Adsorption–Desorption Behavior of Hydrogen Sulfide Capture on a Modified Activated Carbon Surface
Abstract
1. Introduction
2. Methodology
2.1. Materials
2.2. Adsorbent Modifications
2.3. H2S Adsorption–Desorption
2.4. Behavior Mechanism on Prepared Adsorbents and Adsorption–Desorption Process
2.5. Behavior Mechanism Study
3. Results and Discussion
3.1. Effect of pH and Their Behavior in Adsorbents Synthesize
3.2. Adsorption–Desorption Behavior
- (a)
- SEM-EDX analysis
- (b)
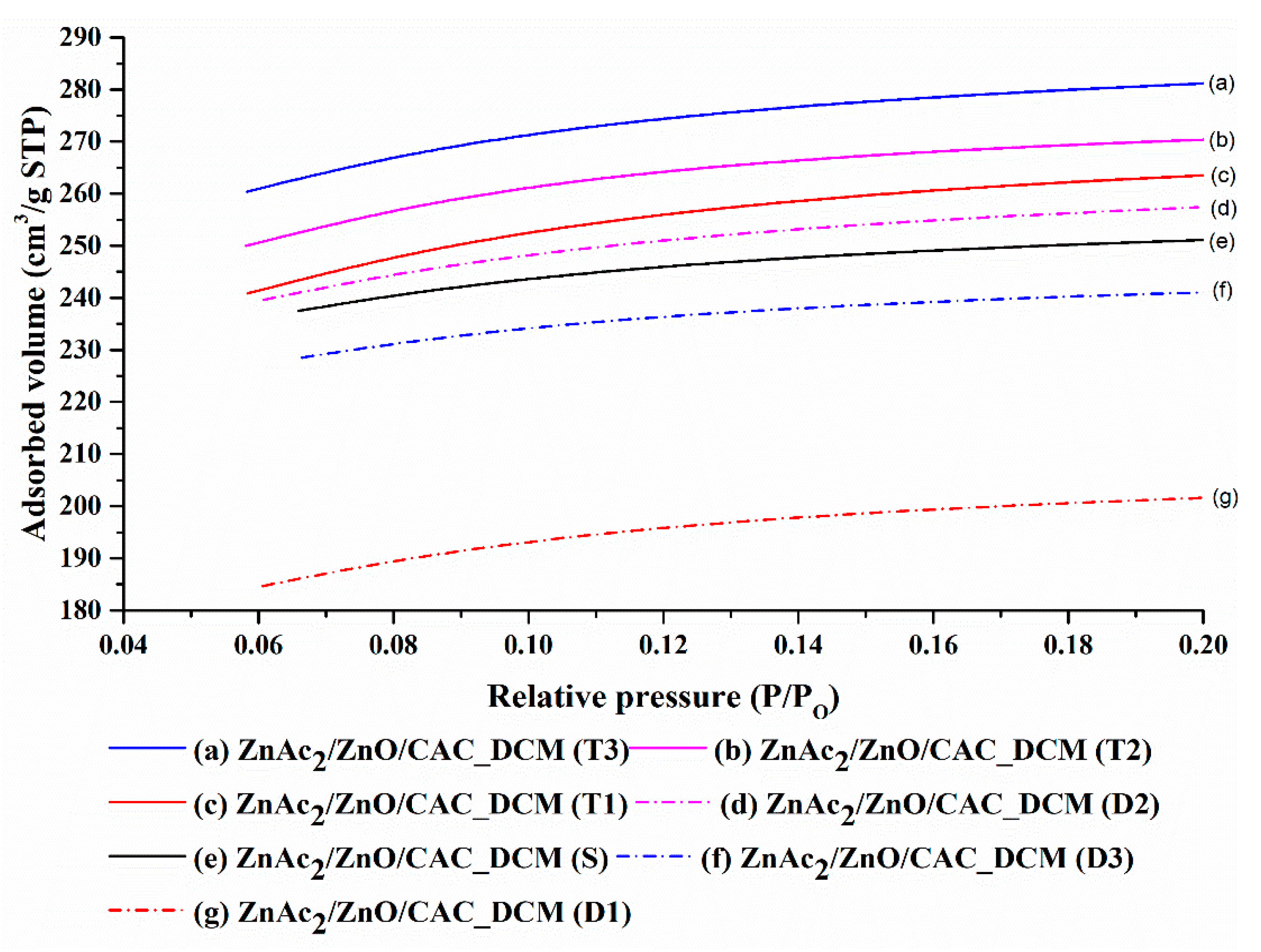
- BET analysis
- (c)
- FTIR analysis
3.3. Adsorbent Performance in H2S Adsorption–Desorption
4. Conclusions
Author Contributions
Funding
Institutional Review Board Statement
Informed Consent Statement
Data Availability Statement
Conflicts of Interest
References
- Chen, Q.J.; Wang, Z.; Long, D.H.; Liu, X.J.; Zhan, L.; Lian, X.Y.; Qiao, W.M.; Ling, L.C. Role of pore structure of activated carbon fibers in the catalytic oxidation of H2S. Ind. Eng. Chem. Res. 2010, 49, 3152–3159. [Google Scholar] [CrossRef]
- Khabazipour, M.; Anbia, M. Removal of hydrogen sulfide from gas streams using porous materials: A review. Ind. Eng. Chem. Res. 2019, 58, 22133–22164. [Google Scholar] [CrossRef]
- Chen, F.E.; Mandel, R.M.; Woods, J.J.; Lee, J.-H.; Kim, J.; Hsu, J.H.; Fuentes-Rivera, J.J.; Wilson, J.J.; Milner, P.J. Biocompatible metal–organic frameworks for the storage and therapeutic delivery of hydrogen sulfide. Chem. Sci. 2021, 12, 7848–7857. [Google Scholar] [CrossRef]
- Johari, A.; Ahmed, S.I.; Hashim, H.; Alkali, H.; Ramli, M. Economic and environmental benefits of landfill gas from municipal solid waste in Malaysia. Renew. Sustain. Energy Rev. 2012, 16, 2907–2912. [Google Scholar] [CrossRef]
- Watanabe, S. Chemistry of H2S over the surface of common solid sorbents in industrial natural gas desulfurization. Catal. Today 2020, 371, 204–220. [Google Scholar] [CrossRef]
- Comite, A.; Costa, C.; Demartini, M.; DiFelice, R.; Rotondi, M. Rate of CO2 transfer to loaded MEA solutions using a membrane contactor device. Int. J. Greenh. Gas Control 2016, 52, 378–386. [Google Scholar] [CrossRef]
- Comite, A.; Costa, C.; Demartini, M.; DiFelice, R.; Oliva, M. Exploring CO2 capture from pressurized industrial gaseous effluents in a membrane contactor-based pilot plant. Int. J. Greenh. Gas Control 2017, 67, 60–70. [Google Scholar] [CrossRef]
- Tian, X.-F.; Wang, L.-M.; Fu, D. Absorption and removal efficiency of low-partial-pressure H2S in a tetramethylammonium glycinate activated N-methyldiethanolamine aqueous solution. Energy Fuels 2019, 33, 8413–8422. [Google Scholar] [CrossRef]
- Wang, T.; Hu, B.; Li, J.-W.; Nie, L.-H.; Tan, J.-J. Removal of hydrogen sulfide by hydroxyl-ferric oxide in a slurry reactor at low temperature. Ind. Eng. Chem. Res. 2020, 59, 1402–1412. [Google Scholar] [CrossRef]
- Okoro, O.V.; Sun, Z. Desulphurisation of biogas: A systematic qualitative and economic-based quantitative review of alternative strategies. Chem. Eng. 2019, 3, 76. [Google Scholar] [CrossRef]
- Georgiadis, A.G.; Charisiou, N.D.; Goula, M.A. Removal of hydrogen sulfide from various industrial gases: A review of the most promising adsorbing materials. Catalysts 2020, 10, 521. [Google Scholar] [CrossRef]
- Bhatt, P.M.; Belmabkhout, Y.; Assen, A.H.; Weselinski, Ł.J.; Jiang, H.; Cadiau, A.; Xue, D.-X.; Eddaoudi, M. Isoreticular rare earth fcu-MOFs for the selective removal of H2S from CO2 containing gases. Chem. Eng. J. 2017, 324, 392–396. [Google Scholar] [CrossRef]
- Hamon, L.; Serre, C.; Devic, T.; Loiseau, T.; Millange, F.; Ferey, G.; Weireld, G.D. Comparative study of hydrogen sulfide adsorption in the MIL-53(Al, Cr, Fe), MIL-47(V), MIL-100(Cr), and MIL-101(Cr) metalorganic frameworks at room temperature. J. Am. Chem. Soc. 2009, 131, 8775–8777. [Google Scholar] [CrossRef] [PubMed]
- Petit, C.; Mendoza, B.; Bandosz, T.J. Hydrogen sulfide adsorption on MOFs and MOF/graphite oxide composites. ChemPhysChem 2010, 11, 3678–3684. [Google Scholar] [CrossRef]
- De Oliveira, L.H.; Meneguin, J.G.; Pereira, M.V.; do Nascimento, J.F.; Arroyo, P.A. Adsorption of hydrogen sulfide, carbon dioxide, methane, and their mixtures on activated carbon. Chem. Eng. Commun. 2019, 206, 1533–1553. [Google Scholar] [CrossRef]
- Sumida, K.; Rogow, D.L.; Mason, J.A.; McDonald, T.M.; Bloch, E.D.; Herm, Z.R.; Bae, T.-H.; Long, J.R. Carbon dioxide capture by metal organic frameworks. Chem. Rev. 2012, 112, 724–781. [Google Scholar] [CrossRef]
- Forster, H.; Schuldt, M. Infrared spectroscopic study of the adsorption of hydrogen sulfide on zeolites NaA and NaCaA. J. Colloid Interface Sci. 1975, 52, 380–385. [Google Scholar] [CrossRef]
- Maugé, F.; Sahibed-Dine, A.; Gaillard, M.; Ziolek, M. Modification of the acidic properties of NaY zeolite by H2S Adsorption—An infrared study. J. Catal. 2002, 207, 353–360. [Google Scholar] [CrossRef]
- Grande, C.A.; Blom, R.; Moller, A.; Möllmer, J. High-pressure separation of CH4/CO2 using activated carbon. Chem. Eng. Sci. 2013, 89, 10–20. [Google Scholar] [CrossRef]
- Garshasbi, V.; Jahangiri, M.; Anbia, M. Equilibrium CO2 adsorption on zeolite 13X prepared from natural clays. Appl. Surf. Sci. 2017, 393, 225–233. [Google Scholar] [CrossRef]
- Hamon, L.; Frere, M.; De Weireld, G. Development of a new apparatus for gas mixture adsorption measurements coupling gravimetric and chromatographic techniques. Adsorption 2008, 14, 493–499. [Google Scholar] [CrossRef]
- Somy, A.; Mehrnia, M.R.; Amrei, H.D.; Ghanizadeh, A.; Safari, M. Adsorption of carbon dioxide using impregnated activated carbon promoted by zinc. Int. J. Greenh. Gas Control 2009, 3, 249–254. [Google Scholar] [CrossRef]
- Vargas, D.P.; Giraldo, L.; Moreno-Pirajan, J.C. Carbon dioxide and methane adsorption at high pressure on activated carbon materials. Adsorption 2013, 19, 1075–1082. [Google Scholar] [CrossRef]
- Wang, J.; Zhang, P.; Liu, L.; Zhang, Y.; Yang, J.; Zeng, Z.; Deng, S. Controllable synthesis of bifunctional porous carbon for efficient gas-mixture separation and high-performance supercapacitor. Chem. Eng. J. 2018, 348, 57–66. [Google Scholar] [CrossRef]
- Zhang, P.; Zhong, Y.; Ding, J.; Wang, J.; Xu, M.; Deng, Q.; Zeng, Z.; Deng, S. A new choice of polymer precursor for solvent-free method: Preparation of Nenriched porous carbons for highly selective CO2 capture. Chem. Eng. J. 2019, 355, 963–973. [Google Scholar] [CrossRef]
- Adib, F.; ABagreev, T.J. Bandosz, Effect of pH and surface chemistry on the mechanism of H2S removal by activated carbons. J. Colloid Interface Sci. 1999, 216, 360–369. [Google Scholar] [CrossRef]
- Bandosz, T.J. Effect of pore structure and surface chemistry of virgin activated carbons on removal of hydrogen sulfide. Carbon 1999, 37, 483–491. [Google Scholar] [CrossRef]
- Bagreev, A.; Adib, F.; Bandosz, T.J. pH of activated carbon surface as an indication of its suitability for H2S removal from moist air streams. Carbon 2001, 39, 1897–1905. [Google Scholar] [CrossRef]
- Zulkefli, N.N.; Masdar, M.S.; Wan Isahak, W.N.R.; Md Jahim, J.; Md Rejab, S.A.; Chien Lye, C. Removal of hydrogen sulfide from a biogas mimic by using impregnated activated carbon adsorbent. PLoS ONE 2019, 14, e0211713. [Google Scholar] [CrossRef]
- Zulkefli, N.N.; Mathuray Veeran, L.S.; Noor Azam, A.M.I.; Masdar, M.S.; Wan Isahak, W.N.R. Effect of Bimetallic-Activated Carbon Impregnation on Adsorption– Desorption Performance for Hydrogen Sulfide (H2S) Capture. Materials 2022, 15, 5409. [Google Scholar] [CrossRef]
- Zulkefli, N.N.; Seladorai, R.; Masdar, M.S.; Mohd Sofian, N.; Wan Isahak, W.N.R. Core Shell Nanostructure: Impregnated Activated Carbon as Adsorbent for Hydrogen Sulfide Adsorption. Molecules 2022, 27, 1145. [Google Scholar] [CrossRef] [PubMed]
- Zulkefli, N.N.; Masdar, M.S.; Wan Isahak, W.N.R.; Abu Bakar, S.N.H.; Abu Hasan, H.; Mohd Sofian, N. Application of Response Surface Methodology for Preparation of ZnAC2/CAC Adsorbents for Hydrogen Sulfide (H2S) Capture. Catalysts 2021, 11, 545. [Google Scholar] [CrossRef]
- Yan, R.; Liang, D.T.; Tsen, L.; Tay, J.H. Kinetics and mechanisms of H2S adsorption by alkaline activated carbon. Environ. Sci. Technol. 2002, 36, 4460–4466. [Google Scholar] [CrossRef] [PubMed]
- Chiang, H.L.; Tsai, J.H.; Tsai, C.L.; Hsu, Y.C. Adsorption characteristics of alkaline activated carbon exemplified by water vapor, H2S, and CH3SH gas. Sep. Sci. Technol. 2000, 35, 903–918. [Google Scholar] [CrossRef]
- Yan, R.; Chin, T.; Ng, Y.L.; Duan, H.; Liang, D.T.; Tay, J.H. Influence of surface properties on the mechanism of H2S removal by alkaline activated carbons. Environ. Sci. Technol. 2004, 38, 316–323. [Google Scholar] [CrossRef]
- Nakamura, T.; Kawasaki, N.; Hirata, M.; Oida, Y.; Tanada, S. Adsorption of Hydrogen Sulfide by Zinc-Containing Activated carbon. Toxicol. Environ. Chem. 2002, 82, 93–98. [Google Scholar] [CrossRef]
- Sitthikhankaew, R.; Chadwick, D.; Assabumrungrat, S.; Laosiripojana, N. Effect of KI and KOH Impregnations over Activated Carbon on H2S Adsorption Performance at Low and High Temperatures. Sep. Sci. Technol. 2014, 49, 354–366. [Google Scholar] [CrossRef]
- Basyooni, M.A.; Zaki, S.E.; Alfryyan, N.; Tihtih, M.; Eker, Y.R.; Attia, G.F.; Yılmaz, M.; Ates, S.; Shaban, M. Nanostructured MoS2 and WS2 Photoresponses under Gas Stimuli. Nanomaterials 2022, 12, 3585. [Google Scholar] [CrossRef]
- Basyooni, M.A.; Shaban, M.; El Sayed, A.M. Enhanced Gas Sensing Properties of Spin-coated Na-doped ZnO Nanostructured Films. Sci. Rep. 2016, 7, 41716. [Google Scholar] [CrossRef]
- Boudou, J.P.; Chehimi, M.; Broniek, E.; Siemieniewska, T.; Bimer, J. Adsorption of H2S or SO2 on an activated carbon cloth modified by ammonia treatment. Carbon 2003, 41, 1999–2007. [Google Scholar] [CrossRef]
- Huang, C.; Chen, C.; Chu, S. Effect of moisture on H2S adsorption by copper impregnated activated carbon. J. Hazard. Mater. 2006, 136, 866–873. [Google Scholar] [CrossRef] [PubMed]
- Yusuf NY, M.; Masdar, M.S.; Isahak WN, R.W.; Nordin, D.; Husaini TMajlan, E.H.; Lye, C.C. Impregnated carbon–ionic liquid as innovative adsorbent for H2 /CO2 separation from biohydrogen. Int. J. Hydrog. Energy 2018, 44, 3414–3424. [Google Scholar] [CrossRef]
- Isik-Gulsac, I. Investigation of Impregnated Activated Carbon Properties Used in Hydrogen Sulfide Fine Removal. Braz. J. Chem. Eng. 2016, 33, 1021–1030. [Google Scholar] [CrossRef]
- Thommes, M.; Kaneko, K.; Neimark, A.V.; Olivier, J.P.; Rodriguez-Reinoso, F.; Rouquerol, J.; Sing, K.S.W. Physisorption of gases, with special reference to the evaluation of surface area and pore size distribution (IUPAC technical report). Pure Appl. Chem. 2015, 87, 1051–1069. [Google Scholar] [CrossRef]
- Shi, L.; Yang, K.; Zhao, Q.; Wang, H.; Cui, Q. Characterization and Mechanisms of H2S and SO2 Adsorption by Activated Carbon. Energy Fuels 2015, 29, 6678–6685. [Google Scholar] [CrossRef]
- Yu, T.; Chen, Z.; Liu, Z.; Xu, J.; Wang, Y. Review of Hydrogen Sulfide Removal from Various Industrial Gases by Zeolites. Separations 2022, 9, 229. [Google Scholar] [CrossRef]
- Shi, J.; Wang, Y.; Yu, X.; Du, W.; Hou, Z. Production of 2,5-dimethylfuran from 5-hydroxymethylfurfural over reduced graphene oxides supported Pt catalyst under mild conditions. Fuel 2016, 163, 74–79. [Google Scholar] [CrossRef]
- Petrovic, B.; Gorbounov, M.; Masoudi Soltani, S. Influence of surface modification on selective CO2 adsorption: A technical review on mechanisms and methods. Microporous Mesoporous Mater. 2021, 312, 110751. [Google Scholar] [CrossRef]
- Wang, J.; Ju, F.; Han, L.; Qin, H.; Hu, Y.; Chang, L.; Bao, W. Effect of activated carbon supports on removing H2S from coal-based gases using Mn-based sorbents. Energy Fuels 2015, 29, 488–495. [Google Scholar] [CrossRef]
- Jurablu, S.; Farahmandjou, M.; Firoozabadi, T.P. Sol-Gel Synthesis of Zinc Oxide (ZnO) Nanoparticles: Study of Structural and Optical Properties. J. Sci. 2015, 26, 281–285. [Google Scholar]
- Saleem, J.; Shahid, U.B.; Hijab, M.; Mackey, H.; McKay, G. Production and applications of activated carbons as adsorbents from olive stones. Biomass- Convers. Biorefinery 2019, 9, 775–802. [Google Scholar]
- Feng, Y.; Dou, J.; Tahmasebi, A.; Xu, J.; Li, X.; Yu, J.; Yin, F. Regeneration of Fe–Zn–Cu Sorbents Supported on Activated Lignite Char for the Desulfurization of Coke Oven Gas. Energy Fuels 2015, 29, 7124–7134. [Google Scholar] [CrossRef]
- Li, X.; Ju, Y.; Hou, Q.; Li, Z.; Fan, J. FTIR and Raman Spectral Research on Metamorphism and Deformation of Coal. J. Geol. Res. 2012, 2012, 590857. [Google Scholar] [CrossRef]
- Cai, R.; Wu, J.G.; Sun, L.; Liu, Y.J.; Fang, T.; Zhu, S.; Li, S.Y.; Wang, Y.; Guo, L.F.; Zhao, C.E.; et al. 3D graphene/ZnO composite with enhanced photocatalytic activity. Mater. Des. 2016, 90, 839–844. [Google Scholar] [CrossRef]
- Muthukumaran, S.; Kumar, M.A. Structural, FTIR and photoluminescence properties of ZnS:Cu thin films by chemical bath deposition method. Mater. Lett. 2013, 93, 223–225. [Google Scholar] [CrossRef]
- Khairudin, N.F.; Mohammadi, M.; Mohamed, A.R. An investigation on the relationship between physicochemical characteristics of alumina-supported cobalt catalyst and its performance in dry reforming of methane. Environ. Sci. Pollut. Res. 2021, 28, 29157–29176. [Google Scholar] [CrossRef] [PubMed]
- Mao, J.; Ma, Y.; Zang, L.; Xiao, C.; Ji, D. Efficient adsorption of hydrogen sulfide at room temperature using fumed silica-supported deep eutectic solvents. Aerosol. Air Qual. Res. 2020, 20, 203–215. [Google Scholar] [CrossRef]
- Jaiboon, V.; Yoosuk, B.; Prasassarakich, P. Amine modified silica xerogel for H2S removal at low temperature. Fuel Process. Technol. 2014, 128, 276–282. [Google Scholar] [CrossRef]
- Zhang, J.J.; Wang, W.Y.; Shen, L.P.; Wang, G.J.; Song, H. Synthesis and characterization of MnxOy–ZnxOy/AC adsorbents for adsorptive removal of H2S from natural gas. Adsorpt. Sci. Technol. 2016, 34, 331–341. [Google Scholar] [CrossRef]
- Ozekmekci, M.; Salkic, G.; Fellah, M.F. Use of zeolites for the removal of H2S: A mini-review. Fuel Processing Technol. 2015, 139, 49–60. [Google Scholar] [CrossRef]
- Sidek, M.Z.; Masdar, M.S.; Nik Dir, N.M.H.; Amran, N.F.A.; Ajit Sing, S.K.D.; Wong, W.L. Integrasi Sistem Penulenan Biohidrogen dan Aplikasi Sel Fuel. J. Kejuruter. 2018, 1, 41–48. [Google Scholar]









| Impregnation Step | pH at 35 °C | pH at 65 °C | pH at 95 °C |
|---|---|---|---|
| Distilled water | 7.00 | 7.00 | 7.00 |
| ZnAc2 solution | 5.60 | 4.92 | 4.23 |
| ZnAc2 + ZnO solution | 5.57 | 4.79 | 4.19 |
| ZnAc2 + ZnO + raw CAC solution | 5.74 | 5.04 | 4.82 |
| Solution after 49 min | 4.67 | 4.96 | 4.59 |
| Impregnation Step | pH at 35 °C | pH at 65 °C | pH at 95 °C |
|---|---|---|---|
| Distilled water | 7.00 | 7.00 | 7.00 |
| KOH solution | 12.37 | 12.03 | 11.71 |
| KOH + core (CAC) solution | 12.89 | 12.63 | 12.35 |
| Solution after 49 min | 8.21 | 8.03 | 7.79 |
| TiO2 solution | 7.39 | 6.52 | 6.11 |
| TiO2 + core (CAC) solution | 7.61 | 7.06 | 6.74 |
| Solution after 49 min | 7.43 | 6.82 | 6.48 |
| TEOS solution | 6.39 | 6.58 | 5.73 |
| TEOS + NH3 solution | 9.13 | 8.81 | 8.70 |
| TEOS + NH3+ core (CAC) solution | 9.23 | 8.90 | 8.74 |
| Solution after 49 min | 7.69 | 7.34 | 7.29 |
| Adsorbent Samples | C | Ca | O | Zn | S |
|---|---|---|---|---|---|
| ZnAc2/ZnO/CAC_DCM (F) | 38.07 | 0.17 | 26.75 | 35.01 | 0.00 |
| ZnAc2/ZnO/CAC_DCM (T1) | 30.93 | 1.22 | 19.11 | 28.43 | 20.31 |
| ZnAc2/ZnO/CAC_DCM (D1) | 39.34 | 0.79 | 25.77 | 33.27 | 0.83 |
| ZnAc2/ZnO/CAC_DCM (T2) | 29.67 | 1.73 | 20.14 | 27.19 | 21.27 |
| ZnAc2/ZnO/CAC_DCM (D2) | 40.11 | 0.80 | 25.21 | 32.67 | 1.21 |
| ZnAc2/ZnO/CAC_DCM (T3) | 28.42 | 1.90 | 18.75 | 28.54 | 22.39 |
| ZnAc2/ZnO/CAC_DCM (D3) | 49.61 | 0.88 | 19.56 | 25.91 | 4.04 |
| Adsorbent | C | Ca | O | Zn | K | Ti | Si | S |
|---|---|---|---|---|---|---|---|---|
| ZnAc2/ZnO/CAC_OS (F) | 27.46 | 0.67 | 37.27 | 23.73 | 1.88 | 1.59 | 7.40 | 0.00 |
| ZnAc2/ZnO/CAC_OS (T1) | 19.63 | 2.53 | 27.22 | 17.58 | 1.39 | 0.77 | 0.57 | 20.31 |
| ZnAc2/ZnO/CAC_OS (D1) | 36.87 | 0.81 | 33.02 | 21.67 | 1.80 | 1.47 | 3.57 | 0.79 |
| ZnAc2/ZnO/CAC_OS (T2) | 17.80 | 2.33 | 28.38 | 17.28 | 0.78 | 0.43 | 1.73 | 21.27 |
| ZnAc2/ZnO/CAC_OS (D2) | 38.41 | 0.94 | 32.19 | 21.35 | 1.60 | 1.36 | 3.28 | 0.87 |
| ZnAc2/ZnO/CAC_OS (T3) | 19.39 | 2.68 | 26.22 | 17.19 | 0.86 | 0.45 | 1.82 | 21.39 |
| ZnAc2/ZnO/CAC_OS (D3) | 40.03 | 0.91 | 31.84 | 20.29 | 1.58 | 0.93 | 3.04 | 1.38 |
| Adsorbent Samples | SBET (m2/g) | Average Pore Volume (cm3/g) | Micropore Area (m2/g) | Pore Size (Å) |
|---|---|---|---|---|
| ZnAc2/ZnO/CAC_DCM (F) | 847.10 | 0.41 | 688.14 | 19.21 |
| ZnAc2/ZnO/CAC_DCM (T1) | 921.01 | 0.42 | 725.79 | 18.42 |
| ZnAc2/ZnO/CAC_DCM (D1) | 688.43 | 0.33 | 509.23 | 19.28 |
| ZnAc2/ZnO/CAC_DCM (T2) | 957.17 | 0.45 | 747.33 | 18.98 |
| ZnAc2/ZnO/CAC_DCM (D2) | 875.90 | 0.42 | 680.15 | 19.00 |
| ZnAc2/ZnO/CAC_DCM (T3) | 900.48 | 0.43 | 668.24 | 18.89 |
| ZnAc2/ZnO/CAC_DCM (D3) | 812.73 | 0.38 | 667.12 | 18.93 |
| Adsorbent Samples | SBET (m2/g) | Average Pore Volume (cm3/g) | Micropore Area (m2/g) | Pore Size (Å) |
|---|---|---|---|---|
| ZnAc2/ZnO/CAC_OS (F) | 940.41 | 0.45 | 756.53 | 19.17 |
| ZnAc2/ZnO/CAC_OS (T1) | 1062.23 | 0.51 | 805.52 | 19.11 |
| ZnAc2/ZnO/CAC_OS (D1) | 859.41 | 0.41 | 709.16 | 19.13 |
| ZnAc2/ZnO/CAC_OS (T2) | 1011.29 | 0.48 | 816.15 | 19.10 |
| ZnAc2/ZnO/CAC_OS (D2) | 877.91 | 0.42 | 717.59 | 19.25 |
| ZnAc2/ZnO/CAC_OS (T3) | 962.15 | 0.46 | 760.78 | 19.08 |
| ZnAc2/ZnO/CAC_OS (D3) | 872.16 | 0.42 | 713.69 | 19.10 |
Disclaimer/Publisher’s Note: The statements, opinions and data contained in all publications are solely those of the individual author(s) and contributor(s) and not of MDPI and/or the editor(s). MDPI and/or the editor(s) disclaim responsibility for any injury to people or property resulting from any ideas, methods, instructions or products referred to in the content. |
© 2023 by the authors. Licensee MDPI, Basel, Switzerland. This article is an open access article distributed under the terms and conditions of the Creative Commons Attribution (CC BY) license (https://creativecommons.org/licenses/by/4.0/).
Share and Cite
Zulkefli, N.N.; Noor Azam, A.M.I.; Masdar, M.S.; Isahak, W.N.R.W. Adsorption–Desorption Behavior of Hydrogen Sulfide Capture on a Modified Activated Carbon Surface. Materials 2023, 16, 462. https://doi.org/10.3390/ma16010462
Zulkefli NN, Noor Azam AMI, Masdar MS, Isahak WNRW. Adsorption–Desorption Behavior of Hydrogen Sulfide Capture on a Modified Activated Carbon Surface. Materials. 2023; 16(1):462. https://doi.org/10.3390/ma16010462
Chicago/Turabian StyleZulkefli, Nurul Noramelya, Adam Mohd Izhan Noor Azam, Mohd Shahbudin Masdar, and Wan Nor Roslam Wan Isahak. 2023. "Adsorption–Desorption Behavior of Hydrogen Sulfide Capture on a Modified Activated Carbon Surface" Materials 16, no. 1: 462. https://doi.org/10.3390/ma16010462
APA StyleZulkefli, N. N., Noor Azam, A. M. I., Masdar, M. S., & Isahak, W. N. R. W. (2023). Adsorption–Desorption Behavior of Hydrogen Sulfide Capture on a Modified Activated Carbon Surface. Materials, 16(1), 462. https://doi.org/10.3390/ma16010462

