Effect of Reduction Sequence during Rolling on Deformed Texture and Anisotropy of Ferritic Stainless Steel
Abstract
1. Introduction
2. Materials and Methods
3. Results and Discussion
3.1. Microstructure Analysis
3.2. Texture Analysis
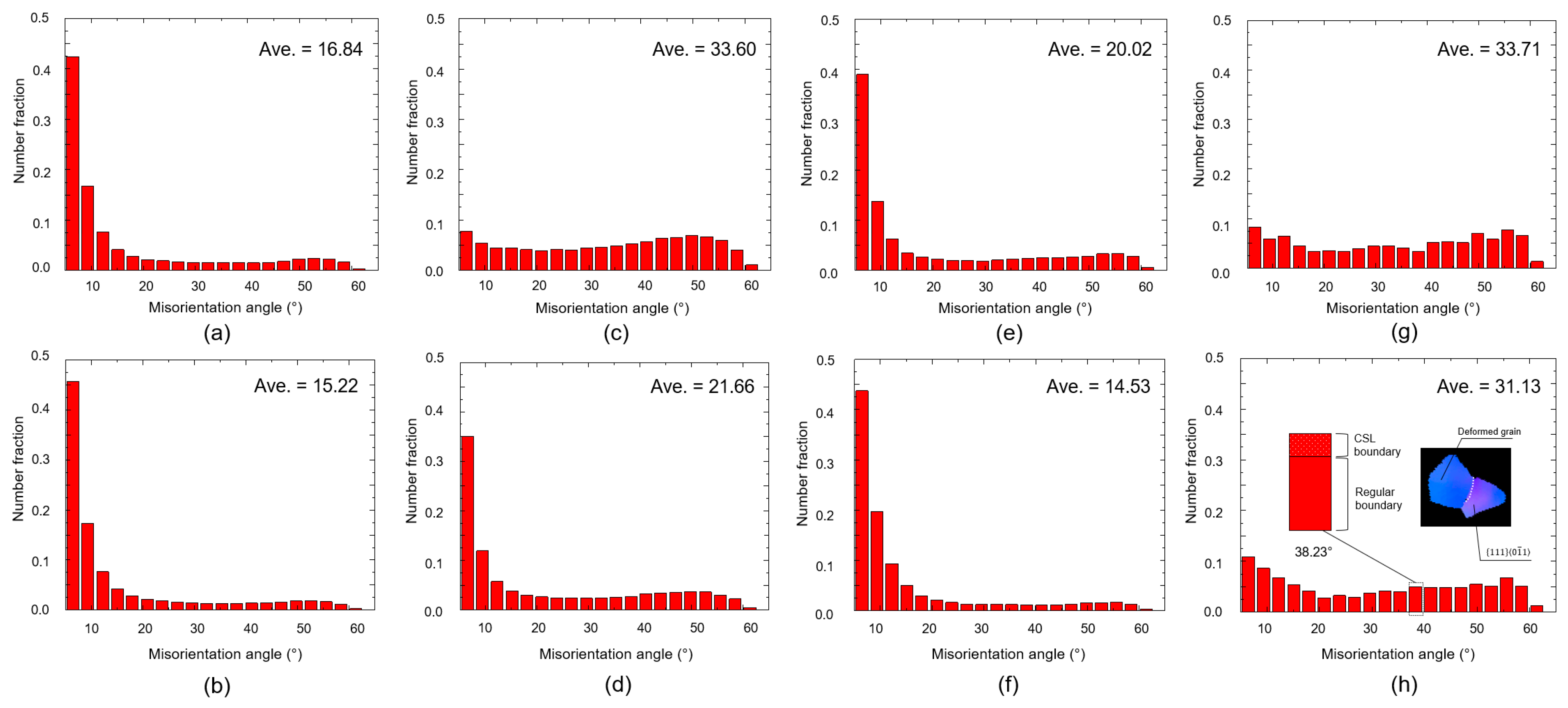
3.3. CSL Boundary Analysis
3.4. Plastic Anisotropy in Tension
3.5. Surface Ridging
4. Conclusions
Author Contributions
Funding
Institutional Review Board Statement
Informed Consent Statement
Data Availability Statement
Conflicts of Interest
References
- Di Schino, A. Manufacturing and Application of Stainless Steels. In Manufacturing and Application of Stainless Steels; MDPI: Basel, Switzerland, 2020; pp. 7–9. [Google Scholar] [CrossRef]
- Chen, W.F. Advanced Analysis of Steel Frames: Theory, Software, and Application; CRC Press: Boca Raton, FL, USA, 2018. [Google Scholar]
- Ma, X.; Zhao, J.; Du, W.; Zhang, X.; Jiang, L.; Jiang, Z. An Analysis of Ridging of Ferritic Stainless Steel 430. Mater. Sci. Eng. A 2017, 685, 358–366. [Google Scholar] [CrossRef]
- Karlsson, D.; Chou, C.Y.; Pettersson, N.H.; Helander, T.; Harlin, P.; Sahlberg, M.; Lindwall, G.; Odqvist, J.; Jansson, U. Additive Manufacturing of the Ferritic Stainless Steel SS441. Addit. Manuf. 2020, 36, 101580. [Google Scholar] [CrossRef]
- Nikkhah, S.; Mirzadeh, H.; Zamani, M. Fine Tuning the Mechanical Properties of Dual Phase Steel via Thermomechanical Processing of Cold Rolling and Intercritical Annealing. Mater. Chem. Phys. 2019, 230, 1–8. [Google Scholar] [CrossRef]
- Naghizadeh, M.; Mirzadeh, H. Processing of Fine Grained AISI 304L Austenitic Stainless Steel by Cold Rolling and High-Temperature Short-Term Annealing. Mater. Res. Express 2018, 5, 056529. [Google Scholar] [CrossRef]
- Jeong, C.S.; Park, J.H.; Han, S.I.; Kim, J.S. Shape Recognition Performance Analysis and Improvement in Sendzimir Rolling Mills. J. Mech. Sci. Technol. 2014, 28, 1455–1463. [Google Scholar] [CrossRef]
- Miadad, S.J.; Venugopalan, T.; Halder, N.; Kumar, B.R. On the Study of Batch Annealing Parameter Optimization for Higher Lankford Value in High Phosphorus Interstitial Free High Strength Steel. J. Mater. Eng. Perform. 2020, 29, 7598–7606. [Google Scholar] [CrossRef]
- Ray, R.K.; Jonas, J.J.; Hook, R.E. Cold Rolling and Annealing Textures in Low Carbon and Extra Low Carbon Steels. Int. Mater. Rev. 2012, 39, 129–172. [Google Scholar] [CrossRef]
- Shin, H.J.; An, J.K.; Park, S.H.; Lee, D.N. The Effect of Texture on Ridging of Ferritic Stainless Steel. Acta Mater. 2003, 51, 4693–4706. [Google Scholar] [CrossRef]
- Li, X.; Xia, W.; Yan, H.; Chen, J.; Su, B.; Song, M.; Li, Z.; Li, Y. Dynamic Recrystallization Behaviors of High Mg Alloyed Al-Mg Alloy during High Strain Rate Rolling Deformation. Mater. Sci. Eng. A 2019, 753, 59–69. [Google Scholar] [CrossRef]
- Ko, Y.G.; Hamad, K. Structural Features and Mechanical Properties of AZ31 Mg Alloy Warm-Deformed by Differential Speed Rolling. J. Alloys Compd. 2018, 744, 96–103. [Google Scholar] [CrossRef]
- Sun, G.; Du, L.; Hu, J.; Zhang, B.; Misra, R.D.K. On the Influence of Deformation Mechanism during Cold and Warm Rolling on Annealing Behavior of a 304 Stainless Steel. Mater. Sci. Eng. A 2019, 746, 341–355. [Google Scholar] [CrossRef]
- de Moura, A.N.; de Alcântara, C.M.; de Oliveira, T.R.; da Cunha, M.A.; Machado, M.L.P. Effect of Cold Rolling Reduction on Texture, Recrystallization and Mechanical Properties of UNS S32304 Lean Duplex Stainless Steel. Mater. Sci. Eng. A 2021, 802, 140577. [Google Scholar] [CrossRef]
- Tóth, L.S.; Molinari, A.; Raabe, D. Modeling of Rolling Texture Development in a Ferritic Chromium Steel. Metall. Mater. Trans. A Phys. Metall. Mater. Sci. 1997, 28, 2343–2351. [Google Scholar] [CrossRef]
- Keichel, J.; Foct, J.; Gottstein, G. Deformation and Annealing Behavior of Nitrogen Alloyed Duplex Stainless Steels. Part II: Annealing. ISIJ Int. 2003, 43, 1788–1794. [Google Scholar] [CrossRef]
- Huh, M.Y.; Lee, J.H.; Park, S.H.; Engler, O.; Raabe, D. Effect of Through-Thickness Macro and Micro-Texture Gradients on Ridging of 17%Cr Ferritic Stainless Steel Sheet. Steel Res. Int. 2005, 76, 797–806. [Google Scholar] [CrossRef]
- Mehdi, M.; He, Y.; Hilinski, E.J.; Kestens, L.A.I.; Edrisy, A. The Evolution of Cube ({001}<100>) Texture in Non-Oriented Electrical Steel. Acta Mater. 2020, 185, 540–554. [Google Scholar] [CrossRef]
- Huh, M.Y.; Engler, O. Effect of Intermediate Annealing on Texture, Formability and Ridging of 17%Cr Ferritic Stainless Steel Sheet. Mater. Sci. Eng. A 2001, 308, 74–87. [Google Scholar] [CrossRef]
- Ma, X.; Zhao, J.; Du, W.; Zhang, X.; Jiang, Z. Effects of Rolling Processes on Ridging Generation of Ferritic Stainless Steel. Mater. Charact. 2018, 137, 201–211. [Google Scholar] [CrossRef]
- Kestens, L.; Jonas, J.J. Modeling Texture Change during the Static Recrystallization of Interstitial Free Steels. Metall. Mater. Trans. A 1996, 27, 155–164. [Google Scholar] [CrossRef]
- Taheri, M.L.; Molodov, D.; Gottstein, G.; Rollett, A.D. Grain Boundary Mobility under a Stored-Energy Driving Force: A Comparison to Curvature-Driven Boundary Migration. Int. J. Mater. Res. 2005, 96, 1166–1170. [Google Scholar] [CrossRef]
- Malta, P.O.; Alves, D.S.; Ferreira, A.O.V.; Moutinho, I.D.; Dias, C.A.P.; Santos, D.B. Static Recrystallization Kinetics and Crystallographic Texture of Nb-Stabilized Ferritic Stainless Steel Based on Orientation Imaging Microscopy. Metall. Mater. Trans. A Phys. Metall. Mater. Sci. 2017, 48, 1288–1309. [Google Scholar] [CrossRef]
- Xu, H.; Xu, Y.; He, Y.; Yue, S.; Li, J. Tracing the Recrystallization of Warm Temper-Rolled Fe–6.5 Wt% Si Non-Oriented Electrical Steel Using a Quasi in Situ EBSD Technique. J. Mater. Sci. 2020, 55, 17183–17203. [Google Scholar] [CrossRef]
- Gangli, P.; Kestens, L.; Jonas, J.J. The Role of Coincident Site Lattice Boundaries during Selective Growth in Interstitial-Free Steels. Metall. Mater. Trans. A Phys. Metall. Mater. Sci. 1996, 27, 2178–2186. [Google Scholar] [CrossRef]
- Kestens, L.; Jonas, J.J. Modelling Texture Change during the Static Recrystallization of a Cold Rolled and Annealed Ultra Low Carbon Steel Previously Warm Rolled in the Ferrite Region. ISIJ Int. 1997, 37, 807–814. [Google Scholar] [CrossRef]
- Vadavadagi, B.H.; Bhujle, H.V.; Khatirkar, R.K.; Shekhawat, S.K. Microstructural Correlation with Formability Aspects of Low Carbon Steels during Deep Drawing Operations. Mater. Charact. 2021, 178, 111267. [Google Scholar] [CrossRef]
- Baek, S.M.; Kim, J.G.; Yoon, J.I.; Seo, M.H.; Cho, W.T.; Chin, K.G.; Lee, S.; Kim, H.S. Deep Drawing Behavior of Twinning-Induced Plasticity-Cored Three-Layer Steel Sheet. Int. J. Mater. Form. 2018, 11, 11–18. [Google Scholar] [CrossRef]
- Gerlt, A.R.C.; Picard, R.S.; Saurber, A.E.; Criner, A.K.; Semiatin, S.L.; Payton, E.J. A Transfer Function for Relating Mean 2D Cross-Section Measurements to Mean 3D Particle Sizes. Metall. Mater. Trans. A Phys. Metall. Mater. Sci. 2018, 49, 4424–4428. [Google Scholar] [CrossRef]
- Da Costa Viana, C.S.; Pinto, A.L.; Candido, F.S.; Matheus, R.G. Analysis of Ridging in Three Ferritic Stainless Steel Sheets. Mater. Sci. Technol. 2006, 22, 293–300. [Google Scholar] [CrossRef]
- Kodukula, S.; Petäjäjärvi, M.; Savolainen, J.; Fabritius, T.; Porter, D. Influence of Calcium Treatment and Electromagnetic Stirring on Ridging in Dual-Stabilized Ferritic Stainless Steels. Steel Res. Int. 2021, 92, 2000445. [Google Scholar] [CrossRef]
- Lu, C.; Fang, Z.; Li, J. Influence of Differential Speed Rolling Ratio on the Ridging Behavior of Ultra Purified 17%Cr Ferritic Stainless Steel. Mater. Charact. 2018, 135, 257–264. [Google Scholar] [CrossRef]
- Suehiro, R.; Hayakawa, Y.; Takamiya, T. Effect of Sn Addition on Evolution of Primary Recrystallization Texture in 3% Si Steel. ISIJ Int. 2019, 59, 351–358. [Google Scholar] [CrossRef]
- Ishimoto, T.; Wu, S.; Ito, Y.; Sun, S.H.; Amano, H.; Nakano, T. Crystallographic Orientation Control of 316L Austenitic Stainless Steel via Selective Laser Melting. ISIJ Int. 2020, 60, 1758–1764. [Google Scholar] [CrossRef]
- Min, K.M.; Jeong, W.; Hong, S.H.; Lee, C.A.; Cha, P.R.; Han, H.N.; Lee, M.G. Integrated Crystal Plasticity and Phase Field Model for Prediction of Recrystallization Texture and Anisotropic Mechanical Properties of Cold-Rolled Ultra-Low Carbon Steels. Int. J. Plast. 2020, 127, 102644. [Google Scholar] [CrossRef]







| C | N | Si | Mn | Ni | Cr | Ti | Fe |
|---|---|---|---|---|---|---|---|
| 0.006 | 0.008 | 0.156 | 0.276 | 0.115 | 17.463 | 0.273 | Bal. |
| Route | Initial Thickness | 1st Rolling | IA | 2nd Rolling | FA | Final Thickness | Total Reduction |
|---|---|---|---|---|---|---|---|
| A | 3.0 mm | 67% (5-pass) | 950 °C, 45 s | 50% (3-pass) | 950 °C, 45 s | 0.5 mm | 83% |
| B | 3.0 mm | 50% (3-pass) | 950 °C, 45 s | 67% (5-pass) | 950 °C, 45 s | 0.5 mm | 83% |
| Route | r-Value | rm | Δr | ||
|---|---|---|---|---|---|
| A | ![]() | r0 | 1.49 ± 0.01 | 1.69 ± 0.003 | 0.89 ± 0.05 |
| r45 | 1.24 ± 0.01 | ||||
| r90 | 2.78 ± 0.01 | ||||
| B | r0 | 2.25 ± 0.01 | 1.93 ± 0.02 | 0.87 ± 0.045 | |
| r45 | 1.50 ± 0.01 | ||||
| r90 | 2.50 ± 0.01 | ||||
| Route | Ridging Topography | Roughness (Rt = ymax − ymin) (μm) |
|---|---|---|
| A | ![]() | 8.37 ± 0.01 |
| B | ![]() | 5.64 ± 0.01 |
Disclaimer/Publisher’s Note: The statements, opinions and data contained in all publications are solely those of the individual author(s) and contributor(s) and not of MDPI and/or the editor(s). MDPI and/or the editor(s) disclaim responsibility for any injury to people or property resulting from any ideas, methods, instructions or products referred to in the content. |
© 2023 by the authors. Licensee MDPI, Basel, Switzerland. This article is an open access article distributed under the terms and conditions of the Creative Commons Attribution (CC BY) license (https://creativecommons.org/licenses/by/4.0/).
Share and Cite
Cho, S.H.; Lee, Y.J.; Bahanan, W.; Oh, J.M.; Kim, D.-J.; Kang, J.-H.; Ryu, J.; Widiantara, I.P.; Ko, Y.G. Effect of Reduction Sequence during Rolling on Deformed Texture and Anisotropy of Ferritic Stainless Steel. Materials 2023, 16, 3767. https://doi.org/10.3390/ma16103767
Cho SH, Lee YJ, Bahanan W, Oh JM, Kim D-J, Kang J-H, Ryu J, Widiantara IP, Ko YG. Effect of Reduction Sequence during Rolling on Deformed Texture and Anisotropy of Ferritic Stainless Steel. Materials. 2023; 16(10):3767. https://doi.org/10.3390/ma16103767
Chicago/Turabian StyleCho, Sang Heon, Young Jin Lee, Warda Bahanan, Jeong Moo Oh, Dong-Ju Kim, Jee-Hyun Kang, Jungho Ryu, I Putu Widiantara, and Young Gun Ko. 2023. "Effect of Reduction Sequence during Rolling on Deformed Texture and Anisotropy of Ferritic Stainless Steel" Materials 16, no. 10: 3767. https://doi.org/10.3390/ma16103767
APA StyleCho, S. H., Lee, Y. J., Bahanan, W., Oh, J. M., Kim, D.-J., Kang, J.-H., Ryu, J., Widiantara, I. P., & Ko, Y. G. (2023). Effect of Reduction Sequence during Rolling on Deformed Texture and Anisotropy of Ferritic Stainless Steel. Materials, 16(10), 3767. https://doi.org/10.3390/ma16103767




