The Characteristics of Moisture and Shrinkage of Eucalyptus urophylla × E. Grandis Wood during Conventional Drying
Abstract
1. Introduction
2. Materials and Methods
2.1. Materials
2.2. Equipment and Devices
2.3. Wood Drying
2.4. Moisture Content Determination
2.5. Drying Rate
2.6. Moisture Contetnt Distribution
2.7. Shrinkage
3. Results and Discussion
3.1. Moisture Curves and Drying Rate
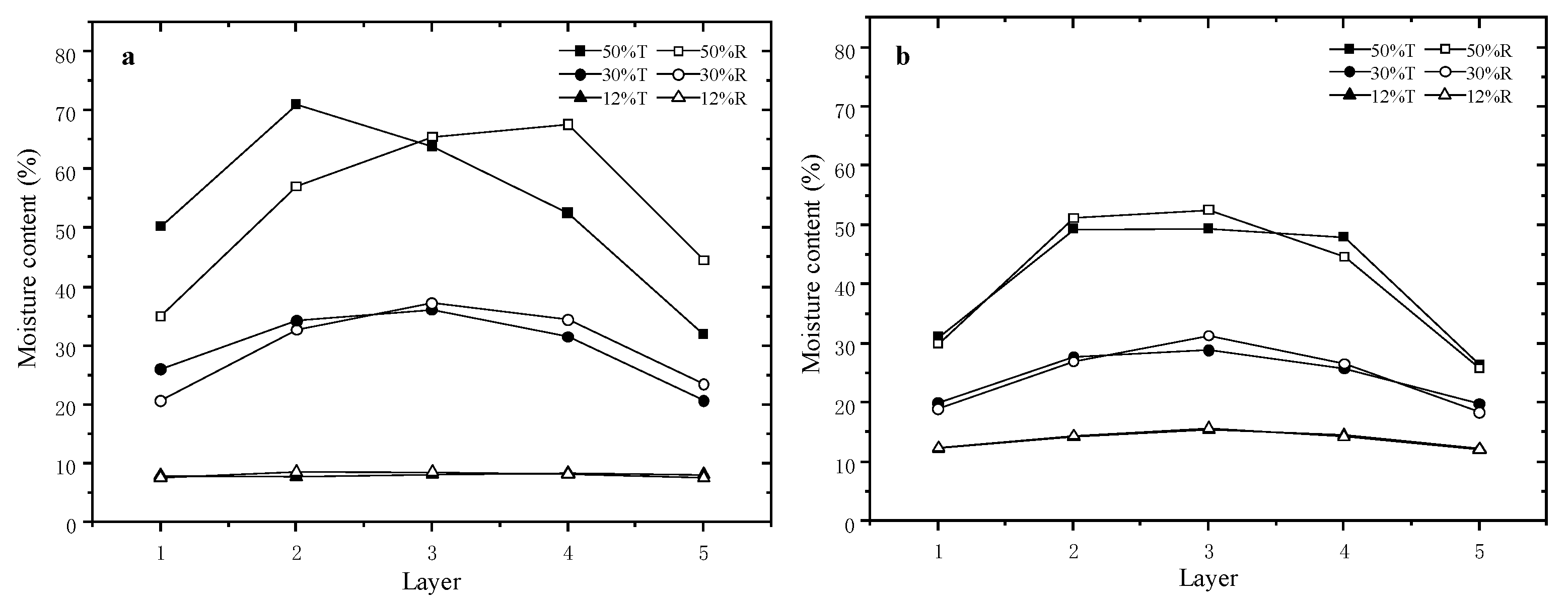
3.2. Moisture Content Gradients
3.2.1. Moisture Content Gradient along Tangential and Radial Direction
3.2.2. Moisture Content Gradient in the Cross Section of Wood
3.3. Moisture Distribution in the Cross Sections of Wood
3.4. Moisture Flow
3.5. Shrinkage
4. Conclusions
Author Contributions
Funding
Institutional Review Board Statement
Informed Consent Statement
Data Availability Statement
Conflicts of Interest
References
- Morales, P.; Gentina, J.C.; Aroca, G.; Mussatto, S.I. Development of an acetic acid tolerant Spathaspora passalidarum strain through evolutionary engineering with resistance to inhibitors compounds of autohydrolysate of Eucalyptus globulus. Ind. Crops Prod. 2017, 106, 5–11. [Google Scholar] [CrossRef]
- Carignato, A.; Moraes, C.B.d.; Zimback, L.; Mori, E.S. Genetic Resistance to Rust of Eucalyptus urophylla Progenies. Floresta E Ambiente 2018, 25, e00094014. [Google Scholar] [CrossRef]
- Wessels, C.B.; Nocetti, M.; Brunetti, M.; Crafford, P.L.; Proller, M.; Dugmore, M.K.; Pagel, C.; Lenner, R.; Naghizadeh, Z. Green-glued engineered products from fast growing Eucalyptus trees: A review. Eur. J. Wood Wood Prod. 2020, 78, 933–940. [Google Scholar] [CrossRef]
- Williams, R.A. Mitigating biodiversity concerns in Eucalyptus plantations located in South China. J. Biosci. Med. 2015, 3, 1–8. [Google Scholar] [CrossRef]
- Tan, X.; Yu, X.W.; Zhang, X.; Li, F.; Liu, Y.; Ouyang, X.; Wen, Y.Z. Propagation characteristics of LoRa signal at 433 MHz channel in eucalyptus plantation environment. J. For. Eng. 2020, 5, 137–143. [Google Scholar]
- Monteiro, T.C.; Lima, J.T.; Hein, P.R.G.; da Silva, J.R.M.; Neto, R.d.A.; Rossi, L. Drying kinetics in Eucalyptus urophylla wood: Analysis of anisotropy and region of the stem. Dry. Technol. 2021. [Google Scholar] [CrossRef]
- Yang, J.L.; Waugh, G. Growth stress, its measurement and effects. Aust. For. 2001, 64, 127–135. [Google Scholar] [CrossRef]
- Crafford, P.; Wessels, C. A potential new product for roof truss manufacturing: Young, green finger-jointed Eucalyptus grandis lumber. South J. Sci. 2016, 78, 61–71. [Google Scholar] [CrossRef]
- Ananias, R.A.; Sepulveda-Villarroel, V.; Perez-Pefia, N.; Torres-Mella, J.; Salvo-Sepulveda, L.; Castillo-Ulloa, D.; Salinas-Lira, C. Radio Frequency Vacuum Drying of Eucalyptus nitens Juvenile Wood. Bioresources 2020, 15, 4886–4897. [Google Scholar] [CrossRef]
- Franca, F.J.N.; Maciel, A.P.V.; Franca, T.S.F.A.; Silva, J.G.M.; Batista, D.C. Air-drying of Seven Clones of Eucalyptus grandis × Eucalyptus urophylla Wood. Bioresources 2019, 14, 6591–6607. [Google Scholar]
- Liu, H.; Zhang, Y.; Wu, Z. Effects of Ultrasound Pretreatment on Microstructure and Drying Characteristics of Eucalyptus urophylla x E. grandis. Bioresources 2018, 13, 5953–5964. [Google Scholar]
- Chen, Y.; Zhu, J. Study on bending characteristics of fast growing eucalyptus bookcase shelves by using burgers model. Wood Res. 2019, 64, 137–144. [Google Scholar]
- Zhao, X.Y.; Huang, Y.J.; Fu, H.Y.; Wang, Y.L.; Wang, Z.; Sayed, U. Deflection test and modal analysis of lightweight timber floors. J. Bioresour. Bioprod. 2021, 6, 266–278. [Google Scholar] [CrossRef]
- Zhang, L.; Chen, Z.H.; Dong, H.R.; Fu, S.; Ma, L.; Yang, X.J. Wood Plastic Composites Based Wood Wall’s Structure and Thermal Insulation Performance. J. Bioresour. Bioprod. 2021, 6, 65–74. [Google Scholar] [CrossRef]
- Teixeira, T.d.O.B.; Silva, M.L.d.; Jacovine, L.A.G.; Valverde, S.R.; Silva, J.d.C.; Pires, V.A.V. A percepção sobre o uso da madeira de eucalipto pelos fabricantes do polo moveleiro de Ubá-MG. Rev. Árvore 2009, 33, 969–975. [Google Scholar] [CrossRef][Green Version]
- Ananias, R.A. Drying developments on Drying of Chilean hardwoods. Academy Lecture Prepared for the IAWS Annual Meeting. In Proceedings of the Biosustainable Materials: Key to a Better Future, Guadalajara, Mexico, 15 October 2018. [Google Scholar]
- Zhen, X.; Deng, Y.; Li, Y.Z.; Zhu, X.M. Design and experiment of pruning machine for eucalyptus trees. J. For. Eng. 2021, 6, 148–156. [Google Scholar]
- Kask, R.; Lille, H.; Kiviste, M.; Kruus, S.; Lääne, J.O. Effect of Soaking/Oven- Drying on Mechanical and Physical Properties of Birch (Betula spp.). Plywood. Drv. Ind. 2021, 72, 121–129. [Google Scholar] [CrossRef]
- Herrera-Díaz, R.; Sepúlveda-Villarroel, V.; Pérez-Peña, N.; Salvo-Sepúlveda, L.; Salinas-Lira, C.; Llano-Ponte, R.; Ananías, R.A. Effect of wood drying and heat modification on some physical and mechanical properties of radiata pine. Dry. Technol. 2018, 36, 537–544. [Google Scholar] [CrossRef]
- Shen, Y.; Gao, Z.; Hou, X.; Chen, Z.; Jiang, J.; Sun, J. Spectral and thermal analysis of Eucalyptus wood drying at different temperature and methods. Dry. Technol. 2020, 38, 313–320. [Google Scholar] [CrossRef]
- Klement, I.; Vilkovská, T.; Baranski, J.; Konopka, A. The impact of drying and steaming processes on surface color changes of tension and normal beech wood. Dry. Technol. 2019, 37, 1490–1497. [Google Scholar] [CrossRef]
- Passarini, L.; Hernández, R.E. Effect of the desorption rate on the dimensional changes of Eucalyptus saligna wood. Wood Sci. Technol. 2016, 50, 941–951. [Google Scholar] [CrossRef]
- Liu, H.; Zhang, J.; Jiang, W.; Cai, Y. Characteristics of Commercial-scale Radio-frequency/Vacuum (RF/V) Drying for Hardwood Lumber. Bioresources 2019, 14, 6923–6935. [Google Scholar] [CrossRef]
- Yin, Q.; Liu, H.-H. Drying stress and strain of wood: A Review. Appl. Sci. 2021, 11, 5023. [Google Scholar] [CrossRef]
- Zhou, T.; Liu, H. Research Progress of Wood Cell Wall Modification and Functional Improvement: A Review. Materials 2022, 15, 1598. [Google Scholar] [CrossRef]
- Feng, X.H.; Chen, J.Y.; Yu, S.X.; Wu, Z.H.; Huang, Q.T. Mild hydrothermal modification of beech wood (Zelkova schneideriana Hand-Mzt): Its physical, structural, and mechanical properties. Eur. J. Wood Wood Prod. 2022. [Google Scholar] [CrossRef]
- Yang, Y.Q.; Xu, W.; Liu, X.; Wang, X.D. Study on Permeability of Cunninghamia Lanceolata Based on Steam Treatment and Freeze Treatment. Wood Res. 2021, 66, 721–731. [Google Scholar] [CrossRef]
- Fang, L.; Zeng, J.; Zhang, X.; Wang, D. Effect of Veneer Initial Moisture Content on the Performance of Polyethylene Film Reinforced Decorative Veneer. Forests 2021, 12, 102. [Google Scholar] [CrossRef]
- Nishiyama, Y.H. Retrieving Structural Information from Scattering and Attenuation Data of Transparent Wood and (Nano)paper. J. Bioresour. Bioprod. 2021, 6, 187–194. [Google Scholar]
- Zen, L.; Magalhães, T.; Henrique, J.; Klitzke, R. Drying methods to evaluate the quality of Eucalyptus sawn timber. Aust. J. Basic Appl. Sci 2020, 14, 22–30. [Google Scholar]
- Monteiro, T.C.; Lima, J.T.; Silva, J.R.M.d.; Rezende, R.N.; Klitzke, R.J. Water flow in different directions in Corymbia citriodora wood. Maderas. Cienc. Tecnol. 2020, 22, 385–394. [Google Scholar] [CrossRef]
- Siau, J.F. Transport Processes in Wood; Springer: New York, NY, USA, 1984. [Google Scholar]
- Skaar, C. Water in Wood, 4th ed.; Syracuse University Press: Syracuse, NY, USA, 1972. [Google Scholar]
- Cao, M.D.; Zhang, X.X.; Ren, W.T.; Zhu, J.W.; Wang, H.K.; Xu, H.C.; Yu, Y. Effect of drying methods on the cell wall pore structure of Phyllostachys edulis. J. For. Eng. 2021, 6, 58–65. [Google Scholar]
- Monteiro, T.C.; Lima, J.T.; Abreu Neto, R.; Ferreira, C.A. Importance of Pits in Corymbia Citriodora (Hook.) K.D. Hill & L.A.S. Johnson (Myrtaceae) Wood Permeability. Floresta E Ambiente 2021, 28, e20200012. [Google Scholar]
- Liu, J.Y.; Simpson, W.T. Two-stage moisture diffusion in wood with constant transport coefficients. Dry. Technol. 1999, 17, 258–267. [Google Scholar] [CrossRef]
- Engelund, E.T.; Thygesen, L.G.; Svensson, S.; Hill, C.A. A critical discussion of the physics of wood–water interactions. Wood Sci. Technol. 2013, 47, 141–161. [Google Scholar] [CrossRef]
- Monteiro, T.C.; Lima, J.T. Water Flow Through the Pits in Eucalyptus urophylla Wood. Floresta E Ambiente 2020, 27, e20190092. [Google Scholar] [CrossRef]
- Barauna, E.E.P.; Lima, J.T.; Vieira, R.d.S.; da Silva, J.R.M.; Monteiro, T.C. Effect of Anatomical and Chemical Structure in the Permeability of “AMAPA” wood. Cerne 2014, 20, 529–534. [Google Scholar] [CrossRef]
- Monteiro, T.C.; Lima, J.T.; Hein, P.R.G.; da Silva, J.R.M.; Trugilho, P.F.; Andrade, H.B. Efeito DosElementos Anat^omicos Da Madeira Na Secagem DasToras de Eucalyptus e Corymbia. Sci. For. 2017, 45, 493–505. [Google Scholar] [CrossRef]
- Taghiyari, H.R.; Habibzade, S.; Tari, S.M.M. Effects of Wood Drying Schedules on Fluid Flow in Paulownia Wood. Dry. Technol. 2014, 32, 89–95. [Google Scholar] [CrossRef]
- Sik, H.S.; Choo, K.T.; Zakaria, S.; Ahmad, S.; How, S.S.; Chia, C.H.; Yusoff, M. Dimensional Stability of High Temperature-Dried Rubberwood Solid Lumber at Two Equilibrium Moisture Content Conditions. Dry. Technol. 2010, 28, 1083–1090. [Google Scholar] [CrossRef]
- Gao, Y.Q.; Li, Y.Y.; Ren, R.Q.; Chen, Y.; Gao, J.M. Effect of weak acid modification on the structure and properties of heat-treated Chinese fir. J. For. Eng. 2021, 6, 49–55. [Google Scholar]
- Pelit, H.; Emiroglu, F. Effect of Water Repellents on Hygroscopicity and Dimensional Stability of Densified Fir and Aspen Woods. Drv. Ind. 2020, 71, 29–40. [Google Scholar] [CrossRef]
- Sedlar, T.; Šefc, B.; Drvodelić, D.; Jambreković, B.; Kučinić, M.; Ištok, I. Physical Properties of Juvenile Wood of Two Paulownia Hybrids. Drv. Ind. 2020, 71, 179–184. [Google Scholar] [CrossRef]
- Tu, D.Y.; Chen, C.F.; Zhou, Q.F.; Ou, R.X.; Wang, X.J. Research progress of thermo-mechanical compression techniques for wood products. J. For. Eng. 2021, 6, 13–20. [Google Scholar]
- GB/T 1931(2009); Method for Determination fo the Moisture Content of Wood. Standardization Administration of China: Beijing, China, 2009.
- Hernández, R.E.; Pontin, M. Shrinkage of Three Tropical Hardwoods Below and Above the Fiber Saturation Point. Wood Fiber Sci. 2007, 38, 474–483. [Google Scholar]
- Li, Z.; Jiang, J.L.; Lyu, J.X.; Cao, J.Z. Orthotropic Viscoelastic Properties of Chinese Fir Wood Saturated with Water in Frozen and Non-frozen States. For. Prod. J. 2021, 71, 77–83. [Google Scholar] [CrossRef]
- Yang, L.; Liu, H.H. Study of the collapse and recovery of Eucalyptus urophydis during conventional kiln drying. Eur. J. Wood Wood Prod. 2021, 79, 129–137. [Google Scholar] [CrossRef]
- Gonya, N.A.S.; Naghizadeh, Z.; Wessels, C.B. An investigation into collapse and shrinkage behaviour of Eucalyptus grandis and Eucalyptus grandis-urophylla wood. Eur. J. Wood Wood Prod. 2022, 80, 139–157. [Google Scholar] [CrossRef]
- Liu, H.; Gao, J.; Chen, Y. Effects of Pre-Freezing Prior to Drying upon Some Physical and Mechanical Properties of Eucalyptus urophylla × Eucalyptus grandis Wood. Bioresources 2015, 10, 6417–6427. [Google Scholar] [CrossRef]






| Time (h) | 0 | 0.3 | 25 | 35 | 48 | 60 | 72 | >72 |
|---|---|---|---|---|---|---|---|---|
| Temperature (°C) | 22 | 45 | 50 | 55 | 60 | 65 | 70 | 70 |
| Relative humidity (%) | 40 | 65 | 65 | 65 | 65 | 65 | 65 | 65 |
| Samples Type | Initial MC | Final MC | Drying Time (h) | Drying Rate (% h−1) | ||||
|---|---|---|---|---|---|---|---|---|
| >FSP | <FSP | Total | >FSP | <FSP | Total | |||
| 50 mm | 89.3 | 11.5 | 29.5 | 32.2 | 61.7 | −2.01 | −0.57 | −1.26 |
| 100 mm | 98.7 | 15.5 | 47.5 | 34.0 | 81.5 | −1.44 | −0.43 | −1.02 |
| Sample Type | Surface Area (cm2) | Ratio of Surface Area | Ratio of Drying Rate | ||||
|---|---|---|---|---|---|---|---|
| End | Side | Total | Total | >FSP | <FSP | Total | |
| 50 mm | 1800 | 6000 | 7800 | 0.57 | 1.40 | 1.32 | 1.24 |
| 100 mm | 1800 | 12,000 | 13,800 | ||||
Publisher’s Note: MDPI stays neutral with regard to jurisdictional claims in published maps and institutional affiliations. |
© 2022 by the authors. Licensee MDPI, Basel, Switzerland. This article is an open access article distributed under the terms and conditions of the Creative Commons Attribution (CC BY) license (https://creativecommons.org/licenses/by/4.0/).
Share and Cite
Yang, L.; Zheng, J.; Huang, N. The Characteristics of Moisture and Shrinkage of Eucalyptus urophylla × E. Grandis Wood during Conventional Drying. Materials 2022, 15, 3386. https://doi.org/10.3390/ma15093386
Yang L, Zheng J, Huang N. The Characteristics of Moisture and Shrinkage of Eucalyptus urophylla × E. Grandis Wood during Conventional Drying. Materials. 2022; 15(9):3386. https://doi.org/10.3390/ma15093386
Chicago/Turabian StyleYang, Lin, Jingting Zheng, and Na Huang. 2022. "The Characteristics of Moisture and Shrinkage of Eucalyptus urophylla × E. Grandis Wood during Conventional Drying" Materials 15, no. 9: 3386. https://doi.org/10.3390/ma15093386
APA StyleYang, L., Zheng, J., & Huang, N. (2022). The Characteristics of Moisture and Shrinkage of Eucalyptus urophylla × E. Grandis Wood during Conventional Drying. Materials, 15(9), 3386. https://doi.org/10.3390/ma15093386
