Multi-Hazard-Resistant Behavior of CFRP- and Polyurea-Retrofitted Reinforced Concrete Two-Column Piers under Combined Collision–Blast Loading
Abstract
1. Introduction
2. Numerical Modeling
2.1. Element Formulation
2.2. Material Models
2.2.1. Concrete
2.2.2. Steel
2.2.3. Air and Blast
2.2.4. Soil
2.2.5. CFRP
2.2.6. Polyurea
2.3. Contact Modeling
2.4. Validations of the Numerical Modeling Approach
3. Numerical Studies
3.1. Model Description
3.2. Simulation Results
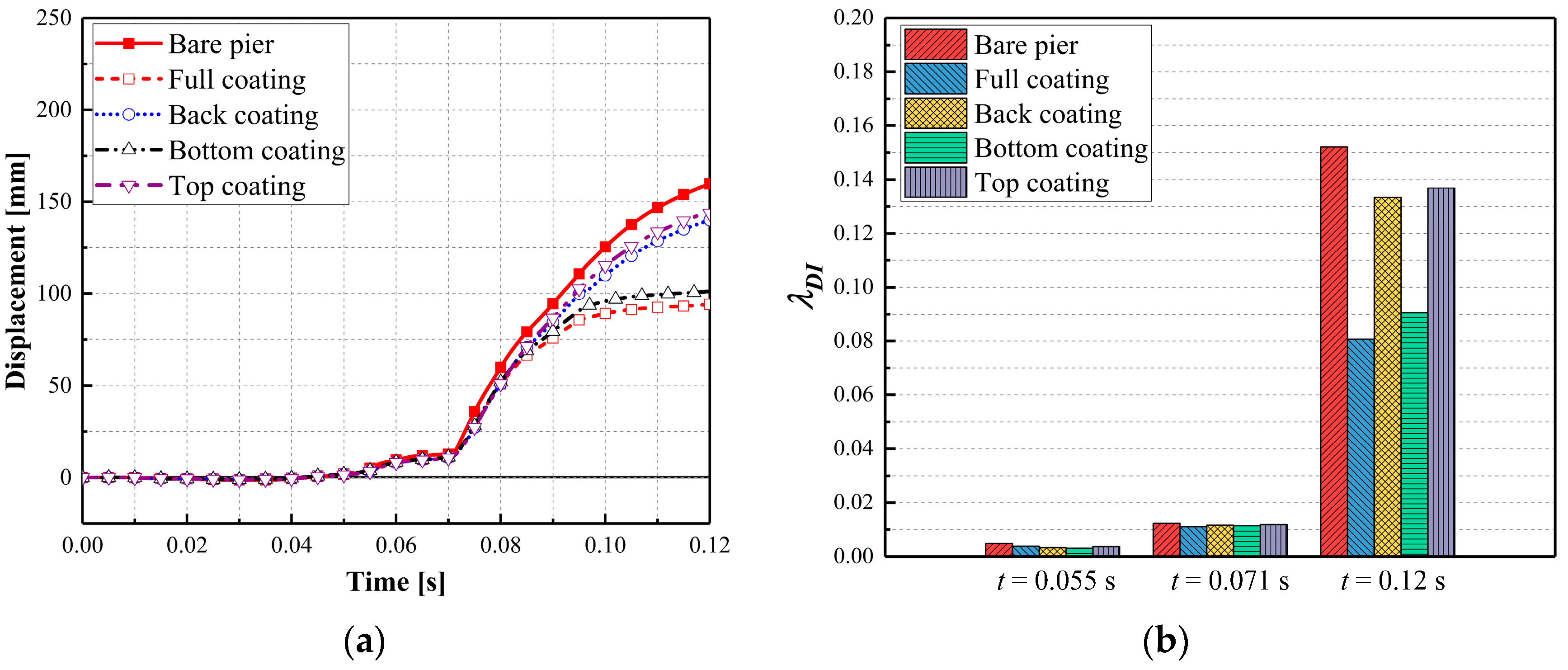
3.2.1. Pier Damage Accumulation
3.2.2. Pier Dynamic Behaviors
3.3. Parametric Sensitivity Analysis
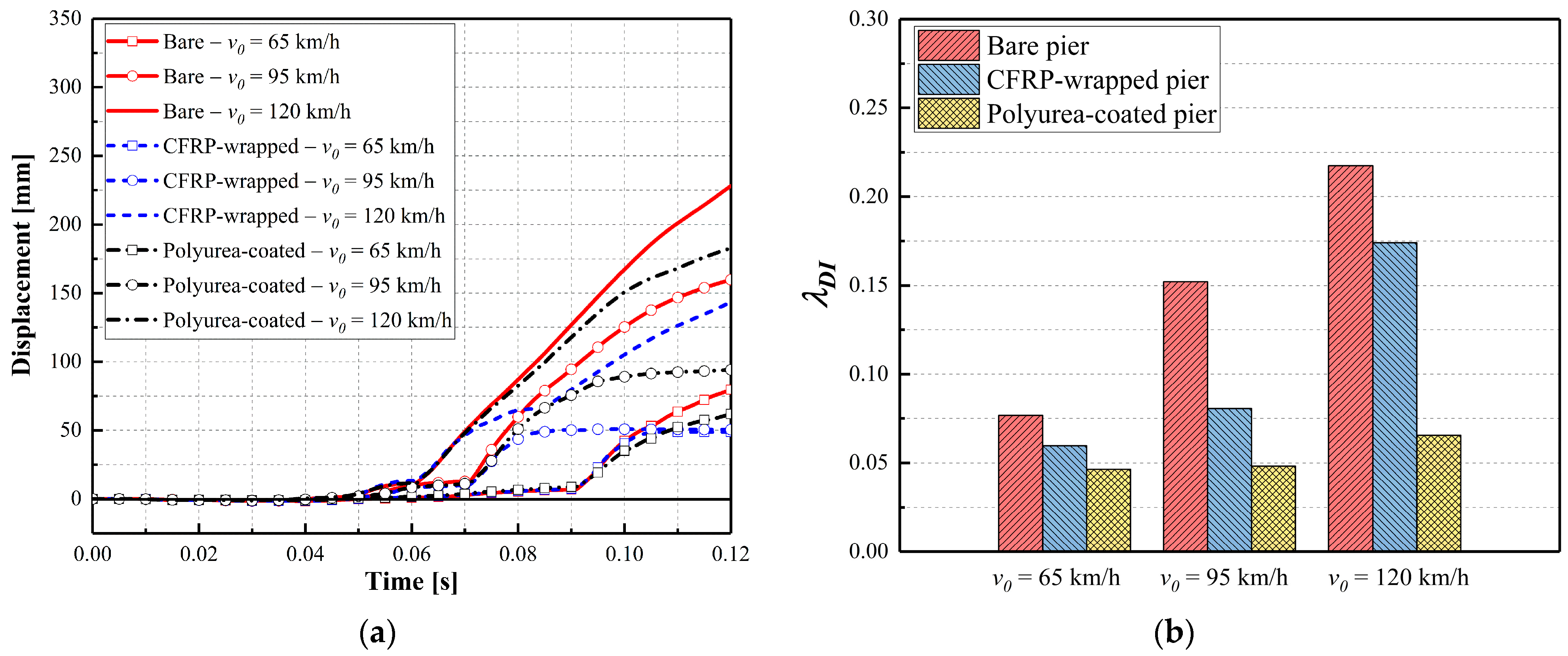
3.3.1. Effect of the Truck Velocity
3.3.2. Effect of the CFRP Strength
3.3.3. Effect of the CFRP Thickness
3.3.4. Effect of the Polyurea Thickness
3.3.5. Effect of the In Situ Retrofit Location
4. Summary and Conclusions
Author Contributions
Funding
Institutional Review Board Statement
Informed Consent Statement
Data Availability Statement
Acknowledgments
Conflicts of Interest
References
- AASHTO. AASHTO LRFD Bridge Design Specifications, 8th ed.; AASHTO: Washington, DC, USA, 2017. [Google Scholar]
- Tennessean News Archive. Available online: https://www.tennessean.com/story/news/local/williamson/2014/08/15/franklin-tanker-explosion-65/14097717/ (accessed on 15 August 2014).
- Harold, M. Pier protection. In Proceedings of the Final Design Workshop 2017, St. Paul, MN, USA, 2 February 2017; Minnesota Department of Transportation: St. Paul, MN, USA, 2017. [Google Scholar]
- Teng, J.; Chen, J.F.; Smith, S.T.; Lam, L. FRP: Strengthened RC structures. Front. Phys. 2002, 266–276. [Google Scholar]
- Mutalib, A.A.; Hao, H. Numerical analysis of FRP-composite-strengthened RC panels with anchorages against blast loads. J. Perform. Constr. Facil. 2010, 25, 360–372. [Google Scholar] [CrossRef]
- Sha, Y.; Hao, H. Laboratory tests and numerical simulations of CFRP strengthened RC pier subjected to barge impact load. Int. J. Struct. Stab. Dyn. 2015, 15, 1450037. [Google Scholar] [CrossRef]
- Xu, J.; Demartino, C.; Shan, B.; Heo, Y.; Xiao, Y. Experimental investigation on performance of cantilever CFRP-wrapped circular RC columns under lateral low-velocity impact. Compos. Struct. 2020, 242, 112143. [Google Scholar] [CrossRef]
- Swesi, A.O.; Cotsovos, D.M.; Val, D.V. Effect of CFRP strengthening on response of RC columns to lateral static and impact loads. Compos. Struct. 2022, 287, 115356. [Google Scholar] [CrossRef]
- Liu, Y.; Dong, A.; Zhao, S.; Zeng, Y.; Wang, Z. The effect of CFRP-shear strengthening on existing circular RC columns under impact loads. Constr. Build. Mater. 2021, 302, 124185. [Google Scholar] [CrossRef]
- Ali, J.; Yehya, T.; Jamal, K.; Ossama, B.; Said, K. The behavior of CFRP strengthened RC beams subjected to blast loading. Mag. Civ. Eng. 2021, 103, 10309. [Google Scholar]
- Yan, J.; Liu, Y.; Xu, Z.; Li, Z.; Huang, F. Experimental and numerical analysis of CFRP strengthened RC columns subjected to close-in blast loading. Int. J. Impact Eng. 2020, 146, 103720. [Google Scholar] [CrossRef]
- Hu, Y.; Chen, L.; Fang, Q.; Kong, X.; Shi, Y.; Cui, J. Study of CFRP retrofitted RC column under close-in explosion. Eng. Struct. 2021, 227, 111431. [Google Scholar] [CrossRef]
- Chen, C.C.; Linzell, D.G. Numerical Simulations of Dynamic Behavior of Polyurea Toughened Steel Plates under Impact Loading. J. Comput. Eng. 2014, 2014, 416049. [Google Scholar] [CrossRef]
- Raman, S.N.; Ngo, T.; Mendis, P.; Pham, T. Elastomeric polymers for retrofitting of reinforced concrete structures against the explosive effects of blast. Adv. Mater. Sci. Eng. 2012, 2012, 754142. [Google Scholar] [CrossRef]
- Iqbal, N.; Sharma, P.; Kumar, D.; Roy, P. Protective polyurea coatings for enhanced blast survivability of concrete. Constr. Build. Mater. 2018, 175, 682–690. [Google Scholar] [CrossRef]
- Baylot, J.T.; Bevins, T.L. Effect of responding and failing structural components on the air blast pressures and loads on and inside of the structure. Comput. Struct. 2007, 85, 891–910. [Google Scholar] [CrossRef]
- Bisby, L.; Kodur, V.; Green, M. Fire endurance of fiber-reinforced polymer-confined concrete. ACI Struct. J. 2005, 102, 883–891. [Google Scholar]
- Carey, N.L.; Myers, J.J.; Asprone, D.; Menna, C. Polyurea Coated and Plane Reinforced Concrete Panel Behavior under Blast Loading: Numerical Simulation to Experimental Results. Trends Civ. Eng. Its Archit. 2018, 1, 87–98. [Google Scholar]
- Hallquist, J. LS-DYNA Keyword User’s Manual; Version 971; ScienceOpen, Inc.: Livermore, CA, USA, 2007. [Google Scholar]
- LS-DYNA Aerospace Working Group. Modeling Guidelines Document Version 13-1; U.S. Department of Transportation, National Highway Traffic Safety Administration: Washington, DC, USA, 2013. [Google Scholar]
- Murray, Y.D. Users Manual for LS-DYNA Concrete Material Model 159; Publication No. FHWA-HRT-05-062; U.S. Department of Transportation: McLean, VA, USA, 2007. [Google Scholar]
- Murray, Y.D.; Abu-Odeh, A.Y.; Bligh, R.P. Evaluation of LS-DYNA Concrete Material Model 159; Publication No. FHWA-HRT-05-063; U.S. Department of Transportation: McLean, VA, USA, 2007. [Google Scholar]
- Sharma, H.; Gardoni, P.; Hurlebaus, S. Performance-based probabilistic capacity models and fragility estimates for RC columns subject to vehicle collision. Comput. Aided Civ. Infrastruct. Eng. 2015, 30, 555–569. [Google Scholar] [CrossRef]
- Fang, C.; Linzell, D.G.; Yosef, T.Y.; Rasmussen, J.D. Numerical Modeling and Performance Assessment of Bridge Column Strengthened by FRP and Polyurea under Combined Collision and Blast Loading. J. Compos. Constr. 2022, 26, 04022002. [Google Scholar] [CrossRef]
- Shi, Y.; Stewart, M.G. Spatial reliability analysis of explosive blast load damage to reinforced concrete columns. Struct. Saf. 2015, 53, 13–25. [Google Scholar] [CrossRef]
- Lewis, B.A. Manual for LS-DYNA Soil Material Model 147; U.S. Department of Transportation, National Highway Traffic Safety Administration: Washington, DC, USA, 2004. [Google Scholar]
- Reid, J.; Coon, B.; Lewis, B.; Sutherland, S.; Murray, Y. Evaluation of LS-DYNA Soil Material Model 147; U.S. Department of Transportation, National Highway Traffic Safety Administration: Washington, DC, USA, 2004. [Google Scholar]
- Yosef, T.Y.; Fang, C.; Faller, R.K.; Kim, S. A multi-material ALE model for investigating impact dynamics of pile-soil systems. Soil Dyn. Earthq. Eng. 2023, 164, 107648. [Google Scholar] [CrossRef]
- Roland, C.; Twigg, J.; Vu, Y.; Mott, P. High strain rate mechanical behavior of polyurea. Polymer 2007, 48, 574–578. [Google Scholar] [CrossRef]
- Dinan, R.; Fisher, J.; Hammons, M.I.; Porter, J.R. Failure Mechanisms in Unreinforced Concrete Masonry Walls Retrofitted with Polymer Coatings; Air Force Research Laboratory: Panama City, FL, USA, 2003. [Google Scholar]
- Fang, C.; Linzell, D.G.; Yosef, T.Y.; Rasmussen, J.D. Performance Evaluation of Highway Bridge Piers under Medium Truck Collision Combined with Air Blast. J. Perform. Constr. Facil. 2022, 36, 04021107. [Google Scholar] [CrossRef]
- Williamson, E.B. Blast-Resistant Highway Bridges: Design and Detailing Guidelines; Transportation Research Board: Washington, DC, USA, 2010; Volume 645. [Google Scholar]
- Heng, K.; Jia, P.; Xu, J.; Li, R.; Wu, H. Vehicular Impact Resistance of Highway Bridge with Seismically-Designed UHPC Pier. Eng. Struct. 2022, 252, 113635. [Google Scholar] [CrossRef]



















| Material | Parameters | |||
|---|---|---|---|---|
| Concrete | Mass density | Compressive strength | Maximum aggregate size | |
| 2380 kg/m3 | 28 MPa | 19 mm | ||
| Steel | Mass density | Elasticity modulus | Poisson’s ratio | Yield stress |
| 7830 kg/m3 | 2 × 105 MPa | 0.3 | 475 MPa | |
| Parameter | Specific Gravity | Bulk Modulus | Shear Modulus | Friction Angle | Cohesion |
|---|---|---|---|---|---|
| Value | 2.65 | 146 MPa | 56 MPa | 35° | 5 × 10−6 MPa |
| Parameter | Longitudinal Modulus | Transverse Modulus | In-Plane Shear Modulus | Out-of-Plane Shear Modulus | Poisson’s Ratio |
|---|---|---|---|---|---|
| Value | 118 GPa | 5.5 GPa | 4.8 GPa | 4.8 GPa | 0.0127 |
| Parameter | Longitudinal Tensile Strength | Transverse Tensile Strength | Longitudinal Compressive Strength | Transverse Compressive Strength | In-Plane Shear Strength |
| Value | 712.9 MPa | 1095 MPa | 26.4 MPa | 84.4 MPa | 84.3 MPa |
Disclaimer/Publisher’s Note: The statements, opinions and data contained in all publications are solely those of the individual author(s) and contributor(s) and not of MDPI and/or the editor(s). MDPI and/or the editor(s) disclaim responsibility for any injury to people or property resulting from any ideas, methods, instructions or products referred to in the content. |
© 2023 by the authors. Licensee MDPI, Basel, Switzerland. This article is an open access article distributed under the terms and conditions of the Creative Commons Attribution (CC BY) license (https://creativecommons.org/licenses/by/4.0/).
Share and Cite
Fang, C.; Yosef, T.Y.; Linzell, D.G. Multi-Hazard-Resistant Behavior of CFRP- and Polyurea-Retrofitted Reinforced Concrete Two-Column Piers under Combined Collision–Blast Loading. Materials 2023, 16, 3784. https://doi.org/10.3390/ma16103784
Fang C, Yosef TY, Linzell DG. Multi-Hazard-Resistant Behavior of CFRP- and Polyurea-Retrofitted Reinforced Concrete Two-Column Piers under Combined Collision–Blast Loading. Materials. 2023; 16(10):3784. https://doi.org/10.3390/ma16103784
Chicago/Turabian StyleFang, Chen, Tewodros Y. Yosef, and Daniel G. Linzell. 2023. "Multi-Hazard-Resistant Behavior of CFRP- and Polyurea-Retrofitted Reinforced Concrete Two-Column Piers under Combined Collision–Blast Loading" Materials 16, no. 10: 3784. https://doi.org/10.3390/ma16103784
APA StyleFang, C., Yosef, T. Y., & Linzell, D. G. (2023). Multi-Hazard-Resistant Behavior of CFRP- and Polyurea-Retrofitted Reinforced Concrete Two-Column Piers under Combined Collision–Blast Loading. Materials, 16(10), 3784. https://doi.org/10.3390/ma16103784

