E.; Tulegenova, A.; Mussakhanov, D.A.; Alpyssova, G.; et al. Electron Beam-Assisted Synthesis of YAG:Ce Ceramics. Materials 2023, 16, 4102. https://doi.org/10.3390/ma16114102
Karipbayev ZT, Lisitsyn VM, Golkovski MG, Zhilgildinov ZS, Popov AI, Zhunusbekov AM, Polisadova E, Tulegenova A, Mussakhanov DA, Alpyssova G, et al. Electron Beam-Assisted Synthesis of YAG:Ce Ceramics. Materials. 2023; 16(11):4102. https://doi.org/10.3390/ma16114102
Chicago/Turabian StyleKaripbayev, Zhakyp T., Victor M. Lisitsyn, Mikhail G. Golkovski, Zhassulan S. Zhilgildinov, Anatoli I. Popov, Amangeldy M. Zhunusbekov, Elena Polisadova, Aida Tulegenova, Dossymkhan A. Mussakhanov, Gulnur Alpyssova, and et al. 2023. "Electron Beam-Assisted Synthesis of YAG:Ce Ceramics" Materials 16, no. 11: 4102. https://doi.org/10.3390/ma16114102
APA StyleKaripbayev, Z. T., Lisitsyn, V. M., Golkovski, M. G., Zhilgildinov, Z. S., Popov, A. I., Zhunusbekov, A. M., Polisadova, E., Tulegenova, A., Mussakhanov, D. A., Alpyssova, G., & Piskunov, S. (2023). Electron Beam-Assisted Synthesis of YAG:Ce Ceramics. Materials, 16(11), 4102. https://doi.org/10.3390/ma16114102

