Influence of Cutting-Edge Microgeometry on Cutting Forces in High-Speed Milling of 7075 Aluminum Alloy
Abstract
1. Introduction
2. Materials and Methods
2.1. Materials and Tools
2.2. Force Signal Parameters
3. Results and Discussion
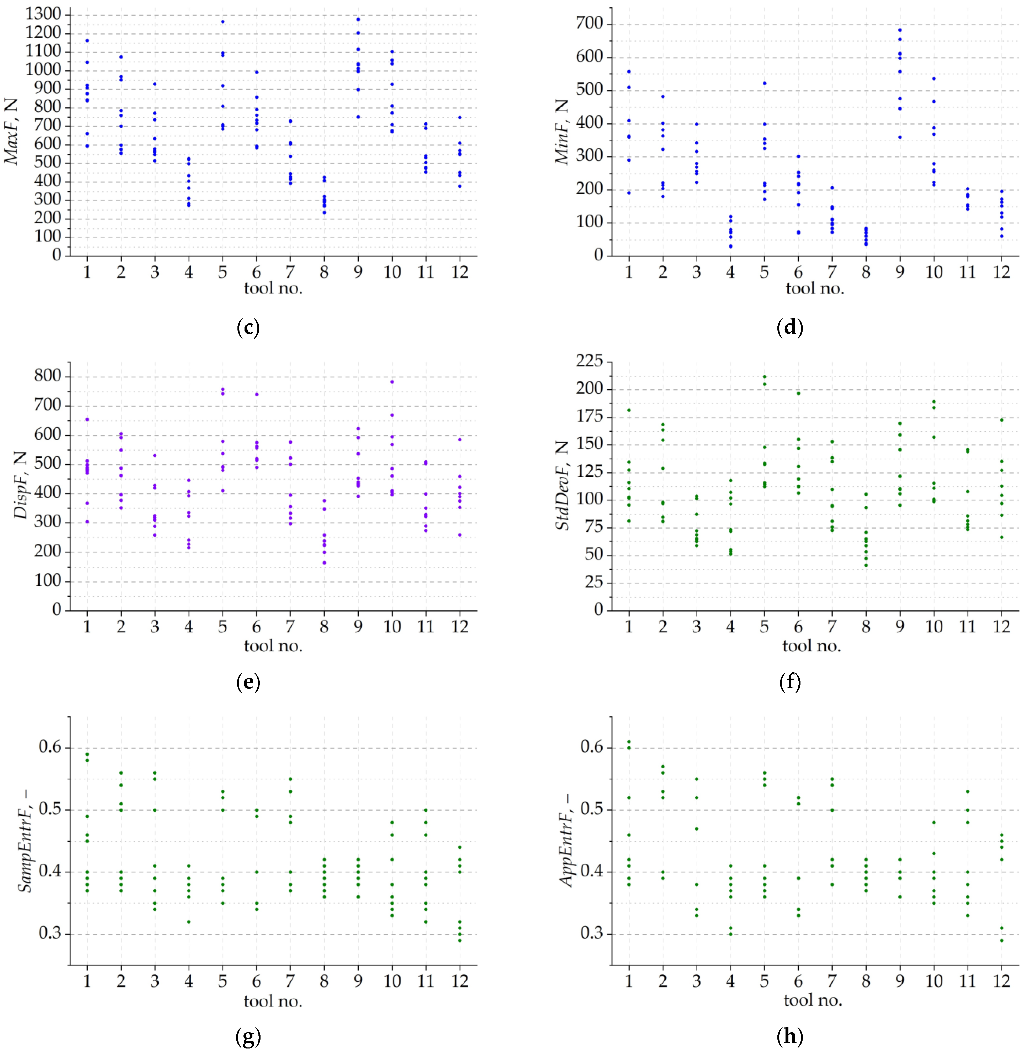
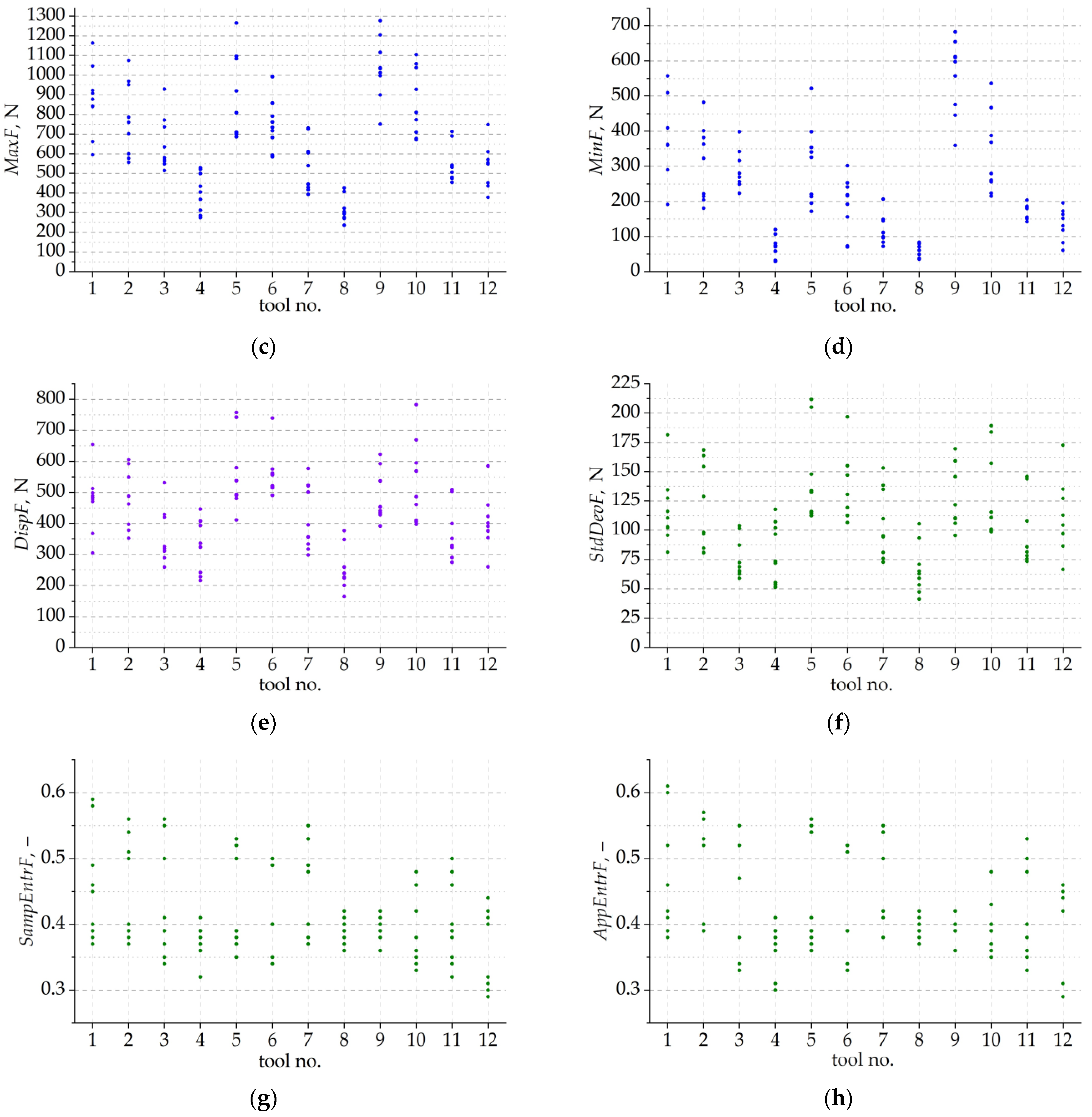
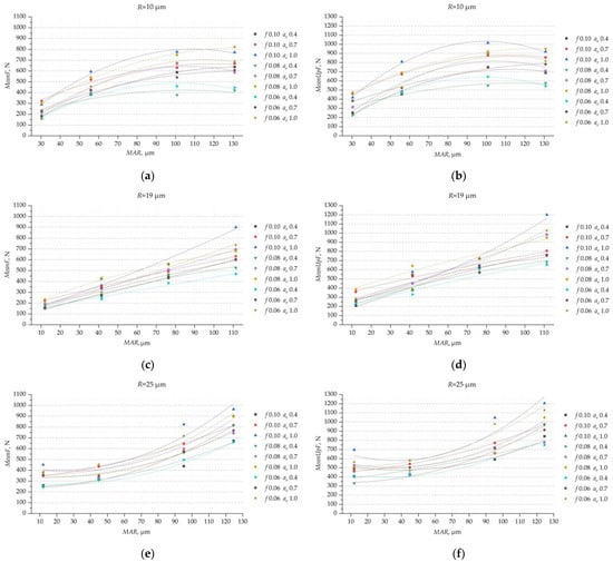
3.1. Cutting-Force Parameters Analysis
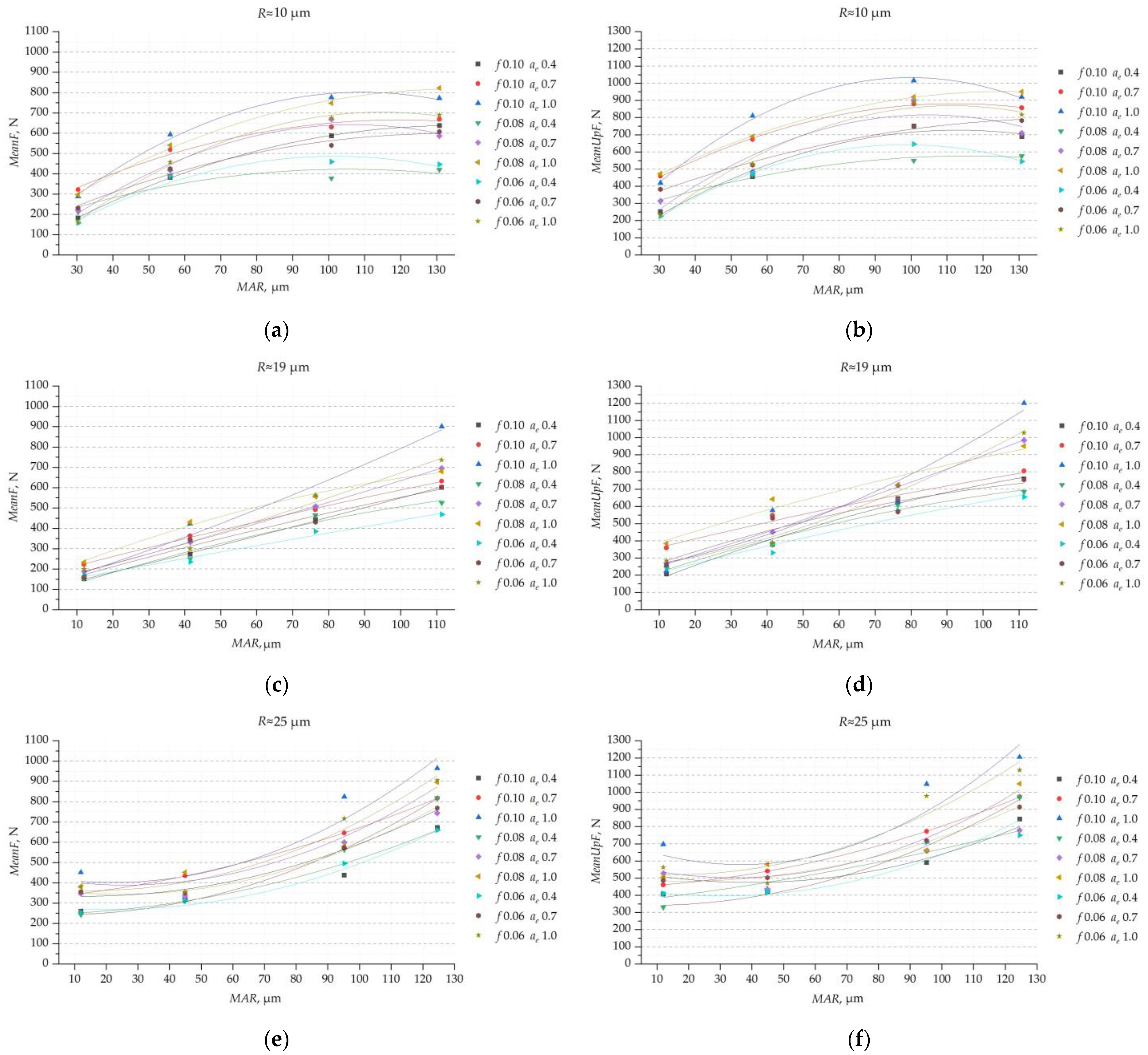
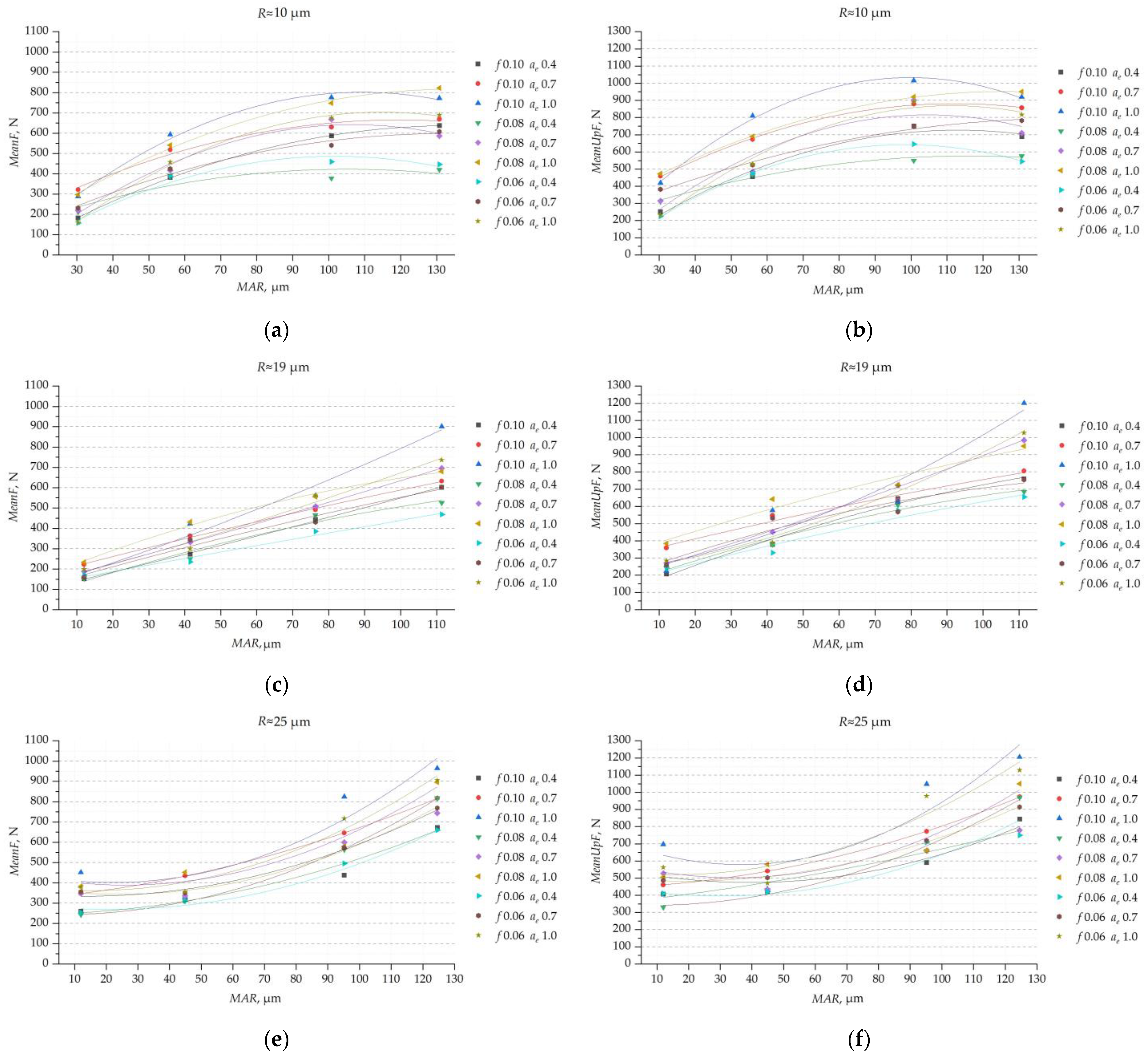
3.2. Cutting-Force Models and Response Surface
4. Conclusions
- The greater the width of the margin, the greater the dispersion of the cutting force, and the machining process is less predictable and stable (the standard deviation of force is the largest). This is because the greater the width of the margin, the greater the contact area between the tool and the workpiece material, and the greater the frictional force.
- For the largest cutting-edge rounding radii, a margin width of less than 80 micrometres has no effect on cutting force.
- The effect of margin width on cutting force is monotonic and can be approximated as linear: as the width of the margin increases, the cutting force increases.
- The influence of the rounding radius of the cutting edge is non-linear and non-monotonic with a minimum for R ≈ 17 micrometres.
- Using the smallest cutting-edge rounding radii does not lead to the smallest cutting forces.
- The lowest cutting-force values (mean and median maxima values) were for the smallest margin width and for the cutting-edge rounding radius R = 15–20 micrometres.
Author Contributions
Funding
Institutional Review Board Statement
Informed Consent Statement
Data Availability Statement
Conflicts of Interest
References
- Żurawski, K.; Żurek, P.; Kawalec, A.; Bazan, A.; Olko, A. Modeling of Surface Topography after Milling with a Lens-Shaped End-Mill, Considering Runout. Materials 2022, 15, 1188. [Google Scholar] [CrossRef] [PubMed]
- O’Hara, J.; Fang, F. Advances in Micro Cutting Tool Design and Fabrication. Int. J. Extrem. Manuf. 2019, 1, 032003. [Google Scholar] [CrossRef]
- Qu, Y.J.; Ming, X.G.; Liu, Z.W.; Zhang, X.Y.; Hou, Z.T. Smart Manufacturing Systems: State of the Art and Future Trends. Int. J Adv. Manuf. Technol. 2019, 103, 3751–3768. [Google Scholar] [CrossRef]
- Abdulhameed, O.; Al-Ahmari, A.; Ameen, W.; Mian, S.H. Additive Manufacturing: Challenges, Trends, and Applications. Adv. Mech. Eng. 2019, 11, 168781401882288. [Google Scholar] [CrossRef]
- Gdula, M. Adaptive Method of 5-Axis Milling of Sculptured Surfaces Elements with a Curved Line Contour. J. Mech. Sci. Technol. 2019, 33, 2863–2872. [Google Scholar] [CrossRef]
- Grabowski, R.; Denkena, B.; Köhler, J. Prediction of Process Forces and Stability of End Mills with Complex Geometries. Procedia CIRP 2014, 14, 119–124. [Google Scholar] [CrossRef]
- Burek, J.; Zylka, L.; Plodzien, M.; Gdula, M.; Sulkowicz, P. The Influence of the Cutting Edge Shape on High Performance Cutting. Aircr. Eng. Aerosp. Technol. 2018, 90, 134–145. [Google Scholar] [CrossRef]
- Burek, J.; Plodzien, M.; Zylka, L.; Sulkowicz, P. High-Performance End Milling of Aluminum Alloy: Influence of Different Serrated Cutting Edge Tool Shapes on the Cutting Force. Adv. Prod. Eng. Manag. 2019, 14, 494–506. [Google Scholar] [CrossRef]
- Koca, R.; Budak, E. Optimization of Serrated End Mills for Reduced Cutting Energy and Higher Stability. Procedia CIRP 2013, 8, 570–575. [Google Scholar] [CrossRef]
- Kolar, P.; Sulitka, M.; Fojtů, P.; Falta, J.; Šindler, J. Cutting Force Modelling with a Combined Influence of Tool Wear and Tool Geometry. Manuf. Technol. 2016, 16, 524–531. [Google Scholar] [CrossRef]
- Arrazola, P.J.; Özel, T.; Umbrello, D.; Davies, M.; Jawahir, I.S. Recent Advances in Modelling of Metal Machining Processes. CIRP Ann. 2013, 62, 695–718. [Google Scholar] [CrossRef]
- Mourtzis, D. Simulation in the Design and Operation of Manufacturing Systems: State of the Art and New Trends. Int. J. Prod. Res. 2020, 58, 1927–1949. [Google Scholar] [CrossRef]
- Li, A.; Zhao, J.; Pei, Z.; Zhu, N. Simulation-Based Solid Carbide End Mill Design and Geometry Optimization. Int. J. Adv. Manuf. Technol. 2014, 71, 1889–1900. [Google Scholar] [CrossRef]
- Denkena, B.; Biermann, D. Cutting Edge Geometries. CIRP Ann. 2014, 63, 631–653. [Google Scholar] [CrossRef]
- Li, B.; Zhang, S.; Du, J.; Sun, Y. State-of-the-Art in Cutting Performance and Surface Integrity Considering Tool Edge Micro-Geometry in Metal Cutting Process. J. Manuf. Process. 2022, 77, 380–411. [Google Scholar] [CrossRef]
- Fulemova, J.; Janda, Z. Influence of the Cutting Edge Radius and the Cutting Edge Preparation on Tool Life and Cutting Forces at Inserts with Wiper Geometry. Procedia Eng. 2014, 69, 565–573. [Google Scholar] [CrossRef]
- Lv, D.; Wang, Y.; Yu, X. Effects of Cutting Edge Radius on Cutting Force, Tool Wear, and Life in Milling of SUS-316L Steel. Int. J. Adv. Manuf. Technol. 2020, 111, 2833–2844. [Google Scholar] [CrossRef]
- Padmakumar, M.; Shiva Pradeep, N. Effect of Cutting Edge Form Factor (K-Factor) on the Performance of a Face Milling Tool. CIRP J. Manuf. Sci. Technol. 2020, 31, 305–313. [Google Scholar] [CrossRef]
- Hronek, O.; Zetek, M. The influence of cutting edge radius on surface roughness when milling nickel alloy. In Proceedings of the 28th International DAAAM Symposium, Vienna, Austria, 8–11 November 2017; Volume 1, pp. 1037–1043, ISBN 978-3-902734-11-2. [Google Scholar]
- Zhao, T.; Agmell, M.; Persson, J.; Bushlya, V.; Ståhl, J.E.; Zhou, J.M. Correlation between Edge Radius of the CBN Cutting Tool and Surface Quality in Hard Turning. J. Superhard Mater. 2017, 39, 251–258. [Google Scholar] [CrossRef]
- Muthuswamy, P.; Nagarajan, S.K. Experimental Investigation on the Effect of Different Micro-Geometries on Cutting Edge and Wiper Edge on Surface Roughness and Forces in Face Milling. Lubricants 2021, 9, 102. [Google Scholar] [CrossRef]
- Muthuswamy, P. Influence of Micro-Geometry of Wiper Facet on the Performance of a Milling Insert: An Experimental Investigation and Validation Using Numerical Simulation. Sādhanā 2022, 47, 140. [Google Scholar] [CrossRef]
- Toledo, J.V.R.; Arruda, E.M.; Júnior, S.S.C.; Diniz, A.E.; Ferreira, J.R. Performance of Wiper Geometry Carbide Tools in Face Milling of AISI 1045 Steel. J. Braz. Soc. Mech. Sci. Eng. 2018, 40, 478. [Google Scholar] [CrossRef]
- Lajmert, P.; Sikora, M.; Kruszynski, B.; Ostrowski, D. Application of Principal Component Analysis and Decision Trees in Diagnostics of Cylindrical Plunge Grinding Process. In Advances in Manufacturing; Hamrol, A., Ciszak, O., Legutko, S., Jurczyk, M., Eds.; Lecture Notes in Mechanical Engineering; Springer International Publishing: Cham, Switzerland, 2018; pp. 707–716. ISBN 978-3-319-68618-9. [Google Scholar]
- Litak, G.; Rusinek, R. Dynamics of a Stainless Steel Turning Process by Statistical and Recurrence Analyses. Meccanica 2012, 47, 1517–1526. [Google Scholar] [CrossRef]
- Rusinek, R.; Lajmert, P.; Kecik, K.; Kruszynski, B.; Warminski, J. Chatter Identification Methods on the Basis of Time Series Measured during Titanium Superalloy Milling. Int. J. Mech. Sci. 2015, 99, 196–207. [Google Scholar] [CrossRef]
- Pincus, S.M. Approximate Entropy as a Measure of System Complexity. Proc. Natl. Acad. Sci. USA 1991, 88, 2297–2301. [Google Scholar] [CrossRef]
- Richman, J.S.; Moorman, J.R. Physiological Time-Series Analysis Using Approximate Entropy and Sample Entropy. Am. J. Physiol. Heart Circ. Physiol. 2000, 278, H2039–H2049. [Google Scholar] [CrossRef]













| Tool No. | Real Value of the Cutting-Edge Radius R, μm | Real Value of the Margin Width MAR, μm |
|---|---|---|
| 1 | 9.2 | 130.8 |
| 2 | 9.2 | 100.8 |
| 3 | 9.0 | 56.0 |
| 4 | 9.6 | 30.4 |
| 5 | 18.6 | 111.4 |
| 6 | 18.6 | 76.4 |
| 7 | 18.5 | 41.5 |
| 8 | 18.4 | 12.4 |
| 9 | 25.4 | 124.6 |
| 10 | 24.8 | 95.2 |
| 11 | 25.1 | 44.9 |
| 12 | 25.0 | 13.2 |
| Test Number | Feed per Tooth fz, mm/tooth | Radial Infeed ae, mm |
|---|---|---|
| 1 | 0.08 | 0.7 |
| 2 | 0.10 | 0.4 |
| 3 | 0.06 | 0.7 |
| 4 | 0.08 | 1.0 |
| 5 | 0.08 | 0.7 |
| 6 | 0.06 | 0.4 |
| 7 | 0.08 | 0.7 |
| 8 | 0.10 | 1.0 |
| 9 | 0.06 | 1.0 |
| 10 | 0.08 | 0.7 |
| 11 | 0.08 | 0.7 |
| 12 | 0.08 | 0.4 |
| 13 | 0.10 | 0.7 |
| Term | DF | Seq SS | C (%) | Adj SS | Adj MS | F-Value | p-Value |
|---|---|---|---|---|---|---|---|
| Model | 6 | 3,963,639 | 90.38% | 3,963,639 | 660,607 | 158.12 | 0.000 |
| Linear | 4 | 3,851,565 | 87.82% | 3,619,393 | 904,848 | 216.57 | 0.000 |
| R | 1 | 17,337 | 0.40% | 125,175 | 125,175 | 29.96 | 0.000 |
| MAR | 1 | 3,319,034 | 75.68% | 3,047,914 | 3,047,914 | 729.51 | 0.000 |
| fz | 1 | 62,446 | 1.42% | 62,446 | 62,446 | 14.95 | 0.000 |
| ae | 1 | 452,747 | 10.32% | 468,953 | 468,953 | 112.24 | 0.000 |
| Square | 1 | 40,969 | 0.93% | 40,969 | 40,969 | 9.81 | 0.002 |
| R∙R | 1 | 40,969 | 0.93% | 40,969 | 40,969 | 9.81 | 0.002 |
| 2-Way | 1 | 71,105 | 1.62% | 71,105 | 71,105 | 17.02 | 0.000 |
| MAR∙ae | 1 | 71,105 | 1.62% | 71,105 | 71,105 | 17.02 | 0.000 |
| Error | 101 | 421,979 | 9.62% | 421,979 | 4178 | ||
| Total | 107 | 4,385,618 | 100.00% |
| Term | DF | Seq SS | C (%) | Adj SS | Adj MS | F-Value | p-Value |
|---|---|---|---|---|---|---|---|
| Model | 6 | 5,320,906 | 87.19% | 5,320,906 | 886,818 | 114.61 | 0.000 |
| Linear | 4 | 5,142,031 | 84.26% | 4,829,506 | 1,207,376 | 156.03 | 0.000 |
| R | 1 | 49,224 | 0.81% | 228,537 | 228,537 | 29.53 | 0.000 |
| MAR | 1 | 4,315,226 | 70.71% | 3,934,427 | 3,934,427 | 508.46 | 0.000 |
| fz | 1 | 53,087 | 0.87% | 53,087 | 53,087 | 6.86 | 0.010 |
| ae | 1 | 724,495 | 11.87% | 749,672 | 749,672 | 96.88 | 0.000 |
| Square | 1 | 71,187 | 1.17% | 71,187 | 71,187 | 9.20 | 0.003 |
| R∙R | 1 | 71,187 | 1.17% | 71,187 | 71,187 | 9.20 | 0.003 |
| 2-Way | 1 | 107,688 | 1.76% | 107,688 | 107,688 | 13.92 | 0.000 |
| MAR∙ae | 1 | 107,688 | 1.76% | 107,688 | 107,688 | 13.92 | 0.000 |
| Error | 101 | 781,524 | 12.81% | 781,524 | 7738 | ||
| Total | 107 | 6,102,430 | 100.00% |
Disclaimer/Publisher’s Note: The statements, opinions and data contained in all publications are solely those of the individual author(s) and contributor(s) and not of MDPI and/or the editor(s). MDPI and/or the editor(s) disclaim responsibility for any injury to people or property resulting from any ideas, methods, instructions or products referred to in the content. |
© 2023 by the authors. Licensee MDPI, Basel, Switzerland. This article is an open access article distributed under the terms and conditions of the Creative Commons Attribution (CC BY) license (https://creativecommons.org/licenses/by/4.0/).
Share and Cite
Żyłka, Ł.; Flejszar, R.; Lajmert, P. Influence of Cutting-Edge Microgeometry on Cutting Forces in High-Speed Milling of 7075 Aluminum Alloy. Materials 2023, 16, 3859. https://doi.org/10.3390/ma16103859
Żyłka Ł, Flejszar R, Lajmert P. Influence of Cutting-Edge Microgeometry on Cutting Forces in High-Speed Milling of 7075 Aluminum Alloy. Materials. 2023; 16(10):3859. https://doi.org/10.3390/ma16103859
Chicago/Turabian StyleŻyłka, Łukasz, Rafał Flejszar, and Paweł Lajmert. 2023. "Influence of Cutting-Edge Microgeometry on Cutting Forces in High-Speed Milling of 7075 Aluminum Alloy" Materials 16, no. 10: 3859. https://doi.org/10.3390/ma16103859
APA StyleŻyłka, Ł., Flejszar, R., & Lajmert, P. (2023). Influence of Cutting-Edge Microgeometry on Cutting Forces in High-Speed Milling of 7075 Aluminum Alloy. Materials, 16(10), 3859. https://doi.org/10.3390/ma16103859

