In Situ Synthesis of NiFeLDH/A–CBp from Pyrolytic Carbon as High-Performance Oxygen Evolution Reaction Catalyst for Water Splitting and Zinc Hydrometallurgy
Abstract
1. Introduction
2. Materials and Methods
2.1. Materials
2.2. Synthesis of NiFeLDH/A–CBp
2.3. Characterization
2.4. Electrochemical Measurement
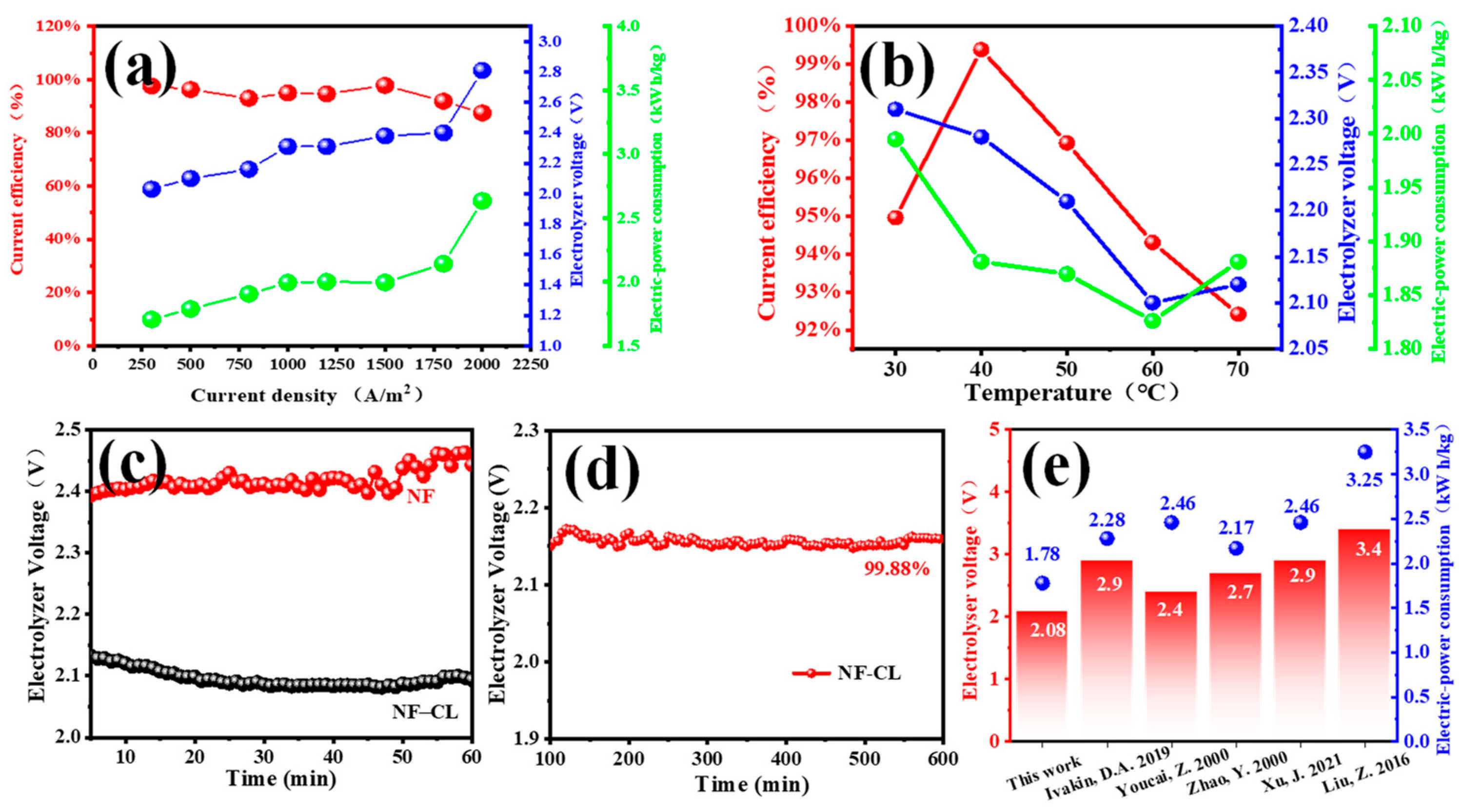
3. Results
4. Conclusions
Supplementary Materials
Author Contributions
Funding
Institutional Review Board Statement
Informed Consent Statement
Data Availability Statement
Conflicts of Interest
References
- Liu, C.; Qian, J.; Ye, Y.; Zhou, H.; Sun, C.-J.; Sheehan, C.; Zhang, Z.; Wan, G.; Liu, Y.-S.; Guo, J.; et al. Oxygen evolution reaction over catalytic single-site Co in a well-defined brookite TiO2 nanorod surface. Nat. Catal. 2020, 4, 36–45. [Google Scholar] [CrossRef]
- Suntivich, J.; May, K.J.; Gasteiger, H.A.; Goodenough, J.B.; Shao-Horn, Y. A Perovskite Oxide Optimized for Oxygen Evolution Catalysis from Molecular Orbital Principles. Science 2011, 334, 1383–1385. [Google Scholar] [CrossRef]
- Gutiérrez-Tarriño, S.; Olloqui-Sariego, J.L.; Calvente, J.J.; Espallargas, G.M.; Rey, F.; Corma, A.; Oña-Burgos, P. Cobalt Metal–Organic Framework Based on Layered Double Nanosheets for Enhanced Electrocatalytic Water Oxidation in Neutral Media. J. Am. Chem. Soc. 2020, 45, 19198–19208. [Google Scholar] [CrossRef] [PubMed]
- Li, S.; Chen, B.; Wang, Y.; Ye, M.-Y.; van Aken, P.A.; Cheng, C.; Thomas, A. Oxygen-evolving catalytic atoms on metal carbides. Nat. Mater. 2021, 20, 1240–1247. [Google Scholar] [CrossRef] [PubMed]
- Shah, S.S.A.; Jery, A.E.; Najam, T.; Nazir, M.A.; Wei, L.; Hussain, E.; Hussain, S.; Rebah, F.B.; Javed, M.S. Surface engineering of MOF-derived FeCo/NC core-shell nanostructures to enhance alkaline water-splitting. Int. J. Hydrogen Energy 2022, 47, 5036–5043. [Google Scholar] [CrossRef]
- Najam, T.; Ibraheem, S.; Nazir, M.A.; Shaheen, A.; Waseem, A.; Javed, M.S.; Shah, S.S.A.; Cai, X. Partially oxidized cobalt species in nitrogen-doped carbon nanotubes: Enhanced catalytic performance to water-splitting. Int. J. Hydrogen Energy 2021, 46, 8864–8870. [Google Scholar] [CrossRef]
- Nazir, M.A.; Najam, T.; Jabeen, S.; Wattoo, M.A.; Bashir, M.S.; Shah, S.S.A.; ur Rehman, A. Facile synthesis of Tri-metallic layered double hydroxides (NiZnAl-LDHs): Adsorption of Rhodamine-B and methyl orange from water. Inorg. Chem. Commun. 2022, 145, 110008. [Google Scholar] [CrossRef]
- Nazir, M.A.; Najam, T.; Bashir, M.S.; Javed, M.S.; Bashir, M.A.; Imran, M.; Azhar, U.; Shah, S.S.A.; ur Rehman, A. Kinetics, isothermal and mechanistic insight into the adsorption of eosin yellow and malachite green from water via tri-metallic layered double hydroxide nanosheets. Korean J. Chem. Eng. 2022, 39, 216–226. [Google Scholar] [CrossRef]
- Guofa, D.; Fengyan, X.; Fangxia, K.; Tingting, C.; Fengyun, W.; Yingwu, Z.; Kechen, W.; Shaowu, D.; Ming, F.; Johnny, C.H. NiFe-layered double hydroxide arrays for oxygen evolution reaction in fresh water and seawater. Mater. Today Energy 2021, 22, 100883. [Google Scholar]
- Gong, M.; Li, Y.; Wang, H.; Liang, Y.; Wu, J.Z.; Zhou, J.; Wang, J.; Regier, T.; Wei, F.; Dai, H. An Advanced Ni–Fe Layered Double Hydroxide Electrocatalyst for Water Oxidation. J. Am. Chem. Soc. 2013, 135, 8452–8455. [Google Scholar] [CrossRef]
- Yu, J.; Yang, F.; Cheng, G.; Luo, W. Construction of a hierarchical NiFe layered double hydroxide with a 3D mesoporous structure as an advanced electrocatalyst for water oxidation. Inorg. Chem. Front. 2018, 5, 1795–1799. [Google Scholar] [CrossRef]
- Chai, L.; Song, J.; Sun, Y.; Liu, X.; Li, X.; Fan, M.; Pan, J.; Sun, X. Intelligent Chip-Controlled Smart Oxygen Electrodes for Constructing Rechargeable Zinc–Air Batteries with Excellent Energy Efficiency and Durability. ACS Appl. Mater. Int. 2023, 15, 15439–15448. [Google Scholar] [CrossRef] [PubMed]
- Lombardi, L.; Carnevale, E.; Corti, A. A review of technologies and performances of thermal treatment systems for energy recovery from waste. Waste Manag. 2014, 37, 26–44. [Google Scholar] [CrossRef] [PubMed]
- Kabir, M.; Chowdhury, A.; Rasul, M. Pyrolysis of Municipal Green Waste: A Modelling, Simulation and Experimental Analysis. Energies 2015, 8, 7522–7541. [Google Scholar] [CrossRef]
- Chen, J.; Ma, X.; Yu, Z.; Deng, T.; Chen, X.; Chen, L.; Dai, M. A study on catalytic co-pyrolysis of kitchen waste with tire waste over ZSM-5 using TG-FTIR and Py-GC/MS. Bioresour. Technol. 2019, 289, 121585. [Google Scholar] [CrossRef] [PubMed]
- Martínez, J.D.; Puy, N.; Murillo, R.; García, T.; Navarro, M.V.; Mastral, A.M. Waste tyre pyrolysis—A review. Renew. Sustain. Energy Rev. 2013, 23, 179–213. [Google Scholar] [CrossRef]
- Parthasarathy, P.; Choi, H.S.; Park, H.C.; Hwang, J.G.; Yoo, H.S.; Lee, B.-K.; Upadhyay, M. Influence of process conditions on product yield of waste tyre pyrolysis—A review. Korean J. Environ. Chem. Eng. 2016, 33, 2268–2286. [Google Scholar] [CrossRef]
- Leung, D.Y.C.; Wang, C.L. Kinetic study of scrap tyre pyrolysis and combustion. J. Anal. Appl. Pyrolysis 1998, 45, 153–169. [Google Scholar] [CrossRef]
- Williams, P.T. Pyrolysis of waste tyres: A review. Waste Manag. 2013, 13, 1359. [Google Scholar] [CrossRef]
- Djuandhi, L.; Gaikwad, V.; Cowie, B.C.C.; Sahajwalla, V.; Sharma, N. Repurposing Waste Tires as Tunable Frameworks for Use in Sodium-Ion and Lithium–Sulfur Batteries. ACS Sustain. Chem. Eng. 2021, 9, 6972–6990. [Google Scholar] [CrossRef]
- Shilpa, N.; Kumar, R.; Sharma, A. Morphologically tailored activated carbon derived from waste tires as high-performance anode for Li-ion battery. J. Appl. Electrochem. 2017, 48, 1–13. [Google Scholar] [CrossRef]
- Kali, R.; Miriyala, S.; Padya, B.; Tata, N.R.; Jain, P.K. Insights into Na-Ion Storage Behavior of Solid Waste-Derived Carbon via “Charge-Averaged” Discharge/Charge Voltages. Energy Fuels 2021, 35, 5291–5297. [Google Scholar] [CrossRef]
- Ding, K.; Zhou, L.; Qu, R.; Zhang, D.; Chen, J.; He, X.; Wang, L.; Wang, H.; Dou, H. Honeycomb-shaped carbon particles prepared from bicycle waste tires for anodes in lithium ion batteries. Mater. Chem. Phys. 2020, 251, 123202. [Google Scholar] [CrossRef]
- Chen, C.-C.; Huang, Y.-H.; Chien, H.-J. Waste tire-derived porous nitrogen-doped carbon black as an electrode material for supercapacitors. Sustain. Chem. Pharm. 2021, 24, 100535. [Google Scholar] [CrossRef]
- Zhang, D.; Ma, Z.; Zhang, Y.; Xu, Y.; Liu, H.; Wu, J.; Li, P. Activated Carbon Tailored by Potassium Hydroxide from Waste Tires as a Supercapacitor Electrode. ECS J. Solid State Sci. 2022, 11, 061004. [Google Scholar] [CrossRef]
- Hood, Z.D.; Yang, X.; Li, Y.; Naskar, A.K.; Chi, M.; Paranthaman, M.P. Conversion of Waste Tire Rubber into High-Value-Added Carbon Supports for Electrocatalysis. J. Electrochem. Soc. 2018, 165, 881–888. [Google Scholar] [CrossRef]
- Jiang, G.; Chen, M.; Sun, Y.; Pan, J. Dual N-doped porous carbon derived from pyrolytic carbon black and critical PANIs constructing high-performance Zn ion hybrid supercapacitor. J. Energy Storage 2023, 63, 106955. [Google Scholar] [CrossRef]
- Guosai, J.; Jun, G.; Yanzhi, S.; Xiaoguang, L.; Junqing, P. Pyrolytic carbon black-derived porous carbon with spherical skeleton as recovered and enduring electrode material for supercapacitor. J. Energy Storage 2021, 44, 103372. [Google Scholar]
- Somi, D.; Lava Kumar, P.; Lukas, B. Processing and activation of tire-derived char: A review. Renew. Sustain. Energy Rev. 2021, 155, 111860. [Google Scholar]
- Xu, J.; Yu, J.; Xu, J.; Sun, C.; He, W.; Huang, J.; Li, G. High-value utilization of waste tires: A review with focus on modified carbon black from pyrolysis. Sci. Total Environ. 2020, 742, 140235. [Google Scholar] [CrossRef]
- Hita, I.; Arabiourrutia, M.; Olazar, M.; Bilbao, J.; Arandes, J.M.; Castaño, P. Opportunities and barriers for producing high quality fuels from the pyrolysis of scrap tires. Renew. Sustain. Energy Rev. 2016, 56, 745–759. [Google Scholar] [CrossRef]
- Zhao, P.; Han, Y.; Dong, X.; Zhang, C.; Liu, S. Application of Activated Carbons Derived from Scrap Tires as Electrode Materials for Supercapacitors. ECS J. Solid State Sci. 2015, 4, 35. [Google Scholar] [CrossRef]
- Chai, L.; Pan, J.; Zhu, X.; Sun, Y.; Liu, X.; Li, W.; Qian, J.; Li, X.; Sun, X. Ion Motor as a New Universal Strategy for the Boosting the Performance of Zn-Ion Batteries. ACS Appl. Mater. Int. 2022, 14, 30839–30846. [Google Scholar] [CrossRef] [PubMed]
- Mamyachenkov, S.V.; Yakornov, S.A.; Anisimova, O.S.; Kozlov, P.A.; Ivakin, D.A. Research into the Influence of Process Parameters on the Efficiency of Zinc Electrolysis from Alkaline Solutions. Russ. J. Non-Ferr. Met. 2019, 60, 1–7. [Google Scholar] [CrossRef]
- Youcai, Z.; Stanforth, R. Integrated hydrometallurgical process for production of zinc from electric arc furnace dust in alkaline medium. J. Hazard. Mater. 2000, 80, 223–240. [Google Scholar] [CrossRef]
- Gürmen, S.; Emre, M. A laboratory-scale investigation of alkaline zinc electrowinning. Miner. Eng. 2003, 16, 559–562. [Google Scholar] [CrossRef]
- Zhao, Y.; Stanforth, R. Production of Zn powder by alkaline treatment of smithsonite Zn–Pb ores. Hydrometallurgy 2000, 56, 237–249. [Google Scholar] [CrossRef]
- St-Pierre, J.; Piron, D.L. Electrowinning of zinc from alkaline solutions. J. Appl. Electrochem. 1986, 16, 447–456. [Google Scholar] [CrossRef]
- Xu, J.; Yu, J.; He, W.; Huang, J.; Xu, J.; Li, G. Replacing commercial carbon black by pyrolytic residue from waste tire for tire processing: Technically feasible and economically reasonable. Sci. Total Environ. 2021, 793, 148597. [Google Scholar] [CrossRef]
- Gu, H.; Shi, G.; Chen, H.-C.; Xie, S.; Li, Y.; Tong, H.; Yang, C.; Zhu, C.; Mefford, J.T.; Xia, H.; et al. Strong Catalyst–Support Interactions in Electrochemical Oxygen Evolution on Ni–Fe Layered Double Hydroxide. ACS Energy Lett. 2020, 5, 3185–3194. [Google Scholar] [CrossRef]
- He, H.; Gu, J.; Liu, X.; Yang, D.; Zhu, Y.; Yao, R.; Fan, Q.; Huang, R. Improvement of Trisodium Citrate-Modified NiFe-Layered Double Hydroxide Nanosheets with Carbon Black for Oxygen Evolution Reaction. Catalysts 2020, 10, 431. [Google Scholar] [CrossRef]
- Yang, D.; Gu, J.; Liu, X.; He, H.; Wang, M.; Wang, P.; Zhu, Y.; Fan, Q.; Huang, R. Monodispersed Pt3Ni Nanoparticles as a Highly Efficient Electrocatalyst for PEMFCs. Catalysts 2019, 9, 587. [Google Scholar] [CrossRef]
- Liu, S.; Jiang, X.; Waterhouse, G.I.N.; Zhang, Z.-M.; Yu, L.-m. Construction of Z-scheme Titanium-MOF/plasmonic silver nanoparticle/NiFe layered double hydroxide photocatalysts with enhanced dye and antibiotic degradation activity under visible light. Sep. Purif. Technol. 2021, 278, 119525. [Google Scholar] [CrossRef]
- Wang, R.; Wang, X.; Xiong, Y.; Hou, Y.; Wang, Y.; Ding, J.; Zhong, Q. Modulation of Trivalent/Tetravalent Metallic Elements in Ni-Based Layered Double Hydroxides for Photocatalytic CO(2) Reduction. ACS Appl. Mater. Interfaces 2022, 14, 35654–35662. [Google Scholar] [CrossRef] [PubMed]
- Luo, J.; Wu, J.; Liu, Y.; Yuan, J.; Wang, F. Enhanced visible light photocatalytic hydrogen production over poly(dibenzothiophene-S,S-dioxide)-based heterostructures decorated by Earth-abundant layered double hydroxides. Dalton Trans. 2022, 51, 11768–11775. [Google Scholar] [CrossRef] [PubMed]
- Wu, Y.; Xu, L.; Xin, W.; Zhang, T.; Cao, J.; Liu, B.; Qiang, Q.; Zhou, Z.; Han, T.; Cao, S.; et al. Rational construction of 3D MoNi/NiMoOx@NiFe LDH with rapid electron transfer for efficient overall water splitting. Electrochim. Acta 2021, 369, 137680. [Google Scholar] [CrossRef]
- Dou, R.; Ma, J.; Huang, D.; Fan, C.; Zhao, W.; Peng, M.; Komarneni, S. Bisulfite assisted photocatalytic degradation of methylene blue by Ni-Fe-Mn oxide from MnO4 intercalated LDH. Appl. Clay Sci. 2018, 161, 235–241. [Google Scholar] [CrossRef]
- Rakita, A.; Nikolic, N.; Mildner, M.; Matiasek, J.; Elbe-Burger, A. Re-epithelialization and immune cell behaviour in an ex vivo human skin model. Sci. Rep. 2020, 10, 1. [Google Scholar] [CrossRef] [PubMed]
- Marsh, P.A.; Voet, A.; Mullens, T.J.; Price, L.D. Electron Micrography of Interplanar Spacings in Carbon Blacks. Rubber Chem. Technol. 1970, 43, 470–481. [Google Scholar] [CrossRef]
- Nayak, S.; Mohapatra, L.; Parida, K. Visible light-driven novel g-C3N4/NiFe-LDH composite photocatalyst with enhanced photocatalytic activity towards water oxidation and reduction reaction. J. Mater. Chem. A 2015, 3, 18622–18635. [Google Scholar] [CrossRef]
- Guosai, J.; Junqing, P.; Wenzhong, D.; Yanzhi, S.; Jun, G.; Kai, C.; Yuan, Y.; Ziyang, L.; Yancai, S.; Chuanjin, H.; et al. Recovery of high pure pyrolytic carbon black from waste tires by dual acid treatment. J. Clean. Prod. 2022, 374, 133893. [Google Scholar]
- Guo, J.; Li, X.; Sun, Y.; Liu, Q.; Quan, Z.; Zhang, X. In-situ confined formation of NiFe layered double hydroxide quantum dots in expanded graphite for active electrocatalytic oxygen evolution. J. Solid State Chem. 2018, 262, 181–185. [Google Scholar] [CrossRef]
- Bhargava, G.; Gouzman, I.; Chun, C.M.; Ramanarayanan, T.A.; Bernasek, S.L. Characterization of the “native” surface thin film on pure polycrystalline iron: A high resolution XPS and TEM study. Appl. Surf. Sci. 2007, 253, 4322–4329. [Google Scholar] [CrossRef]
- Chi, J.-Q.; Yan, K.-L.; Xiao, Z.; Dong, B.; Shang, X.; Gao, W.-K.; Li, X.; Chai, Y.-M.; Liu, C.-G. Trimetallic NiFeCo selenides nanoparticles supported on carbon fiber cloth as efficient electrocatalyst for oxygen evolution reaction. Int. J. Hydrogen Energy 2017, 42, 20599–20607. [Google Scholar] [CrossRef]
- Vennapoosa, C.S.; Karmakar, A.; Prabhu, Y.T.; Abraham, B.M.; Kundu, S.; Pal, U. Rh-doped ultrathin NiFeLDH nanosheets drive efficient photocatalytic water splitting. Int. J. Hydrogen Energy 2023, 1–14. [Google Scholar] [CrossRef]
- Bao, J.; Wang, Z.; Xie, J.; Xu, L.; Lei, F.; Guan, M.; Zhao, Y.; Huang, Y.; Li, H. A ternary cobalt–molybdenum–vanadium layered double hydroxide nanosheet array as an efficient bifunctional electrocatalyst for overall water splitting. Chem. Commun. 2019, 55, 3521–3524. [Google Scholar] [CrossRef]
- Liu, Z.; Dong, C.-L.; Huang, Y.-C.; Cen, J.; Yang, H.; Chen, X.; Tong, X.; Su, D.; Wang, Y.; Wang, S. Modulating the electronic structure of ultrathin layered double hydroxide nanosheets with fluorine: An efficient electrocatalyst for the oxygen evolution reaction. J. Mater. Chem. A 2019, 7, 14483–14488. [Google Scholar] [CrossRef]
- Zhu, X.; Zhang, D.; Chen, C.-J.; Zhang, Q.; Liu, R.-S.; Xia, Z.; Dai, L.; Amal, R.; Lu, X. Harnessing interplay of Fe-Ni atom pairs embedded in nitrogen-doped carbon for bifunctional oxygen electrocatalysis. Nano. Energy 2020, 71, 104597. [Google Scholar] [CrossRef]
- Li, T.; Li, S.; Liu, Q.; Yin, J.; Sun, D.; Zhang, M.; Xu, L.; Tang, Y.; Zhang, Y. Immobilization of Ni3Co Nanoparticles into N-Doped Carbon Nanotube/Nanofiber Integrated Hierarchically Branched Architectures toward Efficient Overall Water Splitting. Adv. Sci. 2019, 7, 1902371. [Google Scholar] [CrossRef]
- Shi, G.; Yu, C.; Fan, Z.; Li, J.; Yuan, M. Graphdiyne-Supported NiFe Layered Double Hydroxide Nanosheets as Functional Electrocatalysts for Oxygen Evolution. ACS Appl. Mater. Interfaces 2018, 11, 2662–2669. [Google Scholar] [CrossRef]
- Che, K.; Zhu, X.; Tang, G.; Zhao, M.; Pan, J. In Situ Electroplating of Ir@Carbon Cloth as High-Performance Selective Oxygen Evolution Reaction Catalyst for Direct Electrolytic Recovery of Lead. Catalysts 2023, 13, 322. [Google Scholar] [CrossRef]
- Gou, W.; Xia, Z.; Tan, X.; Xue, Q.; Ye, F.; Dai, S.; Zhang, M.; Si, R.; Zou, Y.; Ma, Y.; et al. Highly active and stable amorphous IrOx/CeO2 nanowires for acidic oxygen evolution. Nano Energy 2022, 104, 107960. [Google Scholar] [CrossRef]
- Abdel-Aziz, A.B.; El-Zomrawy, A.A.; El-Sabbah, M.M.B.; Ghayad, I.M. Electrodeposition of lead and lead-tin alloy on copper using an eco-friendly methanesulfonate plating bath. J. Mater. Res. Technol. 2022, 18, 2166–2174. [Google Scholar] [CrossRef]
- Jiang, Y.; Lu, Y.; Lin, J.; Wang, X.; Shen, Z. A Hierarchical MoP Nanoflake Array Supported on Ni Foam: A Bifunctional Electrocatalyst for Overall Water Splitting. Small Methods 2018, 2, 1700369. [Google Scholar] [CrossRef]
- Li, W.; Meng, S.; Li, Z.; Song, H. The function of porous working electrodes for hydrogen production from water splitting in non-thermal plasma reactor. Fuel 2022, 310, 122156. [Google Scholar] [CrossRef]
- Kwon, J.; Han, H.; Choi, S.; Park, K.; Jo, S.; Paik, U.; Song, T. Current Status of Self-Supported Catalysts for Robust and Efficient Water Splitting for Commercial Electrolyzer. ChemCatChem 2019, 11, 5898–5912. [Google Scholar] [CrossRef]
- Qyyum, M.A.; Dickson, R.; Ali Shah, S.F.; Niaz, H.; Khan, A.; Liu, J.J.; Lee, M. Availability, versatility, and viability of feedstocks for hydrogen production: Product space perspective. Renew. Sustain. Energy Rev. 2021, 145, 110843. [Google Scholar] [CrossRef]
- Wendt, H.; Imarisio, G. Nine years of research and development on advanced water electrolysis. A review of the research programme of the Commission of the European Communities. J. Appl. Electrochem. 1988, 18, 1–14. [Google Scholar] [CrossRef]
- Otani, T.; Nagata, M.; Fukunaka, Y.; Homma, T. Morphological evolution of mossy structures during the electrodeposition of zinc from an alkaline zincate solution. Electrochim. Acta 2016, 206, 366–373. [Google Scholar] [CrossRef]
- Zhang, Y.; Deng, J.; Chen, J.; Yu, R.; Xing, X. The electrowinning of zinc from sodium hydroxide solutions. Hydrometallurgy 2014, 146, 59–63. [Google Scholar] [CrossRef]
- Liu, Z.; Cui, T.; Lu, T.; Shapouri Ghazvini, M.; Endres, F. Anion Effects on the Solid/Ionic Liquid Interface and the Electrodeposition of Zinc. J. Phys. Chem. 2016, 120, 20224–20231. [Google Scholar] [CrossRef]
- Ren, X.; Wei, Q.; Hu, S.; Wei, S. The recovery of zinc from hot galvanizing slag in an anion-exchange membrane electrolysis reactor. J. Hazard. Mater. 2010, 181, 908–915. [Google Scholar] [CrossRef] [PubMed]








Disclaimer/Publisher’s Note: The statements, opinions and data contained in all publications are solely those of the individual author(s) and contributor(s) and not of MDPI and/or the editor(s). MDPI and/or the editor(s) disclaim responsibility for any injury to people or property resulting from any ideas, methods, instructions or products referred to in the content. |
© 2023 by the authors. Licensee MDPI, Basel, Switzerland. This article is an open access article distributed under the terms and conditions of the Creative Commons Attribution (CC BY) license (https://creativecommons.org/licenses/by/4.0/).
Share and Cite
Che, K.; Zhao, M.; Sun, Y.; Pan, J. In Situ Synthesis of NiFeLDH/A–CBp from Pyrolytic Carbon as High-Performance Oxygen Evolution Reaction Catalyst for Water Splitting and Zinc Hydrometallurgy. Materials 2023, 16, 3997. https://doi.org/10.3390/ma16113997
Che K, Zhao M, Sun Y, Pan J. In Situ Synthesis of NiFeLDH/A–CBp from Pyrolytic Carbon as High-Performance Oxygen Evolution Reaction Catalyst for Water Splitting and Zinc Hydrometallurgy. Materials. 2023; 16(11):3997. https://doi.org/10.3390/ma16113997
Chicago/Turabian StyleChe, Kai, Man Zhao, Yanzhi Sun, and Junqing Pan. 2023. "In Situ Synthesis of NiFeLDH/A–CBp from Pyrolytic Carbon as High-Performance Oxygen Evolution Reaction Catalyst for Water Splitting and Zinc Hydrometallurgy" Materials 16, no. 11: 3997. https://doi.org/10.3390/ma16113997
APA StyleChe, K., Zhao, M., Sun, Y., & Pan, J. (2023). In Situ Synthesis of NiFeLDH/A–CBp from Pyrolytic Carbon as High-Performance Oxygen Evolution Reaction Catalyst for Water Splitting and Zinc Hydrometallurgy. Materials, 16(11), 3997. https://doi.org/10.3390/ma16113997

