Electronic Structures of Penta-SiC2 and g-SiC3 Nanoribbons: A First-Principles Study
Abstract
1. Introduction
2. Materials and Methods
3. Results and Discussion
3.1. Electronic Structures of 2D Penta-SiC2/g-SiC3
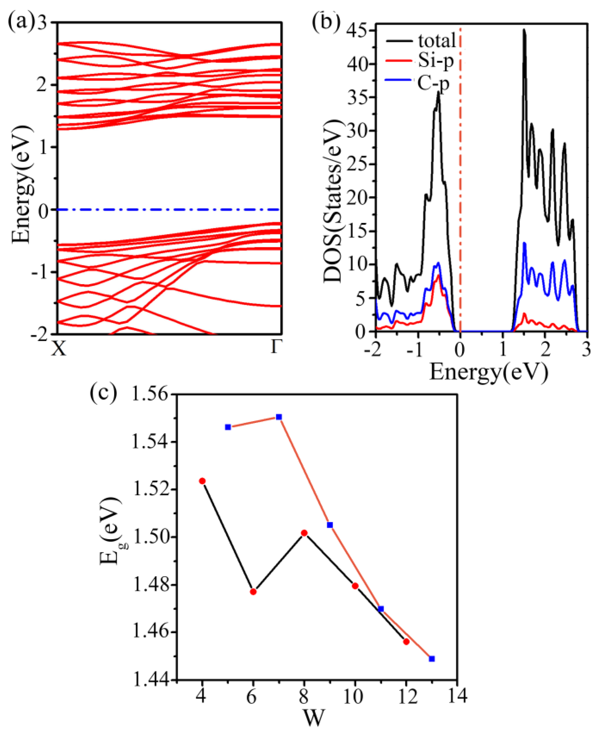
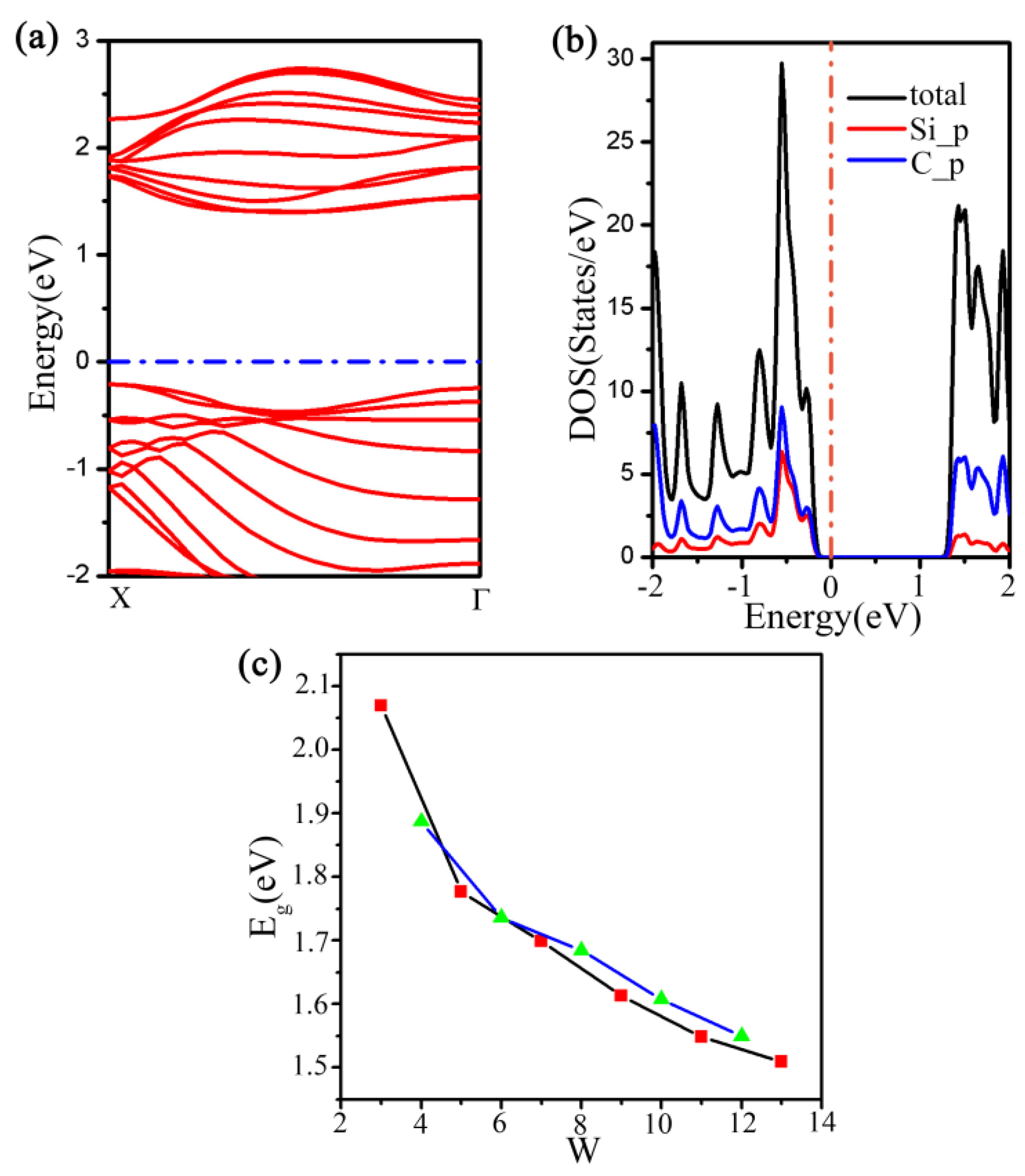
3.2. Electronic Structures of Penta-SiC2 Nanoribbons
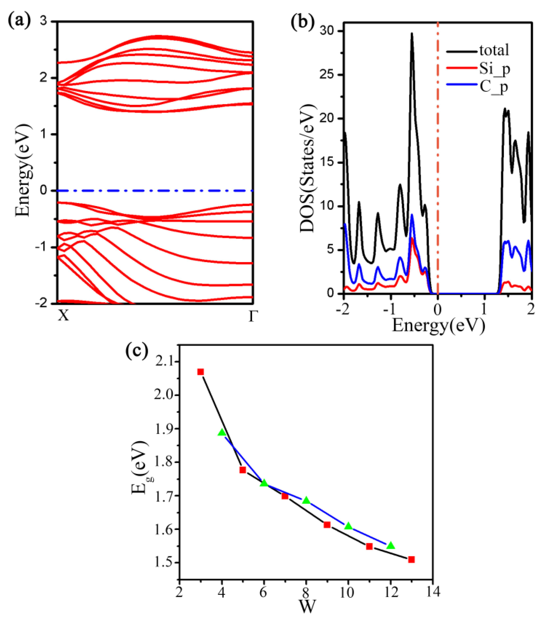
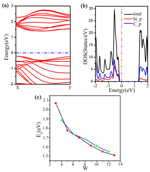
3.3. Electronic Structures and Applications of g-SiC3 Nanoribbons
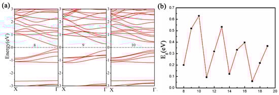
3.3.1. Electronic Structures of Armchair g-SiC3 Nanoribbons
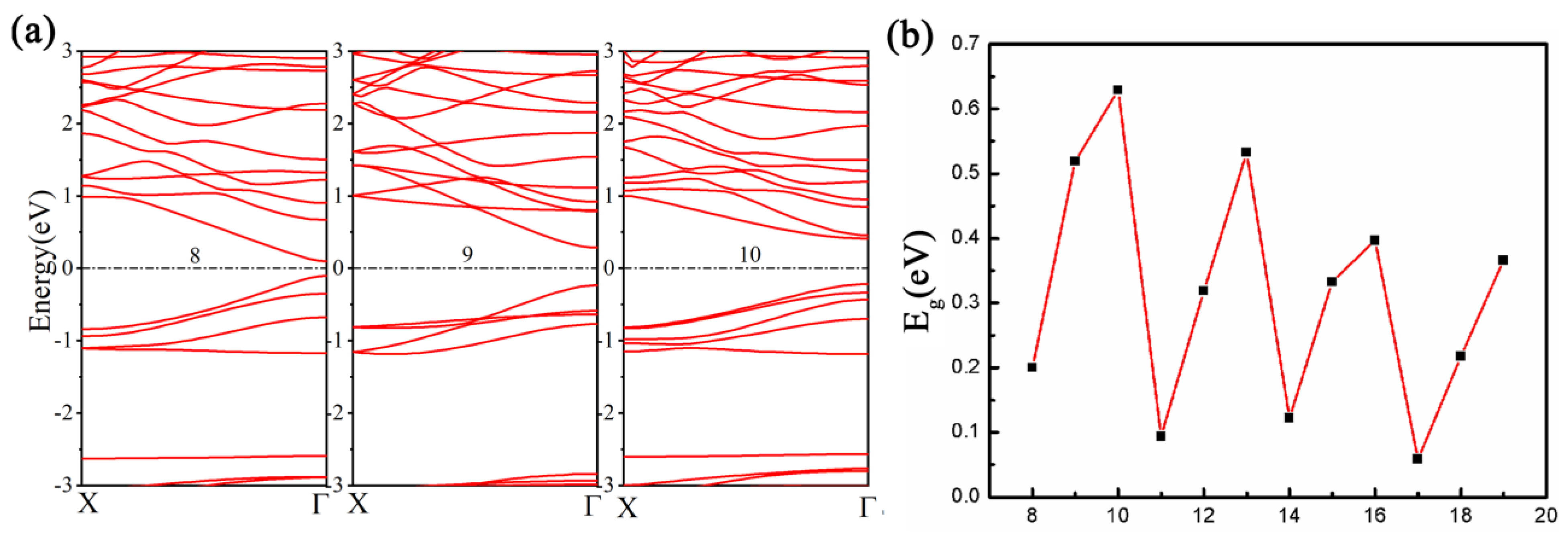
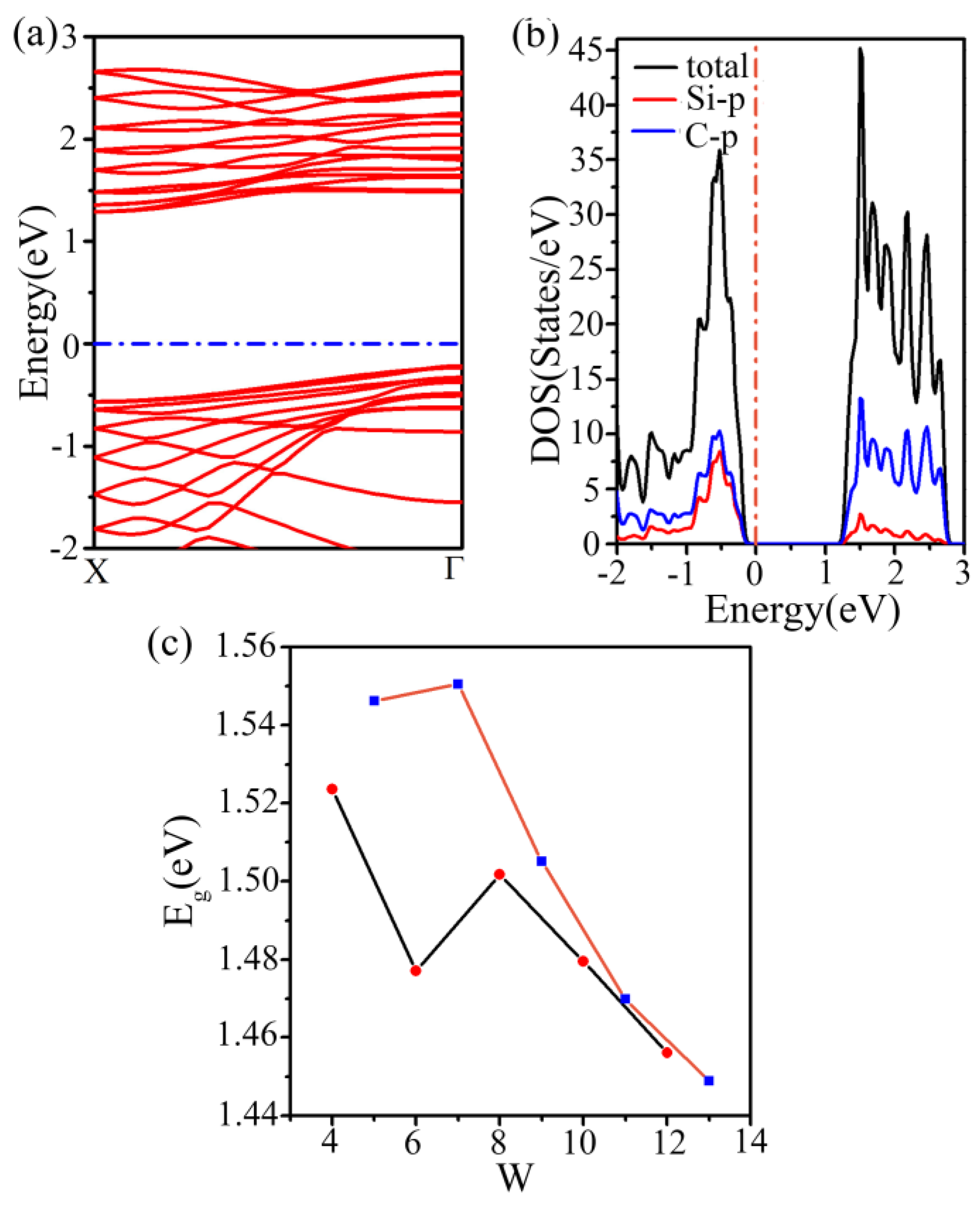
3.3.2. Electronic Structures of Zigzag g-SiC3 Nanoribbons
3.3.3. Zigzag g-SiC3 Nanoribbon: A Potential Anode Material for LIBs
4. Conclusions
Supplementary Materials
Author Contributions
Funding
Data Availability Statement
Conflicts of Interest
References
- Novoselov, K.S.; Geim, A.K.; Morozov, S.V.; Jiang, D.; Zhang, Y.; Dubonos, S.V.; Grigorieva, I.V.; Firsov, A.A. Electric Field Effect in Atomically Thin Carbon Films. Science 2004, 306, 666–669. [Google Scholar] [CrossRef]
- Han, W.; Kawakami, R.K.; Gmitra, M.; Fabian, J. Graphene spintronics. Nat. Nanotech. 2014, 9, 794–807. [Google Scholar] [CrossRef] [PubMed]
- Balandin, A.A. Thermal properties of graphene and nanostructured carbon materials. Nat. Mater. 2011, 10, 569–581. [Google Scholar] [CrossRef] [PubMed]
- Lee, C.; Wei, X.D.; Kysar, J.W.; Hone, J. Measurement of the elastic properties and intrinsic strength of monolayer graphene. Science 2008, 321, 385–388. [Google Scholar] [CrossRef] [PubMed]
- Bekaroglu, E.; Topsakal, M.; Cahangirov, S.; Ciraci, S. First-principles study of defects and adatoms in silicon carbide honeycomb structures. Phys. Rev. B 2010, 81, 075433. [Google Scholar] [CrossRef]
- Xu, Y.; Ning, Z.; Zhang, H.; Ni, G.; Shao, H.; Peng, B.; Zhang, X.; He, X.; Zhu, Y.; Zhu, H. Anisotropic ultrahigh hole mobility in two-dimensional penta-SiC2 by strain-engineering: Electronic structure and chemical bonding analysis. RSC Adv. 2017, 7, 45705–45713. [Google Scholar] [CrossRef]
- Zhou, L.J.; Zhang, Y.F.; Wu, L.M. SiC2 Siligraphene and Nanotubes: Novel Donor Materials in Excitonic Solar Cells. Nano Lett. 2013, 13, 5431–5436. [Google Scholar] [CrossRef]
- Li, Y.; Li, F.; Zhou, Z.; Chen, Z. SiC2 Silagraphene and Its One-Dimensional Derivatives: Where Planar Tetracoordinate Silicon Happens. J. Am. Chem. Soc. 2011, 133, 900–908. [Google Scholar] [CrossRef]
- Zhao, M.W.; Zhang, R.Q. Two-dimensional topological insulators with binary honeycomb lattices: SiC3 siligraphene and its analogs. Phys. Rev. B 2014, 89, 195427. [Google Scholar] [CrossRef]
- Dong, H.L.; Zhou, L.J.; Frauenheim, T.; Hou, T.J.; Lee, S.T.; Li, Y.Y. SiC7 siligraphene: A novel donor material with extraordinary sunlight absorption. Nanoscale 2016, 8, 6994–6999. [Google Scholar] [CrossRef]
- Lv, X.; Wei, W.; Huang, B.; Dai, Y. Achieving high energy density for lithium-ion battery anodes by Si/C nanostructure design. J. Mater. Chem. A 2019, 7, 2165–2171. [Google Scholar] [CrossRef]
- Shu, H. Adjustable electro-optical properties of novel graphene-like SiC2 via strain engineering. Appl. Surf. Sci. 2021, 559, 149956. [Google Scholar] [CrossRef]
- Dong, H.L.; Lin, B.; Gilmore, K.; Hou, T.J.; Lee, S.T.; Li, Y.Y. Theoretical investigations on SiC2 siligraphene as promising metal-free catalyst for oxygen reduction reaction. J. Power Sources 2015, 299, 371–379. [Google Scholar] [CrossRef]
- Wang, H.; Wu, M.; Lei, X.; Tian, Z.; Xu, B.; Huang, K.; Ouyang, C. Siligraphene as a promising anode material for lithium-ion batteries predicted from first-principles calculations. Nano Energy 2018, 49, 67–76. [Google Scholar] [CrossRef]
- Yang, L.; Park, C.-H.; Son, Y.-W.; Cohen, M.L.; Louie, S.G. Quasiparticle Energies and Band Gaps in Graphene Nanoribbons. Phys. Rev. Lett. 2007, 99, 186801. [Google Scholar] [CrossRef]
- Barone, V.; Hod, O.; Scuseria, G.E. Electronic Structure and Stability of Semiconducting Graphene Nanoribbons. Nano Lett. 2006, 6, 2748–2754. [Google Scholar] [CrossRef]
- Son, Y.-W.; Cohen, M.L.; Louie, S.G. Energy Gaps in Graphene Nanoribbons. Phys. Rev. Lett. 2006, 97, 216803. [Google Scholar] [CrossRef]
- Xu, K.; Ye, P.D. Electron spin magnetism of zigzag graphene nanoribbon edge states. Appl. Phys. Lett. 2014, 104, 163104. [Google Scholar] [CrossRef]
- Salemi, L.; Lherbier, A.; Charlier, J.C. Spin-dependent properties in zigzag graphene nanoribbons with phenyl-edge defects. Phys. Rev. B 2018, 98, 214204. [Google Scholar] [CrossRef]
- Slota, M.; Keerthi, A.; Myers, W.K.; Tretyakov, E.; Baumgarten, M.; Ardavan, A.; Sadeghi, H.; Lambert, C.J.; Narita, A.; Mullen, K.; et al. Magnetic edge states and coherent manipulation of graphene nanoribbons. Nature 2018, 557, 691–695. [Google Scholar] [CrossRef]
- Lee, G.; Shan, B.; Svizhenko, A.; Santosh, K.C.; Hong, S.; Cho, K. Transport gaps in ideal zigzag-edge graphene nanoribbons with chemical edge disorder. Appl. Surf. Sci. 2020, 512, 144714. [Google Scholar] [CrossRef]
- Jiang, S.; Neuman, T.; Boeglin, A.; Scheurer, F.; Schull, G. Topologically localized excitons in single graphene nanoribbons. Science 2023, 379, 1049–1054. [Google Scholar] [CrossRef] [PubMed]
- Ngo, D.T.; Le, H.T.T.; Pham, X.M.; Park, C.N.; Park, C.J. Facile Synthesis of Si@SiC Composite as an Anode Material for Lithium-Ion Batteries. ACS Appl. Mater. Interfaces 2017, 9, 32790–32800. [Google Scholar] [CrossRef]
- Lin, J.; Peng, Z.W.; Xiang, C.S.; Ruan, G.D.; Yan, Z.; Natelson, D.; Tour, J.M. Graphene Nanoribbon and Nanostructured SnO2 Composite Anodes for Lithium Ion Batteries. ACS Nano 2013, 7, 6001–6006. [Google Scholar] [CrossRef]
- Liu, Y.; Wang, X.Z.; Song, X.D.; Dong, Y.F.; Yang, L.; Wang, L.X.; Jia, D.Z.; Zhao, Z.B.; Qiu, J.S. Interlayer expanded MoS2 enabled by edge effect of graphene nanoribbons for high performance lithium and sodium ion batteries. Carbon 2016, 109, 461–471. [Google Scholar] [CrossRef]
- Choudhary, S.; Duhan, N.; Kumar, T.J.D. Hydrogen passivated 𝛽12--borophene nanoribbon: A propitious one-dimensional metallic anode for sodium-ion rechargeable batteries. Appl. Surf. Sci. 2022, 606, 154825. [Google Scholar] [CrossRef]
- Kresse, G.; Joubert, D. From ultrasoft pseudopotentials to the projector augmented-wave method. Phys. Rev. B 1999, 59, 1758–1775. [Google Scholar] [CrossRef]
- Kresse, G.; Furthmuller, J. Efficient iterative schemes for ab initio total-energy calculations using a plane-wave basis set. Phys. Rev. B 1996, 54, 11169–11186. [Google Scholar] [CrossRef]
- Perdew, J.P.; Burke, K.; Wang, Y. Generalized gradient approximation for the exchange-correlation hole of a many-electron system. Phys. Rev. B 1996, 54, 16533–16539. [Google Scholar] [CrossRef]
- Perdew, J.P.; Burke, K.; Ernzerhof, M. Generalized Gradient Approximation Made Simple. Phys. Rev. Lett. 1996, 77, 3865–3868. [Google Scholar] [CrossRef]
- Heyd, J.; Scuseria, G.E.; Ernzerhof, M. Hybrid functionals based on a screened Coulomb potential. J. Chem. Phys. 2003, 118, 8207–8215. [Google Scholar] [CrossRef]
- Chadi, D.J. Special points for Brillouin-zone integrations. Phys. Rev. B 1977, 16, 1746–1747. [Google Scholar] [CrossRef]
- Henkelman, G.; Uberuaga, B.P.; Jónsson, H. A climbing image nudged elastic band method for finding saddle points and minimum energy paths. J. Chem. Phys. 2000, 113, 9901–9904. [Google Scholar] [CrossRef]
- Henkelman, G.; Jónsson, H. Improved tangent estimate in the nudged elastic band method for finding minimum energy paths and saddle points. J. Chem. Phys. 2000, 113, 9978–9985. [Google Scholar] [CrossRef]
- Ding, Y.; Wang, Y.L. Geometric and Electronic Structures of Two-Dimensional SiC3 Compound. J. Phys. Chem. C 2014, 118, 4509–4515. [Google Scholar] [CrossRef]
- Zhao, S.; Kang, W.; Xue, J. The potential application of phosphorene as an anode material in Li-ion batteries. J. Mater. Chem. A 2014, 2, 19046–19052. [Google Scholar] [CrossRef]
- Yamamoto, T.; Nohira, T.; Hagiwara, R.; Fukunaga, A.; Sakai, S.; Nitta, K.; Inazawa, S. Charge–discharge behavior of tin negative electrode for a sodium secondary battery using intermediate temperature ionic liquid sodium bis(fluorosulfonyl)amide–potassium bis(fluorosulfonyl)amide. J. Power Sources 2012, 217, 479–484. [Google Scholar] [CrossRef]
- Li, F.; Qu, Y.; Zhao, M. Germanium sulfide nanosheet: A universal anode material for alkali metal ion batteries. J. Mater. Chem. A 2016, 4, 8905–8912. [Google Scholar] [CrossRef]
- Sun, Q.; Dai, Y.; Ma, Y.; Jing, T.; Wei, W.; Huang, B. Ab Initio Prediction and Characterization of Mo2C Monolayer as Anodes for Lithium-Ion and Sodium-Ion Batteries. J. Phys. Chem. Lett. 2016, 7, 937–943. [Google Scholar] [CrossRef]
- Liu, Y.; Ji, Y.; Ding, Y.-M.; Li, Y.; Lee, S.-T. Theoretical prediction of novel two-dimensional MA2Z4 family for Li/Na battery anodes. 2D Mater. 2023, 10, 025020. [Google Scholar] [CrossRef]
- Vargas, D.D.; Cardoso, G.L.; Piquini, P.C.; Ahuja, R.; Baierle, R.J. 2D Dumbbell Silicene as a High Storage Capacity and Fast Ion Diffusion Anode for Li-Ion Batteries. ACS Appl. Mater. Interfaces 2022, 14, 47262–47271. [Google Scholar] [CrossRef] [PubMed]
- Pollak, E.; Geng, B.; Jeon, K.; Lucas, I.T.; Richardson, T.J.; Wang, F.; Kostecki, R. The Interaction of Li+ with Single-Layer and Few-Layer Graphene. Nano Lett. 2010, 10, 3386–3388. [Google Scholar] [CrossRef] [PubMed]
- Wang, J.; Li, F.; Yang, B.; Liu, X.; Zhao, M. Half-metallic TiF3: A potential anode material for Li-ion spin batteries. J. Mater. Chem. A 2017, 5, 21486–21490. [Google Scholar] [CrossRef]
- Kulish, V.V.; Malyi, O.I.; Ng, M.-F.; Wu, P.; Chen, Z. Enhanced Li adsorption and diffusion in silicon nanosheets based on first principles calculations. RSC Adv. 2013, 3, 4231–4236. [Google Scholar] [CrossRef]










| Adsorption Site | Formation Energy (eV) | Adsorption Site | Formation Energy (eV) |
|---|---|---|---|
| 1 | −0.555 | 7 | −0.169 |
| 2 | −0.295 | 8 | −0.167 |
| 3 | −0.173 | 9 | −0.402 |
| 4 | −0.176 | 10 | −0.353 |
| 5 | −0.143 | 11 | −0.514 |
| 6 | −0.19 | 12 | −0.514 |
Disclaimer/Publisher’s Note: The statements, opinions and data contained in all publications are solely those of the individual author(s) and contributor(s) and not of MDPI and/or the editor(s). MDPI and/or the editor(s) disclaim responsibility for any injury to people or property resulting from any ideas, methods, instructions or products referred to in the content. |
© 2023 by the authors. Licensee MDPI, Basel, Switzerland. This article is an open access article distributed under the terms and conditions of the Creative Commons Attribution (CC BY) license (https://creativecommons.org/licenses/by/4.0/).
Share and Cite
Liu, Z.; Liu, X.; Wang, J. Electronic Structures of Penta-SiC2 and g-SiC3 Nanoribbons: A First-Principles Study. Materials 2023, 16, 4041. https://doi.org/10.3390/ma16114041
Liu Z, Liu X, Wang J. Electronic Structures of Penta-SiC2 and g-SiC3 Nanoribbons: A First-Principles Study. Materials. 2023; 16(11):4041. https://doi.org/10.3390/ma16114041
Chicago/Turabian StyleLiu, Zhichao, Xiaobiao Liu, and Junru Wang. 2023. "Electronic Structures of Penta-SiC2 and g-SiC3 Nanoribbons: A First-Principles Study" Materials 16, no. 11: 4041. https://doi.org/10.3390/ma16114041
APA StyleLiu, Z., Liu, X., & Wang, J. (2023). Electronic Structures of Penta-SiC2 and g-SiC3 Nanoribbons: A First-Principles Study. Materials, 16(11), 4041. https://doi.org/10.3390/ma16114041
