The Influence of UV Radiation Aging on Degradation of Shear Thickening Fluids
Abstract
:1. Introduction
2. Materials and Methods
2.1. Materials
2.2. STF Preparation
2.3. Rheology Measurements
2.4. Artificial Aging
2.5. Product Analyses
3. Results and Discussion
3.1. Flow Fluid Properties
3.2. Influence of Artificial Aging
4. Conclusions
- We have obtained STFs with a very high dilatant effect (the shear thickening effect of up to a maximum of 3313 Pa·s) not previously reported in the literature.
- The UV radiation causes the damage of the STFs and the change of the STFs from the liquid to solid.
- The results indicate the need for appropriate storage of STFs in the UV-free environment prior to and during usage.
Author Contributions
Funding
Institutional Review Board Statement
Informed Consent Statement
Data Availability Statement
Conflicts of Interest
References
- Yu, K.; Cao, H.; Qian, K.; Sha, X.; Chen, Y. Shear-Thickening Behavior of Modified Silica Nanoparticles in Polyethylene Glycol. J. Nanoparticle Res. 2012, 14, 747. [Google Scholar] [CrossRef]
- Zarei, M.; Aalaie, J. Application of Shear Thickening Fluids in Material Development. J. Mater. Res. Technol. 2020, 9, 10411–10433. [Google Scholar] [CrossRef]
- Czech, K.; Oliwa, R.; Krajewski, D.; Bulanda, K.; Oleksy, M.; Budzik, G.; Mazurkow, A. Hybrid Polymer Composites Used in the Arms Industry: A Review. Materials 2021, 14, 3047. [Google Scholar] [CrossRef]
- Shih, C.-H.; Chang, C.-P.; Liu, Y.-M.; Chen, Y.-L.; Ger, M.-D. Ballistic Performance of Shear Thickening Fluids (STFs) Filled Paper Honeycomb Panel: Effects of Laminating Sequence and Rheological Property of STFs. Appl. Compos. Mater. 2021, 28, 201–218. [Google Scholar] [CrossRef]
- Arora, S.; Majumdar, A.; Butola, B.S. Soft Armour Design by Angular Stacking of Shear Thickening Fluid Impregnated High-Performance Fabrics for Quasi-Isotropic Ballistic Response. Compos. Struct. 2020, 233, 111720. [Google Scholar] [CrossRef]
- Mishra, V.D.; Mishra, A.; Singh, A.; Verma, L.; Rajesh, G. Ballistic Impact Performance of UHMWP Fabric Impregnated with Shear Thickening Fluid Nanocomposite. Compos. Struct. 2022, 281, 114991. [Google Scholar] [CrossRef]
- Cho, H.; Lee, J.; Hong, S.; Kim, S. Bulletproof Performance of Composite Plate Fabricated Using Shear Thickening Fluid and Natural Fiber Paper. Appl. Sci. 2020, 10, 88. [Google Scholar] [CrossRef] [Green Version]
- Zhang, X.; Li, T.T.; Peng, H.K.; Lou, C.W.; Lin, J.H. Enhanced Sandwich Structure Composite with Shear Thickening Fluid and Thermoplastic Polyurethanes for High-Performance Stab Resistance. Compos. Struct. 2022, 280, 114930. [Google Scholar] [CrossRef]
- Chang, C.P.; Shih, C.H.; You, J.L.; Youh, M.J.; Liu, Y.M.; Ger, M. der Preparation and Ballistic Performance of a Multi-Layer Armor System Composed of Kevlar/Polyurea Composites and Shear Thickening Fluid (Stf)-Filled Paper Honeycomb Panels. Polymers 2021, 13, 3080. [Google Scholar] [CrossRef]
- Gürgen, S.; Sofuoğlu, M.A. Integration of Shear Thickening Fluid into Cutting Tools for Improved Turning Operations. J. Manuf. Processes 2020, 56, 1146–1154. [Google Scholar] [CrossRef]
- Liu, B.; Du, C.; Deng, H.; Fan, Z.; Zhang, J.; Zeng, F.; Fu, Y.; Gong, X. Mechanical Properties of Magneto-Sensitive Shear Thickening Fluid Absorber and Application Potential in a Vehicle. Compos. Part A Appl. Sci. Manuf. 2022, 154, 106782. [Google Scholar] [CrossRef]
- Sheikhi, M.R.; Gürgen, S. Anti-Impact Design of Multi-Layer Composites Enhanced by Shear Thickening Fluid. Compos. Struct. 2022, 279, 114797. [Google Scholar] [CrossRef]
- Nakonieczna, P.; Wojnarowicz, J.; Wierzbicki, Ł.; Leonowicz, M. Rheological Properties and Stability of Shear Thickening Fluids Based on Silica and Polypropylene Glycol. Mater. Res. Express 2019, 6, 115702. [Google Scholar] [CrossRef]
- Nakonieczna-Dąbrowska, P.; Wróblewski, R.; Płocińska, M.; Leonowicz, M. Impact of the Carbon Nanofillers Addition on Rheology and Absorption Ability of Composite Shear Thickening Fluids. Materials 2020, 13, 3870. [Google Scholar] [CrossRef] [PubMed]
- Wierzbicki, Ł.; Danelska, A.; Chrońska, K.; Tryznowski, M.; Zielińska, D.; Kucińska, I.; Szafran, M.; Leonowicz, M. Shear thickening fluids based on nanosized silica suspensions for advanced body armour. Compos. Theory Pract. 2013, 13, 241–244. [Google Scholar]
- Qin, J.; Guo, B.; Zhang, L.; Wang, T.; Zhang, G.; Shi, X. Soft Armor Materials Constructed with Kevlar Fabric and a Novel Shear Thickening Fluid. Compos. Part B Eng. 2020, 183, 107686. [Google Scholar] [CrossRef]
- Shende, T.; Niasar, V.J.; Babaei, M. An Empirical Equation for Shear Viscosity of Shear Thickening Fluids. J. Mol. Liq. 2021, 325, 115220. [Google Scholar] [CrossRef]
- Gürgen, S. Numerical Modeling of Fabrics Treated with Multi-Phase Shear Thickening Fluids under High Velocity Impacts. Thin-Walled Struct. 2020, 148, 106573. [Google Scholar] [CrossRef]
- Lam, L.; Chen, W.; Hao, H.; Li, Z.; Ha, N.S.; Pham, T.M. Numerical Study of Bio-Inspired Energy-Absorbing Device Using Shear Thickening Fluid (STF). Int. J. Impact Eng. 2022, 162, 104158. [Google Scholar] [CrossRef]
- Zhang, X.; Yan, R.; Zhang, Q.; Jia, L. The Numerical Simulation of the Mechanical Failure Behavior of Shear Thickening Fluid/Fiber Composites: A Review. Polym. Adv. Technol. 2022, 33, 20–33. [Google Scholar] [CrossRef]
- Salehin, R.; Xu, R.-G.; Papanikolaou, S. Colloidal Shear-Thickening Fluids Using Variable Functional Star-Shaped Particles: A Molecular Dynamics Study. Materials 2021, 14, 6867. [Google Scholar] [CrossRef] [PubMed]
- Singh, M.; Mehta, R.; Verma, S.K.; Biswas, I. Effect of Addition of Different Nano-Clays on the Fumed Silica-Polyethylene Glycol Based Shear-Thickening Fluids. Mater. Res. Express 2018, 5, 014001. [Google Scholar] [CrossRef]
- Heinze, D.A.; Carastan, D.J. The Influence of Fumed Silica Content, Dispersion Energy, and Humidity on the Stability of Shear Thickening Fluids. Rheol. Acta 2020, 59, 455–468. [Google Scholar] [CrossRef]
- Tsinas, Z.; Orski, S.V.; Bentley, V.R.C.; Gonzalez Lopez, L.; Al-Sheikhly, M.; Forster, A.L. Effects of Thermal Aging on Molar Mass of Ultra-High Molar Mass Polyethylene Fibers. Polymers 2022, 14, 1324. [Google Scholar] [CrossRef]
- Żurowski, R.; Antosik, A.; Głuszek, M.; Szafran, M. Shear Thickening Ceramic-Polymer Composite. Compos. Theory Prac. 2015, 15, 255–258. [Google Scholar]
- Głuszek, M.; Kubiś, M.; Żurowski, R.; Wiśniewski, T.; Szafran, M. Enhancement of Thermo-Rheological Properties of Smart Materials Based on SiO2 and PPG Modificated with Expanded Graphite. Int. J. Appl. Ceram. Technol. 2018, 15, 538–545. [Google Scholar] [CrossRef]
- Izdebska-Podsiadły, J.; Żołek-Tryznowska, Z.; Annusik, T.; Tryznowski, M. Improvement of Light Fastness of Water-Based Printing Inks with Addition of Glycerol Derivative Containing Thiol Groups. Coloration Technol. 2018, 134, 100–105. [Google Scholar] [CrossRef]
- Bajya, M.; Majumdar, A.; Butola, B.S.; Verma, S.K.; Bhattacharjee, D. Design Strategy for Optimising Weight and Ballistic Performance of Soft Body Armour Reinforced with Shear Thickening Fluid. Compos. Part B Eng. 2020, 183, 107721. [Google Scholar] [CrossRef]
- Ghosh, A.; Majumdar, A.; Butola, B.S. Rheometry of Novel Shear Thickening Fluid and Its Application for Improving the Impact Energy Absorption of P-Aramid Fabric. Thin-Walled Struct. 2020, 155, 106954. [Google Scholar] [CrossRef]
- Aydemir, C.; Yenidoğan, S. Light Fastness of Printing Inks: A Review. J. Graph. Eng. Des. 2018, 9, 37–43. [Google Scholar] [CrossRef]
- Choe, S.; Kim, M.J.; Kim, H.C.; Lim, T.; Park, K.J.; Kim, K.H.; Ahn, S.H.; Lee, A.; Kim, S.K.; Kim, J.J. Degradation of Poly(Ethylene Glycol–Propylene Glycol) Copolymer and Its Influences on Copper Electrodeposition. J. Electroanal. Chem. 2014, 714–715, 85–91. [Google Scholar] [CrossRef]
- Han, S.; Kim, C.; Kwon, D. Thermal/Oxidative Degradation and Stabilization of Polyethylene Glycol. Polymer 1997, 38, 317–323. [Google Scholar] [CrossRef]
- Morlat, S.; Gardette, J.L. Phototransformation of Water-Soluble Polymers. I: Photo- and Thermooxidation of Poly(Ethylene Oxide) in Solid State. Polymer 2001, 42, 6071–6079. [Google Scholar] [CrossRef]
- Guo, X.; Minakata, D.; Crittenden, J. Computer-Based First-Principles Kinetic Monte Carlo Simulation of Polyethylene Glycol Degradation in Aqueous Phase UV/H2O2 Advanced Oxidation Process. Environ. Sci. Technol. 2014, 48, 10813–10820. [Google Scholar] [CrossRef] [PubMed]
- Camós Noguer, A.; Olsen, S.M.; Hvilsted, S.; Kiil, S. Long-Term Stability of PEG-Based Antifouling Surfaces in Seawater. J. Coat. Technol. Res. 2016, 13, 567–575. [Google Scholar] [CrossRef] [Green Version]







| Abbreviation | Mn (g mol−1) | Density (g cm−3) |
|---|---|---|
| PPG425 | ~425 | 1.01 |
| PPG2700 | ~2700 | 1.01 |
| Abbreviation | Ceramic Powder | Carrier Fluid |
|---|---|---|
| STF425 | KE-P10 | PPG425 |
| STF2700 | PPG2700 |
| Chemical Structure | Chemical Shift (1H NMR) | Chemical Shift (13C NMR) |
|---|---|---|
![]() | P, R: 3–4 ppm S: 1.1 ppm | P, R: 71–77 ppm S: 17–18 ppm |
![]() | I: 9.6 ppm | B: 200.0 ppm |
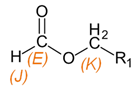
![]() | J: 7.9 ppm K: 5.0 ppm | E: 160–162 ppm |
![]() | H: 1.8–2.2 ppm | A: 207.4 ppm H: 25.8 ppm |
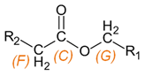
![]() | G: 3.7–4.3 ppm F: 1.8–2.2 ppm | C: 170–173 ppm G: 63.5–68.0 ppm F: 18–20 ppm |
Publisher’s Note: MDPI stays neutral with regard to jurisdictional claims in published maps and institutional affiliations. |
© 2022 by the authors. Licensee MDPI, Basel, Switzerland. This article is an open access article distributed under the terms and conditions of the Creative Commons Attribution (CC BY) license (https://creativecommons.org/licenses/by/4.0/).
Share and Cite
Żurowski, R.; Tryznowski, M.; Gürgen, S.; Szafran, M.; Świderska, A. The Influence of UV Radiation Aging on Degradation of Shear Thickening Fluids. Materials 2022, 15, 3269. https://doi.org/10.3390/ma15093269
Żurowski R, Tryznowski M, Gürgen S, Szafran M, Świderska A. The Influence of UV Radiation Aging on Degradation of Shear Thickening Fluids. Materials. 2022; 15(9):3269. https://doi.org/10.3390/ma15093269
Chicago/Turabian StyleŻurowski, Radosław, Mariusz Tryznowski, Selim Gürgen, Mikołaj Szafran, and Aleksandra Świderska. 2022. "The Influence of UV Radiation Aging on Degradation of Shear Thickening Fluids" Materials 15, no. 9: 3269. https://doi.org/10.3390/ma15093269
APA StyleŻurowski, R., Tryznowski, M., Gürgen, S., Szafran, M., & Świderska, A. (2022). The Influence of UV Radiation Aging on Degradation of Shear Thickening Fluids. Materials, 15(9), 3269. https://doi.org/10.3390/ma15093269






